scipy.special.nbdtrik#
- scipy.special.nbdtrik(y, n, p, out=None) = <ufunc 'nbdtrik'>#
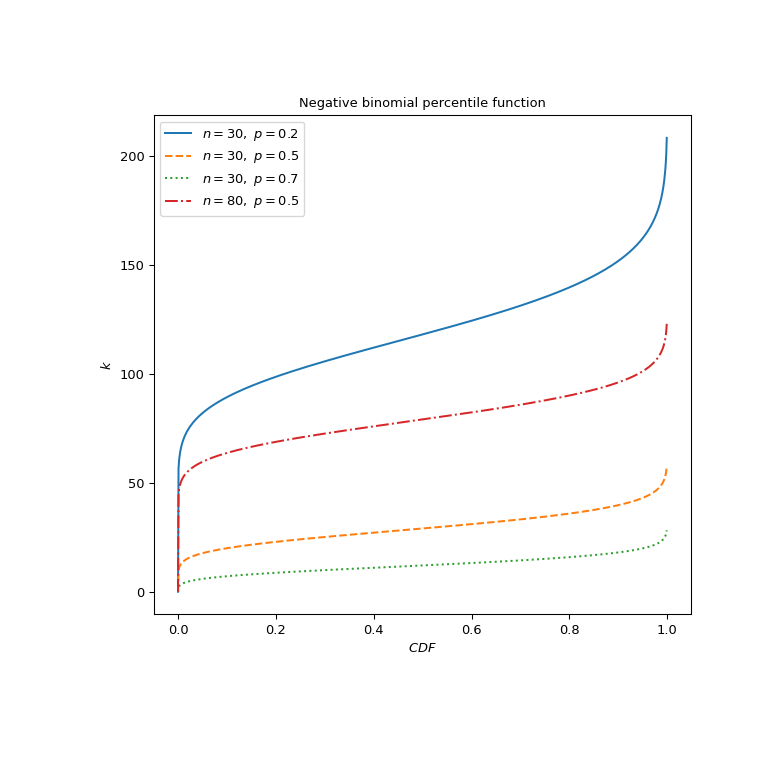
Negative binomial percentile function.
Returns the inverse with respect to the parameter k of y = nbdtr(k, n, p), the negative binomial cumulative distribution function.
- Parameters:
- yarray_like
The probability of k or fewer failures before n successes (float).
- narray_like
The target number of successes (positive int).
- parray_like
Probability of success in a single event (float).
- outndarray, optional
Optional output array for the function results
- Returns:
- kscalar or ndarray
The maximum number of allowed failures such that nbdtr(k, n, p) = y.
See also
nbdtrCumulative distribution function of the negative binomial.
nbdtrcSurvival function of the negative binomial.
nbdtriInverse with respect to p of nbdtr(k, n, p).
nbdtrinInverse with respect to n of nbdtr(k, n, p).
scipy.stats.nbinomNegative binomial distribution
Notes
Wrapper for the CDFLIB [1] Fortran routine cdfnbn.
Formula 26.5.26 of [2],
\[\sum_{j=k + 1}^\infty {{n + j - 1}\choose{j}} p^n (1 - p)^j = I_{1 - p}(k + 1, n),\]is used to reduce calculation of the cumulative distribution function to that of a regularized incomplete beta \(I\).
Computation of k involves a search for a value that produces the desired value of y. The search relies on the monotonicity of y with k.
References
[1]Barry Brown, James Lovato, and Kathy Russell, CDFLIB: Library of Fortran Routines for Cumulative Distribution Functions, Inverses, and Other Parameters.
[2]Milton Abramowitz and Irene A. Stegun, eds. Handbook of Mathematical Functions with Formulas, Graphs, and Mathematical Tables. New York: Dover, 1972.
Examples
Compute the negative binomial cumulative distribution function for an exemplary parameter set.
>>> import numpy as np >>> from scipy.special import nbdtr, nbdtrik >>> k, n, p = 5, 2, 0.5 >>> cdf_value = nbdtr(k, n, p) >>> cdf_value 0.9375
Verify that
nbdtrikrecovers the original value for k.>>> nbdtrik(cdf_value, n, p) 5.0
Plot the function for different parameter sets.
>>> import matplotlib.pyplot as plt >>> p_parameters = [0.2, 0.5, 0.7, 0.5] >>> n_parameters = [30, 30, 30, 80] >>> linestyles = ['solid', 'dashed', 'dotted', 'dashdot'] >>> parameters_list = list(zip(p_parameters, n_parameters, linestyles)) >>> cdf_vals = np.linspace(0, 1, 1000) >>> fig, ax = plt.subplots(figsize=(8, 8)) >>> for parameter_set in parameters_list: ... p, n, style = parameter_set ... nbdtrik_vals = nbdtrik(cdf_vals, n, p) ... ax.plot(cdf_vals, nbdtrik_vals, label=rf"$n={n},\ p={p}$", ... ls=style) >>> ax.legend() >>> ax.set_ylabel("$k$") >>> ax.set_xlabel("$CDF$") >>> ax.set_title("Negative binomial percentile function") >>> plt.show()
The negative binomial distribution is also available as
scipy.stats.nbinom. The percentile function methodppfreturns the result ofnbdtrikrounded up to integers:>>> from scipy.stats import nbinom >>> q, n, p = 0.6, 5, 0.5 >>> nbinom.ppf(q, n, p), nbdtrik(q, n, p) (5.0, 4.800428460273882)