scipy.spatial.distance.cosine

scipy.spatial.distance.cosine(u, v)

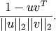
Computes the Cosine distance between two n-vectors u and v, which is defined as

\frac{1-uv^T}
     {||u||_2 ||v||_2}.

Parameters :

u : ndarray

An n-dimensional vector.

v : ndarray

An n-dimensional vector.

Returns :

d : double

The Cosine distance between vectors u and v.

Previous topic

scipy.spatial.distance.correlation

Next topic

scipy.spatial.distance.dice

This Page