Continuous Statistical Distributions

Overview

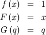
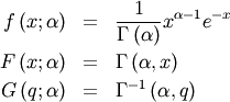
All distributions will have location (L) and Scale (S) parameters along with any shape parameters needed, the names for the shape parameters will vary. Standard form for the distributions will be given where L=0.0 and S=1.0. The nonstandard forms can be obtained for the various functions using (note U is a standard uniform random variate).

Function Name Standard Function Transformation
Cumulative Distribution Function (CDF) F\left(x\right) F\left(x;L,S\right)=F\left(\frac{\left(x-L\right)}{S}\right)
Probability Density Function (PDF) f\left(x\right)=F^{\prime}\left(x\right) f\left(x;L,S\right)=\frac{1}{S}f\left(\frac{\left(x-L\right)}{S}\right)
Percent Point Function (PPF) G\left(q\right)=F^{-1}\left(q\right) G\left(q;L,S\right)=L+SG\left(q\right)
Probability Sparsity Function (PSF) g\left(q\right)=G^{\prime}\left(q\right) g\left(q;L,S\right)=Sg\left(q\right)
Hazard Function (HF) h_{a}\left(x\right)=\frac{f\left(x\right)}{1-F\left(x\right)} h_{a}\left(x;L,S\right)=\frac{1}{S}h_{a}\left(\frac{\left(x-L\right)}{S}\right)
Cumulative Hazard Functon (CHF) H_{a}\left(x\right)= \log\frac{1}{1-F\left(x\right)} H_{a}\left(x;L,S\right)=H_{a}\left(\frac{\left(x-L\right)}{S}\right)
Survival Function (SF) S\left(x\right)=1-F\left(x\right) S\left(x;L,S\right)=S\left(\frac{\left(x-L\right)}{S}\right)
Inverse Survival Function (ISF) Z\left(\alpha\right)=S^{-1}\left(\alpha\right)=G\left(1-\alpha\right) Z\left(\alpha;L,S\right)=L+SZ\left(\alpha\right)
Moment Generating Function (MGF) M_{Y}\left(t\right)=E\left[e^{Yt}\right] M_{X}\left(t\right)=e^{Lt}M_{Y}\left(St\right)
Random Variates Y=G\left(U\right) X=L+SY
(Differential) Entropy h\left[Y\right]=-\int f\left(y\right)\log f\left(y\right)dy h\left[X\right]=h\left[Y\right]+\log S
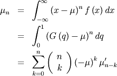
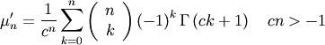
(Non-central) Moments \mu_{n}^{\prime}=E\left[Y^{n}\right] E\left[X^{n}\right]=L^{n}\sum_{k=0}^{N}\left(\begin{array}{c} n\\ k\end{array}\right)\left(\frac{S}{L}\right)^{k}\mu_{k}^{\prime}
Central Moments \mu_{n}=E\left[\left(Y-\mu\right)^{n}\right] E\left[\left(X-\mu_{X}\right)^{n}\right]=S^{n}\mu_{n}
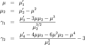
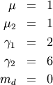
mean (mode, median), var \mu,\,\mu_{2} L+S\mu,\, S^{2}\mu_{2}
skewness, kurtosis \gamma_{1}=\frac{\mu_{3}}{\left(\mu_{2}\right)^{3/2}},\, \gamma_{2}=\frac{\mu_{4}}{\left(\mu_{2}\right)^{2}}-3 \gamma_{1},\,\gamma_{2}

Moments

Non-central moments are defined using the PDF

\[ \mu_{n}^{\prime}=\int_{-\infty}^{\infty}x^{n}f\left(x\right)dx.\]

Note, that these can always be computed using the PPF. Substitute x=G\left(q\right) in the above equation and get

\[ \mu_{n}^{\prime}=\int_{0}^{1}G^{n}\left(q\right)dq\]

which may be easier to compute numerically. Note that q=F\left(x\right) so that dq=f\left(x\right)dx. Central moments are computed similarly \mu=\mu_{1}^{\prime}

\begin{eqnarray*} \mu_{n} & = & \int_{-\infty}^{\infty}\left(x-\mu\right)^{n}f\left(x\right)dx\\  & = & \int_{0}^{1}\left(G\left(q\right)-\mu\right)^{n}dq\\  & = & \sum_{k=0}^{n}\left(\begin{array}{c} n\\ k\end{array}\right)\left(-\mu\right)^{k}\mu_{n-k}^{\prime}\end{eqnarray*}

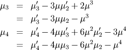
In particular

\begin{eqnarray*} \mu_{3} & = & \mu_{3}^{\prime}-3\mu\mu_{2}^{\prime}+2\mu^{3}\\  & = & \mu_{3}^{\prime}-3\mu\mu_{2}-\mu^{3}\\ \mu_{4} & = & \mu_{4}^{\prime}-4\mu\mu_{3}^{\prime}+6\mu^{2}\mu_{2}^{\prime}-3\mu^{4}\\  & = & \mu_{4}^{\prime}-4\mu\mu_{3}-6\mu^{2}\mu_{2}-\mu^{4}\end{eqnarray*}

Skewness is defined as

\[ \gamma_{1}=\sqrt{\beta_{1}}=\frac{\mu_{3}}{\mu_{2}^{3/2}}\]

while (Fisher) kurtosis is

\[ \gamma_{2}=\frac{\mu_{4}}{\mu_{2}^{2}}-3,\]

so that a normal distribution has a kurtosis of zero.

Median and mode

The median, m_{n} is defined as the point at which half of the density is on one side and half on the other. In other words, F\left(m_{n}\right)=\frac{1}{2} so that

\[ m_{n}=G\left(\frac{1}{2}\right).\]

In addition, the mode, m_{d} , is defined as the value for which the probability density function reaches it’s peak

\[ m_{d}=\arg\max_{x}f\left(x\right).\]

Fitting data

To fit data to a distribution, maximizing the likelihood function is common. Alternatively, some distributions have well-known minimum variance unbiased estimators. These will be chosen by default, but the likelihood function will always be available for minimizing.

If f\left(x;\boldsymbol{\theta}\right) is the PDF of a random-variable where \boldsymbol{\theta} is a vector of parameters ( e.g. L and S ), then for a collection of N independent samples from this distribution, the joint distribution the random vector \mathbf{x} is

\[ f\left(\mathbf{x};\boldsymbol{\theta}\right)=\prod_{i=1}^{N}f\left(x_{i};\boldsymbol{\theta}\right).\]

The maximum likelihood estimate of the parameters \boldsymbol{\theta} are the parameters which maximize this function with \mathbf{x} fixed and given by the data:

\begin{eqnarray*} \boldsymbol{\theta}_{es} & = & \arg\max_{\boldsymbol{\theta}}f\left(\mathbf{x};\boldsymbol{\theta}\right)\\  & = & \arg\min_{\boldsymbol{\theta}}l_{\mathbf{x}}\left(\boldsymbol{\theta}\right).\end{eqnarray*}

Where

\begin{eqnarray*} l_{\mathbf{x}}\left(\boldsymbol{\theta}\right) & = & -\sum_{i=1}^{N}\log f\left(x_{i};\boldsymbol{\theta}\right)\\  & = & -N\overline{\log f\left(x_{i};\boldsymbol{\theta}\right)}\end{eqnarray*}

Note that if \boldsymbol{\theta} includes only shape parameters, the location and scale-parameters can be fit by replacing x_{i} with \left(x_{i}-L\right)/S in the log-likelihood function adding N\log S and minimizing, thus

\begin{eqnarray*} l_{\mathbf{x}}\left(L,S;\boldsymbol{\theta}\right) & = & N\log S-\sum_{i=1}^{N}\log f\left(\frac{x_{i}-L}{S};\boldsymbol{\theta}\right)\\  & = & N\log S+l_{\frac{\mathbf{x}-S}{L}}\left(\boldsymbol{\theta}\right)\end{eqnarray*}

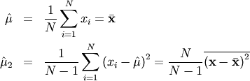
If desired, sample estimates for L and S (not necessarily maximum likelihood estimates) can be obtained from samples estimates of the mean and variance using

\begin{eqnarray*} \hat{S} & = & \sqrt{\frac{\hat{\mu}_{2}}{\mu_{2}}}\\ \hat{L} & = & \hat{\mu}-\hat{S}\mu\end{eqnarray*}

where \mu and \mu_{2} are assumed known as the mean and variance of the untransformed distribution (when L=0 and S=1 ) and

\begin{eqnarray*} \hat{\mu} & = & \frac{1}{N}\sum_{i=1}^{N}x_{i}=\bar{\mathbf{x}}\\ \hat{\mu}_{2} & = & \frac{1}{N-1}\sum_{i=1}^{N}\left(x_{i}-\hat{\mu}\right)^{2}=\frac{N}{N-1}\overline{\left(\mathbf{x}-\bar{\mathbf{x}}\right)^{2}}\end{eqnarray*}

