scipy.signal.qspline1d¶
-
scipy.signal.qspline1d(signal, lamb=0.0)[source]¶ Compute quadratic spline coefficients for rank-1 array.
- Parameters
- signalndarray
A rank-1 array representing samples of a signal.
- lambfloat, optional
Smoothing coefficient (must be zero for now).
- Returns
- cndarray
Quadratic spline coefficients.
See also
qspline1d_evalEvaluate a quadratic spline at the new set of points.
Notes
Find the quadratic spline coefficients for a 1-D signal assuming mirror-symmetric boundary conditions. To obtain the signal back from the spline representation mirror-symmetric-convolve these coefficients with a length 3 FIR window [1.0, 6.0, 1.0]/ 8.0 .
Examples
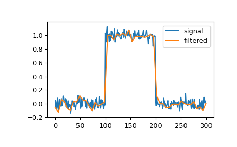
We can filter a signal to reduce and smooth out high-frequency noise with a quadratic spline:
>>> import matplotlib.pyplot as plt >>> from scipy.signal import qspline1d, qspline1d_eval >>> sig = np.repeat([0., 1., 0.], 100) >>> sig += np.random.randn(len(sig))*0.05 # add noise >>> time = np.linspace(0, len(sig)) >>> filtered = qspline1d_eval(qspline1d(sig), time) >>> plt.plot(sig, label="signal") >>> plt.plot(time, filtered, label="filtered") >>> plt.legend() >>> plt.show()
