scipy.stats.ppcc_max#
- scipy.stats.ppcc_max(x, brack=(0.0, 1.0), dist='tukeylambda')[source]#
Calculate the shape parameter that maximizes the PPCC.
The probability plot correlation coefficient (PPCC) plot can be used to determine the optimal shape parameter for a one-parameter family of distributions.
ppcc_maxreturns the shape parameter that would maximize the probability plot correlation coefficient for the given data to a one-parameter family of distributions.- Parameters:
- xarray_like
Input array.
- bracktuple, optional
Triple (a,b,c) where (a<b<c). If bracket consists of two numbers (a, c) then they are assumed to be a starting interval for a downhill bracket search (see
scipy.optimize.brent).- diststr or stats.distributions instance, optional
Distribution or distribution function name. Objects that look enough like a stats.distributions instance (i.e. they have a
ppfmethod) are also accepted. The default is'tukeylambda'.
- Returns:
- shape_valuefloat
The shape parameter at which the probability plot correlation coefficient reaches its max value.
Notes
The brack keyword serves as a starting point which is useful in corner cases. One can use a plot to obtain a rough visual estimate of the location for the maximum to start the search near it.
References
[1]J.J. Filliben, “The Probability Plot Correlation Coefficient Test for Normality”, Technometrics, Vol. 17, pp. 111-117, 1975.
[2]Engineering Statistics Handbook, NIST/SEMATEC, https://www.itl.nist.gov/div898/handbook/eda/section3/ppccplot.htm
Examples
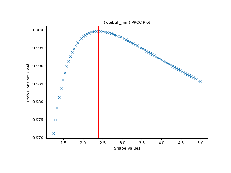
First we generate some random data from a Weibull distribution with shape parameter 2.5:
>>> import numpy as np >>> from scipy import stats >>> import matplotlib.pyplot as plt >>> rng = np.random.default_rng() >>> c = 2.5 >>> x = stats.weibull_min.rvs(c, scale=4, size=2000, random_state=rng)
Generate the PPCC plot for this data with the Weibull distribution.
>>> fig, ax = plt.subplots(figsize=(8, 6)) >>> res = stats.ppcc_plot(x, c/2, 2*c, dist='weibull_min', plot=ax)
We calculate the value where the shape should reach its maximum and a red line is drawn there. The line should coincide with the highest point in the PPCC graph.
>>> cmax = stats.ppcc_max(x, brack=(c/2, 2*c), dist='weibull_min') >>> ax.axvline(cmax, color='r') >>> plt.show()