Standard notation for mean

We will use

\[ \overline{y\left(\mathbf{x}\right)}=\frac{1}{N}\sum_{i=1}^{N}y\left(x_{i}\right)\]

where N should be clear from context as the number of samples x_{i}

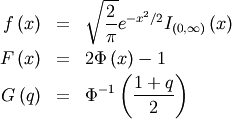
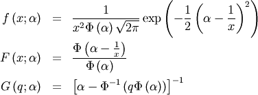
Alpha

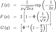
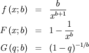
One shape parameters \alpha>0 (paramter \beta in DATAPLOT is a scale-parameter). Standard form is x>0:

\begin{eqnarray*} f\left(x;\alpha\right) & = & \frac{1}{x^{2}\Phi\left(\alpha\right)\sqrt{2\pi}}\exp\left(-\frac{1}{2}\left(\alpha-\frac{1}{x}\right)^{2}\right)\\ F\left(x;\alpha\right) & = & \frac{\Phi\left(\alpha-\frac{1}{x}\right)}{\Phi\left(\alpha\right)}\\ G\left(q;\alpha\right) & = & \left[\alpha-\Phi^{-1}\left(q\Phi\left(\alpha\right)\right)\right]^{-1}\end{eqnarray*}

\[ M\left(t\right)=\frac{1}{\Phi\left(a\right)\sqrt{2\pi}}\int_{0}^{\infty}\frac{e^{xt}}{x^{2}}\exp\left(-\frac{1}{2}\left(\alpha-\frac{1}{x}\right)^{2}\right)dx\]

No moments?

\[ l_{\mathbf{x}}\left(\alpha\right)=N\log\left[\Phi\left(\alpha\right)\sqrt{2\pi}\right]+2N\overline{\log\mathbf{x}}+\frac{N}{2}\alpha^{2}-\alpha\overline{\mathbf{x}^{-1}}+\frac{1}{2}\overline{\mathbf{x}^{-2}}\]

Anglit

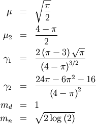
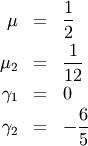
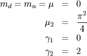
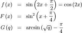
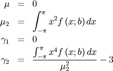
Defined over x\in\left[-\frac{\pi}{4},\frac{\pi}{4}\right]

\begin{eqnarray*} f\left(x\right) & = & \sin\left(2x+\frac{\pi}{2}\right)=\cos\left(2x\right)\\ F\left(x\right) & = & \sin^{2}\left(x+\frac{\pi}{4}\right)\\ G\left(q\right) & = & \arcsin\left(\sqrt{q}\right)-\frac{\pi}{4}\end{eqnarray*}

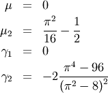
\begin{eqnarray*} \mu & = & 0\\ \mu_{2} & = & \frac{\pi^{2}}{16}-\frac{1}{2}\\ \gamma_{1} & = & 0\\ \gamma_{2} & = & -2\frac{\pi^{4}-96}{\left(\pi^{2}-8\right)^{2}}\end{eqnarray*}

\begin{eqnarray*} h\left[X\right] & = & 1-\log2\\  & \approx & 0.30685281944005469058\end{eqnarray*}

\begin{eqnarray*} M\left(t\right) & = & \int_{-\frac{\pi}{4}}^{\frac{\pi}{4}}\cos\left(2x\right)e^{xt}dx\\  & = & \frac{4\cosh\left(\frac{\pi t}{4}\right)}{t^{2}+4}\end{eqnarray*}

\[ l_{\mathbf{x}}\left(\cdot\right)=-N\overline{\log\left[\cos\left(2\mathbf{x}\right)\right]}\]

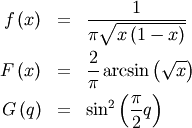
Arcsine

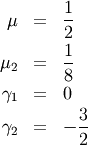
Defined over x\in\left(0,1\right) . To get the JKB definition put x=\frac{u+1}{2}. i.e. L=-1 and S=2.

\begin{eqnarray*} f\left(x\right) & = & \frac{1}{\pi\sqrt{x\left(1-x\right)}}\\ F\left(x\right) & = & \frac{2}{\pi}\arcsin\left(\sqrt{x}\right)\\ G\left(q\right) & = & \sin^{2}\left(\frac{\pi}{2}q\right)\end{eqnarray*}

\[ M\left(t\right)=E^{t/2}I_{0}\left(\frac{t}{2}\right)\]

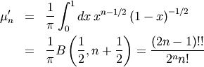
\begin{eqnarray*} \mu_{n}^{\prime} & = & \frac{1}{\pi}\int_{0}^{1}dx\, x^{n-1/2}\left(1-x\right)^{-1/2}\\  & = & \frac{1}{\pi}B\left(\frac{1}{2},n+\frac{1}{2}\right)=\frac{\left(2n-1\right)!!}{2^{n}n!}\end{eqnarray*}

\begin{eqnarray*} \mu & = & \frac{1}{2}\\ \mu_{2} & = & \frac{1}{8}\\ \gamma_{1} & = & 0\\ \gamma_{2} & = & -\frac{3}{2}\end{eqnarray*}

\[ h\left[X\right]\approx-0.24156447527049044468\]

\[ l_{\mathbf{x}}\left(\cdot\right)=N\log\pi+\frac{N}{2}\overline{\log\mathbf{x}}+\frac{N}{2}\overline{\log\left(1-\mathbf{x}\right)}\]

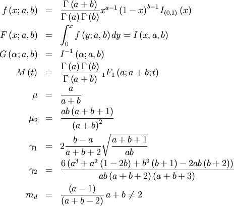
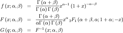
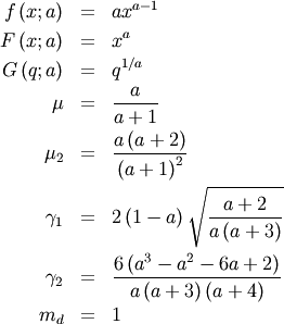
Beta

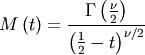
Two shape parameters

\[ a,b>0\]

\begin{eqnarray*} f\left(x;a,b\right) & = & \frac{\Gamma\left(a+b\right)}{\Gamma\left(a\right)\Gamma\left(b\right)}x^{a-1}\left(1-x\right)^{b-1}I_{\left(0,1\right)}\left(x\right)\\ F\left(x;a,b\right) & = & \int_{0}^{x}f\left(y;a,b\right)dy=I\left(x,a,b\right)\\ G\left(\alpha;a,b\right) & = & I^{-1}\left(\alpha;a,b\right)\\ M\left(t\right) & = & \frac{\Gamma\left(a\right)\Gamma\left(b\right)}{\Gamma\left(a+b\right)}\,_{1}F_{1}\left(a;a+b;t\right)\\ \mu & = & \frac{a}{a+b}\\ \mu_{2} & = & \frac{ab\left(a+b+1\right)}{\left(a+b\right)^{2}}\\ \gamma_{1} & = & 2\frac{b-a}{a+b+2}\sqrt{\frac{a+b+1}{ab}}\\ \gamma_{2} & = & \frac{6\left(a^{3}+a^{2}\left(1-2b\right)+b^{2}\left(b+1\right)-2ab\left(b+2\right)\right)}{ab\left(a+b+2\right)\left(a+b+3\right)}\\ m_{d} & = & \frac{\left(a-1\right)}{\left(a+b-2\right)}\, a+b\neq2\end{eqnarray*}

f\left(x;a,1\right) is also called the Power-function distribution.

\[ l_{\mathbf{x}}\left(a,b\right)=-N\log\Gamma\left(a+b\right)+N\log\Gamma\left(a\right)+N\log\Gamma\left(b\right)-N\left(a-1\right)\overline{\log\mathbf{x}}-N\left(b-1\right)\overline{\log\left(1-\mathbf{x}\right)}\]

All of the x_{i}\in\left[0,1\right]

