scipy.signal.cspline1d¶
-
scipy.signal.cspline1d(signal, lamb=0.0)[source]¶ Compute cubic spline coefficients for rank-1 array.
Find the cubic spline coefficients for a 1-D signal assuming mirror-symmetric boundary conditions. To obtain the signal back from the spline representation mirror-symmetric-convolve these coefficients with a length 3 FIR window [1.0, 4.0, 1.0]/ 6.0 .
- Parameters
- signalndarray
A rank-1 array representing samples of a signal.
- lambfloat, optional
Smoothing coefficient, default is 0.0.
- Returns
- cndarray
Cubic spline coefficients.
See also
cspline1d_evalEvaluate a cubic spline at the new set of points.
Examples
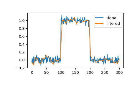
We can filter a signal to reduce and smooth out high-frequency noise with a cubic spline:
>>> import matplotlib.pyplot as plt >>> from scipy.signal import cspline1d, cspline1d_eval >>> sig = np.repeat([0., 1., 0.], 100) >>> sig += np.random.randn(len(sig))*0.05 # add noise >>> time = np.linspace(0, len(sig)) >>> filtered = cspline1d_eval(cspline1d(sig), time) >>> plt.plot(sig, label="signal") >>> plt.plot(time, filtered, label="filtered") >>> plt.legend() >>> plt.show()