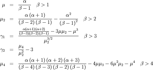
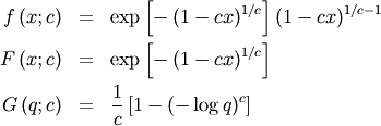
Beta Prime

Defined over 0<x<\infty. \alpha,\beta>0. (Note the CDF evaluation uses Eq. 3.194.1 on pg. 313 of Gradshteyn & Ryzhik (sixth edition).

\begin{eqnarray*} f\left(x;\alpha,\beta\right) & = & \frac{\Gamma\left(\alpha+\beta\right)}{\Gamma\left(\alpha\right)\Gamma\left(\beta\right)}x^{\alpha-1}\left(1+x\right)^{-\alpha-\beta}\\ F\left(x;\alpha,\beta\right) & = & \frac{\Gamma\left(\alpha+\beta\right)}{\alpha\Gamma\left(\alpha\right)\Gamma\left(\beta\right)}x^{\alpha}\,_{2}F_{1}\left(\alpha+\beta,\alpha;1+\alpha;-x\right)\\ G\left(q;\alpha,\beta\right) & = & F^{-1}\left(x;\alpha,\beta\right)\end{eqnarray*}

\[ \mu_{n}^{\prime}=\left\{ \begin{array}{ccc} \frac{\Gamma\left(n+\alpha\right)\Gamma\left(\beta-n\right)}{\Gamma\left(\alpha\right)\Gamma\left(\beta\right)}=\frac{\left(\alpha\right)_{n}}{\left(\beta-n\right)_{n}} &  & \beta>n\\ \infty &  & \textrm{otherwise}\end{array}\right.\]

Therefore,

\begin{eqnarray*} \mu & = & \frac{\alpha}{\beta-1}\quad\beta>1\\ \mu_{2} & = & \frac{\alpha\left(\alpha+1\right)}{\left(\beta-2\right)\left(\beta-1\right)}-\frac{\alpha^{2}}{\left(\beta-1\right)^{2}}\quad\beta>2\\ \gamma_{1} & = & \frac{\frac{\alpha\left(\alpha+1\right)\left(\alpha+2\right)}{\left(\beta-3\right)\left(\beta-2\right)\left(\beta-1\right)}-3\mu\mu_{2}-\mu^{3}}{\mu_{2}^{3/2}}\quad\beta>3\\ \gamma_{2} & = & \frac{\mu_{4}}{\mu_{2}^{2}}-3\\ \mu_{4} & = & \frac{\alpha\left(\alpha+1\right)\left(\alpha+2\right)\left(\alpha+3\right)}{\left(\beta-4\right)\left(\beta-3\right)\left(\beta-2\right)\left(\beta-1\right)}-4\mu\mu_{3}-6\mu^{2}\mu_{2}-\mu^{4}\quad\beta>4\end{eqnarray*}

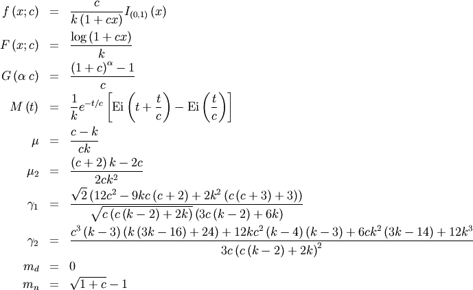
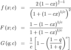
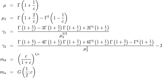
Bradford

\begin{eqnarray*} c & > & 0\\ k & = & \log\left(1+c\right)\end{eqnarray*}

\begin{eqnarray*} f\left(x;c\right) & = & \frac{c}{k\left(1+cx\right)}I_{\left(0,1\right)}\left(x\right)\\ F\left(x;c\right) & = & \frac{\log\left(1+cx\right)}{k}\\ G\left(\alpha\; c\right) & = & \frac{\left(1+c\right)^{\alpha}-1}{c}\\ M\left(t\right) & = & \frac{1}{k}e^{-t/c}\left[\textrm{Ei}\left(t+\frac{t}{c}\right)-\textrm{Ei}\left(\frac{t}{c}\right)\right]\\ \mu & = & \frac{c-k}{ck}\\ \mu_{2} & = & \frac{\left(c+2\right)k-2c}{2ck^{2}}\\ \gamma_{1} & = & \frac{\sqrt{2}\left(12c^{2}-9kc\left(c+2\right)+2k^{2}\left(c\left(c+3\right)+3\right)\right)}{\sqrt{c\left(c\left(k-2\right)+2k\right)}\left(3c\left(k-2\right)+6k\right)}\\ \gamma_{2} & = & \frac{c^{3}\left(k-3\right)\left(k\left(3k-16\right)+24\right)+12kc^{2}\left(k-4\right)\left(k-3\right)+6ck^{2}\left(3k-14\right)+12k^{3}}{3c\left(c\left(k-2\right)+2k\right)^{2}}\\ m_{d} & = & 0\\ m_{n} & = & \sqrt{1+c}-1\end{eqnarray*}

where \textrm{Ei}\left(\textrm{z}\right) is the exponential integral function. Also

\[ h\left[X\right]=\frac{1}{2}\log\left(1+c\right)-\log\left(\frac{c}{\log\left(1+c\right)}\right)\]

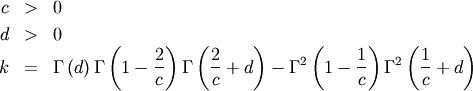
Burr

\begin{eqnarray*} c & > & 0\\ d & > & 0\\ k & = & \Gamma\left(d\right)\Gamma\left(1-\frac{2}{c}\right)\Gamma\left(\frac{2}{c}+d\right)-\Gamma^{2}\left(1-\frac{1}{c}\right)\Gamma^{2}\left(\frac{1}{c}+d\right)\end{eqnarray*}

\begin{eqnarray*} f\left(x;c,d\right) & = & \frac{cd}{x^{c+1}\left(1+x^{-c}\right)^{d+1}}I_{\left(0,\infty\right)}\left(x\right)\\ F\left(x;c,d\right) & = & \left(1+x^{-c}\right)^{-d}\\ G\left(\alpha;c,d\right) & = & \left(\alpha^{-1/d}-1\right)^{-1/c}\\ \mu & = & \frac{\Gamma\left(1-\frac{1}{c}\right)\Gamma\left(\frac{1}{c}+d\right)}{\Gamma\left(d\right)}\\ \mu_{2} & = & \frac{k}{\Gamma^{2}\left(d\right)}\\ \gamma_{1} & = & \frac{1}{\sqrt{k^{3}}}\left[2\Gamma^{3}\left(1-\frac{1}{c}\right)\Gamma^{3}\left(\frac{1}{c}+d\right)+\Gamma^{2}\left(d\right)\Gamma\left(1-\frac{3}{c}\right)\Gamma\left(\frac{3}{c}+d\right)\right.\\  &  & \left.-3\Gamma\left(d\right)\Gamma\left(1-\frac{2}{c}\right)\Gamma\left(1-\frac{1}{c}\right)\Gamma\left(\frac{1}{c}+d\right)\Gamma\left(\frac{2}{c}+d\right)\right]\\ \gamma_{2} & = & -3+\frac{1}{k^{2}}\left[6\Gamma\left(d\right)\Gamma\left(1-\frac{2}{c}\right)\Gamma^{2}\left(1-\frac{1}{c}\right)\Gamma^{2}\left(\frac{1}{c}+d\right)\Gamma\left(\frac{2}{c}+d\right)\right.\\  &  & -3\Gamma^{4}\left(1-\frac{1}{c}\right)\Gamma^{4}\left(\frac{1}{c}+d\right)+\Gamma^{3}\left(d\right)\Gamma\left(1-\frac{4}{c}\right)\Gamma\left(\frac{4}{c}+d\right)\\  &  & \left.-4\Gamma^{2}\left(d\right)\Gamma\left(1-\frac{3}{c}\right)\Gamma\left(1-\frac{1}{c}\right)\Gamma\left(\frac{1}{c}+d\right)\Gamma\left(\frac{3}{c}+d\right)\right]\\ m_{d} & = & \left(\frac{cd-1}{c+1}\right)^{1/c}\,\textrm{if }cd>1\,\textrm{otherwise }0\\ m_{n} & = & \left(2^{1/d}-1\right)^{-1/c}\end{eqnarray*}

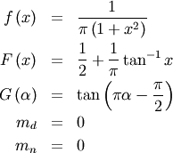
Cauchy

\begin{eqnarray*} f\left(x\right) & = & \frac{1}{\pi\left(1+x^{2}\right)}\\ F\left(x\right) & = & \frac{1}{2}+\frac{1}{\pi}\tan^{-1}x\\ G\left(\alpha\right) & = & \tan\left(\pi\alpha-\frac{\pi}{2}\right)\\ m_{d} & = & 0\\ m_{n} & = & 0\end{eqnarray*}

No finite moments. This is the t distribution with one degree of freedom.

\begin{eqnarray*} h\left[X\right] & = & \log\left(4\pi\right)\\  & \approx & 2.5310242469692907930.\end{eqnarray*}

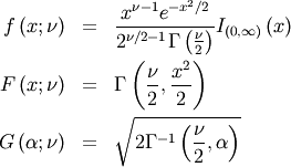
Chi

Generated by taking the (positive) square-root of chi-squared variates.

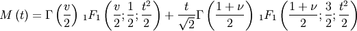
\begin{eqnarray*} f\left(x;\nu\right) & = & \frac{x^{\nu-1}e^{-x^{2}/2}}{2^{\nu/2-1}\Gamma\left(\frac{\nu}{2}\right)}I_{\left(0,\infty\right)}\left(x\right)\\ F\left(x;\nu\right) & = & \Gamma\left(\frac{\nu}{2},\frac{x^{2}}{2}\right)\\ G\left(\alpha;\nu\right) & = & \sqrt{2\Gamma^{-1}\left(\frac{\nu}{2},\alpha\right)}\end{eqnarray*}

\[ M\left(t\right)=\Gamma\left(\frac{v}{2}\right)\,_{1}F_{1}\left(\frac{v}{2};\frac{1}{2};\frac{t^{2}}{2}\right)+\frac{t}{\sqrt{2}}\Gamma\left(\frac{1+\nu}{2}\right)\,_{1}F_{1}\left(\frac{1+\nu}{2};\frac{3}{2};\frac{t^{2}}{2}\right)\]

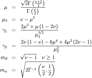
\begin{eqnarray*} \mu & = & \frac{\sqrt{2}\Gamma\left(\frac{\nu+1}{2}\right)}{\Gamma\left(\frac{\nu}{2}\right)}\\ \mu_{2} & = & \nu-\mu^{2}\\ \gamma_{1} & = & \frac{2\mu^{3}+\mu\left(1-2\nu\right)}{\mu_{2}^{3/2}}\\ \gamma_{2} & = & \frac{2\nu\left(1-\nu\right)-6\mu^{4}+4\mu^{2}\left(2\nu-1\right)}{\mu_{2}^{2}}\\ m_{d} & = & \sqrt{\nu-1}\quad\nu\geq1\\ m_{n} & = & \sqrt{2\Gamma^{-1}\left(\frac{\nu}{2},\frac{1}{2}\right)}\end{eqnarray*}

Chi-squared

This is the gamma distribution with L=0.0 and S=2.0 and \alpha=\nu/2 where \nu is called the degrees of freedom. If Z_{1}\ldots Z_{\nu} are all standard normal distributions, then W=\sum_{k}Z_{k}^{2} has (standard) chi-square distribution with \nu degrees of freedom.

The standard form (most often used in standard form only) is x>0

\begin{eqnarray*} f\left(x;\alpha\right) & = & \frac{1}{2\Gamma\left(\frac{\nu}{2}\right)}\left(\frac{x}{2}\right)^{\nu/2-1}e^{-x/2}\\ F\left(x;\alpha\right) & = & \Gamma\left(\frac{\nu}{2},\frac{x}{2}\right)\\ G\left(q;\alpha\right) & = & 2\Gamma^{-1}\left(\frac{\nu}{2},q\right)\end{eqnarray*}

\[ M\left(t\right)=\frac{\Gamma\left(\frac{\nu}{2}\right)}{\left(\frac{1}{2}-t\right)^{\nu/2}}\]

\begin{eqnarray*} \mu & = & \nu\\ \mu_{2} & = & 2\nu\\ \gamma_{1} & = & \frac{2\sqrt{2}}{\sqrt{\nu}}\\ \gamma_{2} & = & \frac{12}{\nu}\\ m_{d} & = & \frac{\nu}{2}-1\end{eqnarray*}

Cosine

Approximation to the normal distribution.

\begin{eqnarray*} f\left(x\right) & = & \frac{1}{2\pi}\left[1+\cos x\right]I_{\left[-\pi,\pi\right]}\left(x\right)\\ F\left(x\right) & = & \frac{1}{2\pi}\left[\pi+x+\sin x\right]I_{\left[-\pi,\pi\right]}\left(x\right)+I_{\left(\pi,\infty\right)}\left(x\right)\\ G\left(\alpha\right) & = & F^{-1}\left(\alpha\right)\\ M\left(t\right) & = & \frac{\sinh\left(\pi t\right)}{\pi t\left(1+t^{2}\right)}\\ \mu=m_{d}=m_{n} & = & 0\\ \mu_{2} & = & \frac{\pi^{2}}{3}-2\\ \gamma_{1} & = & 0\\ \gamma_{2} & = & \frac{-6\left(\pi^{4}-90\right)}{5\left(\pi^{2}-6\right)^{2}}\end{eqnarray*}

\begin{eqnarray*} h\left[X\right] & = & \log\left(4\pi\right)-1\\  & \approx & 1.5310242469692907930.\end{eqnarray*}

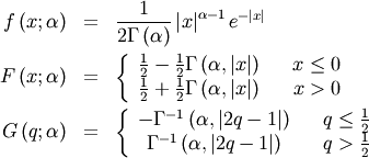
Double Gamma

The double gamma is the signed version of the Gamma distribution. For \alpha>0:

\begin{eqnarray*} f\left(x;\alpha\right) & = & \frac{1}{2\Gamma\left(\alpha\right)}\left|x\right|^{\alpha-1}e^{-\left|x\right|}\\ F\left(x;\alpha\right) & = & \left\{ \begin{array}{ccc} \frac{1}{2}-\frac{1}{2}\Gamma\left(\alpha,\left|x\right|\right) &  & x\leq0\\ \frac{1}{2}+\frac{1}{2}\Gamma\left(\alpha,\left|x\right|\right) &  & x>0\end{array}\right.\\ G\left(q;\alpha\right) & = & \left\{ \begin{array}{ccc} -\Gamma^{-1}\left(\alpha,\left|2q-1\right|\right) &  & q\leq\frac{1}{2}\\ \Gamma^{-1}\left(\alpha,\left|2q-1\right|\right) &  & q>\frac{1}{2}\end{array}\right.\end{eqnarray*}

\[ M\left(t\right)=\frac{1}{2\left(1-t\right)^{a}}+\frac{1}{2\left(1+t\right)^{a}}\]

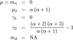
\begin{eqnarray*} \mu=m_{n} & = & 0\\ \mu_{2} & = & \alpha\left(\alpha+1\right)\\ \gamma_{1} & = & 0\\ \gamma_{2} & = & \frac{\left(\alpha+2\right)\left(\alpha+3\right)}{\alpha\left(\alpha+1\right)}-3\\ m_{d} & = & \textrm{NA}\end{eqnarray*}

Doubly Non-central F*

Doubly Non-central t*

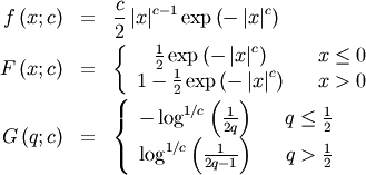
Double Weibull

This is a signed form of the Weibull distribution.

\begin{eqnarray*} f\left(x;c\right) & = & \frac{c}{2}\left|x\right|^{c-1}\exp\left(-\left|x\right|^{c}\right)\\ F\left(x;c\right) & = & \left\{ \begin{array}{ccc} \frac{1}{2}\exp\left(-\left|x\right|^{c}\right) &  & x\leq0\\ 1-\frac{1}{2}\exp\left(-\left|x\right|^{c}\right) &  & x>0\end{array}\right.\\ G\left(q;c\right) & = & \left\{ \begin{array}{ccc} -\log^{1/c}\left(\frac{1}{2q}\right) &  & q\leq\frac{1}{2}\\ \log^{1/c}\left(\frac{1}{2q-1}\right) &  & q>\frac{1}{2}\end{array}\right.\end{eqnarray*}

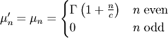
\[ \mu_{n}^{\prime}=\mu_{n}=\begin{cases} \Gamma\left(1+\frac{n}{c}\right) & n\textrm{ even}\\ 0 & n\textrm{ odd}\end{cases}\]

\begin{eqnarray*} m_{d}=\mu & = & 0\\ \mu_{2} & = & \Gamma\left(\frac{c+2}{c}\right)\\ \gamma_{1} & = & 0\\ \gamma_{2} & = & \frac{\Gamma\left(1+\frac{4}{c}\right)}{\Gamma^{2}\left(1+\frac{2}{c}\right)}\\ m_{d} & = & \textrm{NA bimodal}\end{eqnarray*}

Erlang

This is just the Gamma distribution with shape parameter \alpha=n an integer.

Exponential

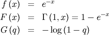
This is a special case of the Gamma (and Erlang) distributions with shape parameter \left(\alpha=1\right) and the same location and scale parameters. The standard form is therefore ( x\geq0 )

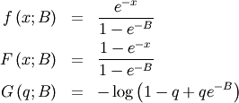
\begin{eqnarray*} f\left(x\right) & = & e^{-x}\\ F\left(x\right) & = & \Gamma\left(1,x\right)=1-e^{-x}\\ G\left(q\right) & = & -\log\left(1-q\right)\end{eqnarray*}

\[ \mu_{n}^{\prime}=n!\]

\[ M\left(t\right)=\frac{1}{1-t}\]

\begin{eqnarray*} \mu & = & 1\\ \mu_{2} & = & 1\\ \gamma_{1} & = & 2\\ \gamma_{2} & = & 6\\ m_{d} & = & 0\end{eqnarray*}

\[ h\left[X\right]=1.\]

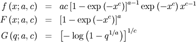
Exponentiated Weibull

Two positive shape parameters a and c and x\in\left(0,\infty\right)

\begin{eqnarray*} f\left(x;a,c\right) & = & ac\left[1-\exp\left(-x^{c}\right)\right]^{a-1}\exp\left(-x^{c}\right)x^{c-1}\\ F\left(x;a,c\right) & = & \left[1-\exp\left(-x^{c}\right)\right]^{a}\\ G\left(q;a,c\right) & = & \left[-\log\left(1-q^{1/a}\right)\right]^{1/c}\end{eqnarray*}

Exponential Power

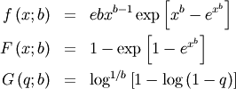
One positive shape parameter b . Defined for x\geq0.

\begin{eqnarray*} f\left(x;b\right) & = & ebx^{b-1}\exp\left[x^{b}-e^{x^{b}}\right]\\ F\left(x;b\right) & = & 1-\exp\left[1-e^{x^{b}}\right]\\ G\left(q;b\right) & = & \log^{1/b}\left[1-\log\left(1-q\right)\right]\end{eqnarray*}

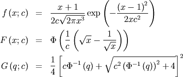
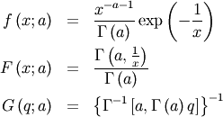
Fatigue Life (Birnbaum-Sanders)

This distribution’s pdf is the average of the inverse-Gaussian \left(\mu=1\right) and reciprocal inverse-Gaussian pdf \left(\mu=1\right) . We follow the notation of JKB here with \beta=S. for x>0

\begin{eqnarray*} f\left(x;c\right) & = & \frac{x+1}{2c\sqrt{2\pi x^{3}}}\exp\left(-\frac{\left(x-1\right)^{2}}{2xc^{2}}\right)\\ F\left(x;c\right) & = & \Phi\left(\frac{1}{c}\left(\sqrt{x}-\frac{1}{\sqrt{x}}\right)\right)\\ G\left(q;c\right) & = & \frac{1}{4}\left[c\Phi^{-1}\left(q\right)+\sqrt{c^{2}\left(\Phi^{-1}\left(q\right)\right)^{2}+4}\right]^{2}\end{eqnarray*}

\[ M\left(t\right)=c\sqrt{2\pi}\exp\left[\frac{1}{c^{2}}\left(1-\sqrt{1-2c^{2}t}\right)\right]\left(1+\frac{1}{\sqrt{1-2c^{2}t}}\right)\]

\begin{eqnarray*} \mu & = & \frac{c^{2}}{2}+1\\ \mu_{2} & = & c^{2}\left(\frac{5}{4}c^{2}+1\right)\\ \gamma_{1} & = & \frac{4c\sqrt{11c^{2}+6}}{\left(5c^{2}+4\right)^{3/2}}\\ \gamma_{2} & = & \frac{6c^{2}\left(93c^{2}+41\right)}{\left(5c^{2}+4\right)^{2}}\end{eqnarray*}

Fisk (Log Logistic)

Special case of the Burr distribution with d=1

\begin{eqnarray*} c & > & 0\\ k & = & \Gamma\left(1-\frac{2}{c}\right)\Gamma\left(\frac{2}{c}+1\right)-\Gamma^{2}\left(1-\frac{1}{c}\right)\Gamma^{2}\left(\frac{1}{c}+1\right)\end{eqnarray*}

\begin{eqnarray*} f\left(x;c,d\right) & = & \frac{cx^{c-1}}{\left(1+x^{c}\right)^{2}}I_{\left(0,\infty\right)}\left(x\right)\\ F\left(x;c,d\right) & = & \left(1+x^{-c}\right)^{-1}\\ G\left(\alpha;c,d\right) & = & \left(\alpha^{-1}-1\right)^{-1/c}\\ \mu & = & \Gamma\left(1-\frac{1}{c}\right)\Gamma\left(\frac{1}{c}+1\right)\\ \mu_{2} & = & k\\ \gamma_{1} & = & \frac{1}{\sqrt{k^{3}}}\left[2\Gamma^{3}\left(1-\frac{1}{c}\right)\Gamma^{3}\left(\frac{1}{c}+1\right)+\Gamma\left(1-\frac{3}{c}\right)\Gamma\left(\frac{3}{c}+1\right)\right.\\  &  & \left.-3\Gamma\left(1-\frac{2}{c}\right)\Gamma\left(1-\frac{1}{c}\right)\Gamma\left(\frac{1}{c}+1\right)\Gamma\left(\frac{2}{c}+1\right)\right]\\ \gamma_{2} & = & -3+\frac{1}{k^{2}}\left[6\Gamma\left(1-\frac{2}{c}\right)\Gamma^{2}\left(1-\frac{1}{c}\right)\Gamma^{2}\left(\frac{1}{c}+1\right)\Gamma\left(\frac{2}{c}+1\right)\right.\\  &  & -3\Gamma^{4}\left(1-\frac{1}{c}\right)\Gamma^{4}\left(\frac{1}{c}+1\right)+\Gamma\left(1-\frac{4}{c}\right)\Gamma\left(\frac{4}{c}+1\right)\\  &  & \left.-4\Gamma\left(1-\frac{3}{c}\right)\Gamma\left(1-\frac{1}{c}\right)\Gamma\left(\frac{1}{c}+1\right)\Gamma\left(\frac{3}{c}+1\right)\right]\\ m_{d} & = & \left(\frac{c-1}{c+1}\right)^{1/c}\,\textrm{if }c>1\,\textrm{otherwise }0\\ m_{n} & = & 1\end{eqnarray*}

\[ h\left[X\right]=2-\log c.\]

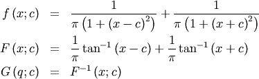
Folded Cauchy

This formula can be expressed in terms of the standard formulas for the Cauchy distribution (call the cdf C\left(x\right) and the pdf d\left(x\right) ). if Y is cauchy then \left|Y\right| is folded cauchy. Note that x\geq0.

\begin{eqnarray*} f\left(x;c\right) & = & \frac{1}{\pi\left(1+\left(x-c\right)^{2}\right)}+\frac{1}{\pi\left(1+\left(x+c\right)^{2}\right)}\\ F\left(x;c\right) & = & \frac{1}{\pi}\tan^{-1}\left(x-c\right)+\frac{1}{\pi}\tan^{-1}\left(x+c\right)\\ G\left(q;c\right) & = & F^{-1}\left(x;c\right)\end{eqnarray*}

No moments

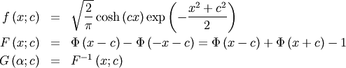
Folded Normal

If Z is Normal with mean L and \sigma=S , then \left|Z\right| is a folded normal with shape parameter c=\left|L\right|/S , location parameter 0 and scale parameter S . This is a special case of the non-central chi distribution with one- degree of freedom and non-centrality parameter c^{2}. Note that c\geq0 . The standard form of the folded normal is

\begin{eqnarray*} f\left(x;c\right) & = & \sqrt{\frac{2}{\pi}}\cosh\left(cx\right)\exp\left(-\frac{x^{2}+c^{2}}{2}\right)\\ F\left(x;c\right) & = & \Phi\left(x-c\right)-\Phi\left(-x-c\right)=\Phi\left(x-c\right)+\Phi\left(x+c\right)-1\\ G\left(\alpha;c\right) & = & F^{-1}\left(x;c\right)\end{eqnarray*}

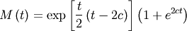
\[ M\left(t\right)=\exp\left[\frac{t}{2}\left(t-2c\right)\right]\left(1+e^{2ct}\right)\]

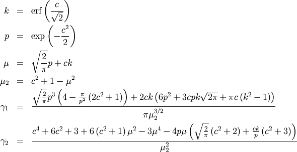
\begin{eqnarray*} k & = & \textrm{erf}\left(\frac{c}{\sqrt{2}}\right)\\ p & = & \exp\left(-\frac{c^{2}}{2}\right)\\ \mu & = & \sqrt{\frac{2}{\pi}}p+ck\\ \mu_{2} & = & c^{2}+1-\mu^{2}\\ \gamma_{1} & = & \frac{\sqrt{\frac{2}{\pi}}p^{3}\left(4-\frac{\pi}{p^{2}}\left(2c^{2}+1\right)\right)+2ck\left(6p^{2}+3cpk\sqrt{2\pi}+\pi c\left(k^{2}-1\right)\right)}{\pi\mu_{2}^{3/2}}\\ \gamma_{2} & = & \frac{c^{4}+6c^{2}+3+6\left(c^{2}+1\right)\mu^{2}-3\mu^{4}-4p\mu\left(\sqrt{\frac{2}{\pi}}\left(c^{2}+2\right)+\frac{ck}{p}\left(c^{2}+3\right)\right)}{\mu_{2}^{2}}\end{eqnarray*}

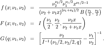
Fratio (or F)

Defined for x>0 . The distribution of \left(X_{1}/X_{2}\right)\left(\nu_{2}/\nu_{1}\right) if X_{1} is chi-squared with v_{1} degrees of freedom and X_{2} is chi-squared with v_{2} degrees of freedom.

\begin{eqnarray*} f\left(x;\nu_{1},\nu_{2}\right) & = & \frac{\nu_{2}^{\nu_{2}/2}\nu_{1}^{\nu_{1}/2}x^{\nu_{1}/2-1}}{\left(\nu_{2}+\nu_{1}x\right)^{\left(\nu_{1}+\nu_{2}\right)/2}B\left(\frac{\nu_{1}}{2},\frac{\nu_{2}}{2}\right)}\\ F\left(x;v_{1},v_{2}\right) & = & I\left(\frac{\nu_{1}}{2},\frac{\nu_{2}}{2},\frac{\nu_{2}x}{\nu_{2}+\nu_{1}x}\right)\\ G\left(q;\nu_{1},\nu_{2}\right) & = & \left[\frac{\nu_{2}}{I^{-1}\left(\nu_{1}/2,\nu_{2}/2,q\right)}-\frac{\nu_{1}}{\nu_{2}}\right]^{-1}.\end{eqnarray*}

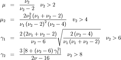
\begin{eqnarray*} \mu & = & \frac{\nu_{2}}{\nu_{2}-2}\quad\nu_{2}>2\\ \mu_{2} & = & \frac{2\nu_{2}^{2}\left(\nu_{1}+\nu_{2}-2\right)}{\nu_{1}\left(\nu_{2}-2\right)^{2}\left(\nu_{2}-4\right)}\quad v_{2}>4\\ \gamma_{1} & = & \frac{2\left(2\nu_{1}+\nu_{2}-2\right)}{\nu_{2}-6}\sqrt{\frac{2\left(\nu_{2}-4\right)}{\nu_{1}\left(\nu_{1}+\nu_{2}-2\right)}}\quad\nu_{2}>6\\ \gamma_{2} & = & \frac{3\left[8+\left(\nu_{2}-6\right)\gamma_{1}^{2}\right]}{2\nu-16}\quad\nu_{2}>8\end{eqnarray*}

Fréchet (ExtremeLB, Extreme Value II, Weibull minimum)

A type of extreme-value distribution with a lower bound. Defined for x>0 and c>0

\begin{eqnarray*} f\left(x;c\right) & = & cx^{c-1}\exp\left(-x^{c}\right)\\ F\left(x;c\right) & = & 1-\exp\left(-x^{c}\right)\\ G\left(q;c\right) & = & \left[-\log\left(1-q\right)\right]^{1/c}\end{eqnarray*}

\[ \mu_{n}^{\prime}=\Gamma\left(1+\frac{n}{c}\right)\]

\begin{eqnarray*} \mu & = & \Gamma\left(1+\frac{1}{c}\right)\\ \mu_{2} & = & \Gamma\left(1+\frac{2}{c}\right)-\Gamma^{2}\left(1-\frac{1}{c}\right)\\ \gamma_{1} & = & \frac{\Gamma\left(1+\frac{3}{c}\right)-3\Gamma\left(1+\frac{2}{c}\right)\Gamma\left(1+\frac{1}{c}\right)+2\Gamma^{3}\left(1+\frac{1}{c}\right)}{\mu_{2}^{3/2}}\\ \gamma_{2} & = & \frac{\Gamma\left(1+\frac{4}{c}\right)-4\Gamma\left(1+\frac{1}{c}\right)\Gamma\left(1+\frac{3}{c}\right)+6\Gamma^{2}\left(1+\frac{1}{c}\right)\Gamma\left(1+\frac{2}{c}\right)-\Gamma^{4}\left(1+\frac{1}{c}\right)}{\mu_{2}^{2}}-3\\ m_{d} & = & \left(\frac{c}{1+c}\right)^{1/c}\\ m_{n} & = & G\left(\frac{1}{2};c\right)\end{eqnarray*}

\[ h\left[X\right]=-\frac{\gamma}{c}-\log\left(c\right)+\gamma+1\]

where \gamma is Euler’s constant and equal to

\[ \gamma\approx0.57721566490153286061.\]

Fréchet (left-skewed, Extreme Value Type III, Weibull maximum)

Defined for x<0 and c>0 .

\begin{eqnarray*} f\left(x;c\right) & = & c\left(-x\right)^{c-1}\exp\left(-\left(-x\right)^{c}\right)\\ F\left(x;c\right) & = & \exp\left(-\left(-x\right)^{c}\right)\\ G\left(q;c\right) & = & -\left(-\log q\right)^{1/c}\end{eqnarray*}

The mean is the negative of the right-skewed Frechet distribution given above, and the other statistical parameters can be computed from

\[ \mu_{n}^{\prime}=\left(-1\right)^{n}\Gamma\left(1+\frac{n}{c}\right).\]

\[ h\left[X\right]=-\frac{\gamma}{c}-\log\left(c\right)+\gamma+1\]

where \gamma is Euler’s constant and equal to

\[ \gamma\approx0.57721566490153286061.\]

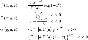
Gamma

The standard form for the gamma distribution is \left(\alpha>0\right) valid for x\geq0 .

\begin{eqnarray*} f\left(x;\alpha\right) & = & \frac{1}{\Gamma\left(\alpha\right)}x^{\alpha-1}e^{-x}\\ F\left(x;\alpha\right) & = & \Gamma\left(\alpha,x\right)\\ G\left(q;\alpha\right) & = & \Gamma^{-1}\left(\alpha,q\right)\end{eqnarray*}

\[ M\left(t\right)=\frac{1}{\left(1-t\right)^{\alpha}}\]

\begin{eqnarray*} \mu & = & \alpha\\ \mu_{2} & = & \alpha\\ \gamma_{1} & = & \frac{2}{\sqrt{\alpha}}\\ \gamma_{2} & = & \frac{6}{\alpha}\\ m_{d} & = & \alpha-1\end{eqnarray*}

\[ h\left[X\right]=\Psi\left(a\right)\left[1-a\right]+a+\log\Gamma\left(a\right)\]

where

\[ \Psi\left(a\right)=\frac{\Gamma^{\prime}\left(a\right)}{\Gamma\left(a\right)}.\]

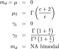
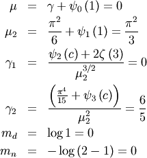
Generalized Logistic

Has been used in the analysis of extreme values. Has one shape parameter c>0. And x>0

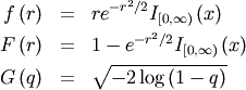
\begin{eqnarray*} f\left(x;c\right) & = & \frac{c\exp\left(-x\right)}{\left[1+\exp\left(-x\right)\right]^{c+1}}\\ F\left(x;c\right) & = & \frac{1}{\left[1+\exp\left(-x\right)\right]^{c}}\\ G\left(q;c\right) & = & -\log\left(q^{-1/c}-1\right)\end{eqnarray*}

\[ M\left(t\right)=\frac{c}{1-t}\,_{2}F_{1}\left(1+c,\,1-t\,;\,2-t\,;-1\right)\]

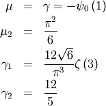
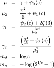
\begin{eqnarray*} \mu & = & \gamma+\psi_{0}\left(c\right)\\ \mu_{2} & = & \frac{\pi^{2}}{6}+\psi_{1}\left(c\right)\\ \gamma_{1} & = & \frac{\psi_{2}\left(c\right)+2\zeta\left(3\right)}{\mu_{2}^{3/2}}\\ \gamma_{2} & = & \frac{\left(\frac{\pi^{4}}{15}+\psi_{3}\left(c\right)\right)}{\mu_{2}^{2}}\\ m_{d} & = & \log c\\ m_{n} & = & -\log\left(2^{1/c}-1\right)\end{eqnarray*}

Note that the polygamma function is

\begin{eqnarray*} \psi_{n}\left(z\right) & = & \frac{d^{n+1}}{dz^{n+1}}\log\Gamma\left(z\right)\\  & = & \left(-1\right)^{n+1}n!\sum_{k=0}^{\infty}\frac{1}{\left(z+k\right)^{n+1}}\\  & = & \left(-1\right)^{n+1}n!\zeta\left(n+1,z\right)\end{eqnarray*}

where \zeta\left(k,x\right) is a generalization of the Riemann zeta function called the Hurwitz zeta function Note that \zeta\left(n\right)\equiv\zeta\left(n,1\right)

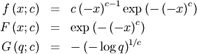
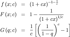
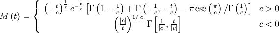
Generalized Pareto

Shape parameter c\neq0 and defined for x\geq0 for all c and x<\frac{1}{\left|c\right|} if c is negative.

\begin{eqnarray*} f\left(x;c\right) & = & \left(1+cx\right)^{-1-\frac{1}{c}}\\ F\left(x;c\right) & = & 1-\frac{1}{\left(1+cx\right)^{1/c}}\\ G\left(q;c\right) & = & \frac{1}{c}\left[\left(\frac{1}{1-q}\right)^{c}-1\right]\end{eqnarray*}

\[ M\left(t\right)=\left\{ \begin{array}{cc} \left(-\frac{t}{c}\right)^{\frac{1}{c}}e^{-\frac{t}{c}}\left[\Gamma\left(1-\frac{1}{c}\right)+\Gamma\left(-\frac{1}{c},-\frac{t}{c}\right)-\pi\csc\left(\frac{\pi}{c}\right)/\Gamma\left(\frac{1}{c}\right)\right] & c>0\\ \left(\frac{\left|c\right|}{t}\right)^{1/\left|c\right|}\Gamma\left[\frac{1}{\left|c\right|},\frac{t}{\left|c\right|}\right] & c<0\end{array}\right.\]

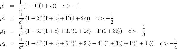
\[ \mu_{n}^{\prime}=\frac{\left(-1\right)^{n}}{c^{n}}\sum_{k=0}^{n}\left(\begin{array}{c} n\\ k\end{array}\right)\frac{\left(-1\right)^{k}}{1-ck}\quad cn<1\]

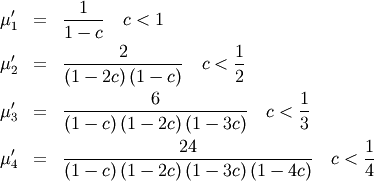
\begin{eqnarray*} \mu_{1}^{\prime} & = & \frac{1}{1-c}\quad c<1\\ \mu_{2}^{\prime} & = & \frac{2}{\left(1-2c\right)\left(1-c\right)}\quad c<\frac{1}{2}\\ \mu_{3}^{\prime} & = & \frac{6}{\left(1-c\right)\left(1-2c\right)\left(1-3c\right)}\quad c<\frac{1}{3}\\ \mu_{4}^{\prime} & = & \frac{24}{\left(1-c\right)\left(1-2c\right)\left(1-3c\right)\left(1-4c\right)}\quad c<\frac{1}{4}\end{eqnarray*}

Thus,

\begin{eqnarray*} \mu & = & \mu_{1}^{\prime}\\ \mu_{2} & = & \mu_{2}^{\prime}-\mu^{2}\\ \gamma_{1} & = & \frac{\mu_{3}^{\prime}-3\mu\mu_{2}-\mu^{3}}{\mu_{2}^{3/2}}\\ \gamma_{2} & = & \frac{\mu_{4}^{\prime}-4\mu\mu_{3}-6\mu^{2}\mu_{2}-\mu^{4}}{\mu_{2}^{2}}-3\end{eqnarray*}

\[ h\left[X\right]=1+c\quad c>0\]

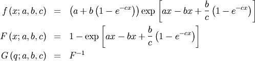
Generalized Exponential

Three positive shape parameters for x\geq0. Note that a,b, and c are all >0.

\begin{eqnarray*} f\left(x;a,b,c\right) & = & \left(a+b\left(1-e^{-cx}\right)\right)\exp\left[ax-bx+\frac{b}{c}\left(1-e^{-cx}\right)\right]\\ F\left(x;a,b,c\right) & = & 1-\exp\left[ax-bx+\frac{b}{c}\left(1-e^{-cx}\right)\right]\\ G\left(q;a,b,c\right) & = & F^{-1}\end{eqnarray*}

Generalized Extreme Value

Extreme value distributions with shape parameter c .

For c>0 defined on -\infty<x\leq1/c.

\begin{eqnarray*} f\left(x;c\right) & = & \exp\left[-\left(1-cx\right)^{1/c}\right]\left(1-cx\right)^{1/c-1}\\ F\left(x;c\right) & = & \exp\left[-\left(1-cx\right)^{1/c}\right]\\ G\left(q;c\right) & = & \frac{1}{c}\left[1-\left(-\log q\right)^{c}\right]\end{eqnarray*}

\[ \mu_{n}^{\prime}=\frac{1}{c^{n}}\sum_{k=0}^{n}\left(\begin{array}{c} n\\ k\end{array}\right)\left(-1\right)^{k}\Gamma\left(ck+1\right)\quad cn>-1\]

So,

\begin{eqnarray*} \mu_{1}^{\prime} & = & \frac{1}{c}\left(1-\Gamma\left(1+c\right)\right)\quad c>-1\\ \mu_{2}^{\prime} & = & \frac{1}{c^{2}}\left(1-2\Gamma\left(1+c\right)+\Gamma\left(1+2c\right)\right)\quad c>-\frac{1}{2}\\ \mu_{3}^{\prime} & = & \frac{1}{c^{3}}\left(1-3\Gamma\left(1+c\right)+3\Gamma\left(1+2c\right)-\Gamma\left(1+3c\right)\right)\quad c>-\frac{1}{3}\\ \mu_{4}^{\prime} & = & \frac{1}{c^{4}}\left(1-4\Gamma\left(1+c\right)+6\Gamma\left(1+2c\right)-4\Gamma\left(1+3c\right)+\Gamma\left(1+4c\right)\right)\quad c>-\frac{1}{4}\end{eqnarray*}

For c<0 defined on \frac{1}{c}\leq x<\infty. For c=0 defined over all space

\begin{eqnarray*} f\left(x;0\right) & = & \exp\left[-e^{-x}\right]e^{-x}\\ F\left(x;0\right) & = & \exp\left[-e^{-x}\right]\\ G\left(q;0\right) & = & -\log\left(-\log q\right)\end{eqnarray*}

This is just the (left-skewed) Gumbel distribution for c=0.

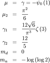
\begin{eqnarray*} \mu & = & \gamma=-\psi_{0}\left(1\right)\\ \mu_{2} & = & \frac{\pi^{2}}{6}\\ \gamma_{1} & = & \frac{12\sqrt{6}}{\pi^{3}}\zeta\left(3\right)\\ \gamma_{2} & = & \frac{12}{5}\end{eqnarray*}

Generalized Gamma

A general probability form that reduces to many common distributions: x>0 a>0 and c\neq0.

\begin{eqnarray*} f\left(x;a,c\right) & = & \frac{\left|c\right|x^{ca-1}}{\Gamma\left(a\right)}\exp\left(-x^{c}\right)\\ F\left(x;a,c\right) & = & \begin{array}{cc} \frac{\Gamma\left(a,x^{c}\right)}{\Gamma\left(a\right)} & c>0\\ 1-\frac{\Gamma\left(a,x^{c}\right)}{\Gamma\left(a\right)} & c<0\end{array}\\ G\left(q;a,c\right) & = & \left\{ \Gamma^{-1}\left[a,\Gamma\left(a\right)q\right]\right\} ^{1/c}\quad c>0\\  &  & \left\{ \Gamma^{-1}\left[a,\Gamma\left(a\right)\left(1-q\right)\right]\right\} ^{1/c}\quad c<0\end{eqnarray*}

\[ \mu_{n}^{\prime}=\frac{\Gamma\left(a+\frac{n}{c}\right)}{\Gamma\left(a\right)}\]

\begin{eqnarray*} \mu & = & \frac{\Gamma\left(a+\frac{1}{c}\right)}{\Gamma\left(a\right)}\\ \mu_{2} & = & \frac{\Gamma\left(a+\frac{2}{c}\right)}{\Gamma\left(a\right)}-\mu^{2}\\ \gamma_{1} & = & \frac{\Gamma\left(a+\frac{3}{c}\right)/\Gamma\left(a\right)-3\mu\mu_{2}-\mu^{3}}{\mu_{2}^{3/2}}\\ \gamma_{2} & = & \frac{\Gamma\left(a+\frac{4}{c}\right)/\Gamma\left(a\right)-4\mu\mu_{3}-6\mu^{2}\mu_{2}-\mu^{4}}{\mu_{2}^{2}}-3\\ m_{d} & = & \left(\frac{ac-1}{c}\right)^{1/c}.\end{eqnarray*}

Special cases are Weibull \left(a=1\right) , half-normal \left(a=1/2,c=2\right) and ordinary gamma distributions c=1. If c=-1 then it is the inverted gamma distribution.

\[ h\left[X\right]=a-a\Psi\left(a\right)+\frac{1}{c}\Psi\left(a\right)+\log\Gamma\left(a\right)-\log\left|c\right|.\]

Generalized Half-Logistic

For x\in\left[0,1/c\right] and c>0 we have

\begin{eqnarray*} f\left(x;c\right) & = & \frac{2\left(1-cx\right)^{\frac{1}{c}-1}}{\left(1+\left(1-cx\right)^{1/c}\right)^{2}}\\ F\left(x;c\right) & = & \frac{1-\left(1-cx\right)^{1/c}}{1+\left(1-cx\right)^{1/c}}\\ G\left(q;c\right) & = & \frac{1}{c}\left[1-\left(\frac{1-q}{1+q}\right)^{c}\right]\end{eqnarray*}

\begin{eqnarray*} h\left[X\right] & = & 2-\left(2c+1\right)\log2.\end{eqnarray*}

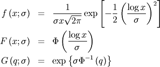
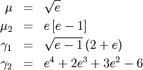
Gilbrat

Special case of the log-normal with \sigma=1 and S=1.0 (typically also L=0.0 )

\begin{eqnarray*} f\left(x;\sigma\right) & = & \frac{1}{x\sqrt{2\pi}}\exp\left[-\frac{1}{2}\left(\log x\right)^{2}\right]\\ F\left(x;\sigma\right) & = & \Phi\left(\log x\right)=\frac{1}{2}\left[1+\textrm{erf}\left(\frac{\log x}{\sqrt{2}}\right)\right]\\ G\left(q;\sigma\right) & = & \exp\left\{ \Phi^{-1}\left(q\right)\right\} \end{eqnarray*}

\begin{eqnarray*} \mu & = & \sqrt{e}\\ \mu_{2} & = & e\left[e-1\right]\\ \gamma_{1} & = & \sqrt{e-1}\left(2+e\right)\\ \gamma_{2} & = & e^{4}+2e^{3}+3e^{2}-6\end{eqnarray*}

\begin{eqnarray*} h\left[X\right] & = & \log\left(\sqrt{2\pi e}\right)\\  & \approx & 1.4189385332046727418\end{eqnarray*}

Gompertz (Truncated Gumbel)

For x\geq0 and c>0 . In JKB the two shape parameters b,a are reduced to the single shape-parameter c=b/a . As a is just a scale parameter when a\neq0 . If a=0, the distribution reduces to the exponential distribution scaled by 1/b. Thus, the standard form is given as

\begin{eqnarray*} f\left(x;c\right) & = & ce^{x}\exp\left[-c\left(e^{x}-1\right)\right]\\ F\left(x;c\right) & = & 1-\exp\left[-c\left(e^{x}-1\right)\right]\\ G\left(q;c\right) & = & \log\left[1-\frac{1}{c}\log\left(1-q\right)\right]\end{eqnarray*}

\[ h\left[X\right]=1-\log\left(c\right)-e^{c}\textrm{Ei}\left(1,c\right),\]

where

\[ \textrm{Ei}\left(n,x\right)=\int_{1}^{\infty}t^{-n}\exp\left(-xt\right)dt\]

Gumbel (LogWeibull, Fisher-Tippetts, Type I Extreme Value)

One of a clase of extreme value distributions (right-skewed).

\begin{eqnarray*} f\left(x\right) & = & \exp\left(-\left(x+e^{-x}\right)\right)\\ F\left(x\right) & = & \exp\left(-e^{-x}\right)\\ G\left(q\right) & = & -\log\left(-\log\left(q\right)\right)\end{eqnarray*}

\[ M\left(t\right)=\Gamma\left(1-t\right)\]

\begin{eqnarray*} \mu & = & \gamma=-\psi_{0}\left(1\right)\\ \mu_{2} & = & \frac{\pi^{2}}{6}\\ \gamma_{1} & = & \frac{12\sqrt{6}}{\pi^{3}}\zeta\left(3\right)\\ \gamma_{2} & = & \frac{12}{5}\\ m_{d} & = & 0\\ m_{n} & = & -\log\left(\log2\right)\end{eqnarray*}

\[ h\left[X\right]\approx1.0608407169541684911\]

Gumbel Left-skewed (for minimum order statistic)

\begin{eqnarray*} f\left(x\right) & = & \exp\left(x-e^{x}\right)\\ F\left(x\right) & = & 1-\exp\left(-e^{x}\right)\\ G\left(q\right) & = & \log\left(-\log\left(1-q\right)\right)\end{eqnarray*}

\[ M\left(t\right)=\Gamma\left(1+t\right)\]

Note, that \mu is negative the mean for the right-skewed distribution. Similar for median and mode. All other moments are the same.

\[ h\left[X\right]\approx1.0608407169541684911.\]

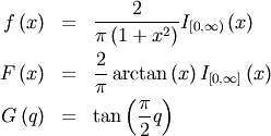
HalfCauchy

If Z is Hyperbolic Secant distributed then e^{Z} is Half-Cauchy distributed. Also, if W is (standard) Cauchy distributed, then \left|W\right| is Half-Cauchy distributed. Special case of the Folded Cauchy distribution with c=0. The standard form is

\begin{eqnarray*} f\left(x\right) & = & \frac{2}{\pi\left(1+x^{2}\right)}I_{[0,\infty)}\left(x\right)\\ F\left(x\right) & = & \frac{2}{\pi}\arctan\left(x\right)I_{\left[0,\infty\right]}\left(x\right)\\ G\left(q\right) & = & \tan\left(\frac{\pi}{2}q\right)\end{eqnarray*}

\[ M\left(t\right)=\cos t+\frac{2}{\pi}\left[\textrm{Si}\left(t\right)\cos t-\textrm{Ci}\left(\textrm{-}t\right)\sin t\right]\]

\begin{eqnarray*} m_{d} & = & 0\\ m_{n} & = & \tan\left(\frac{\pi}{4}\right)\end{eqnarray*}

No moments, as the integrals diverge.

\begin{eqnarray*} h\left[X\right] & = & \log\left(2\pi\right)\\  & \approx & 1.8378770664093454836.\end{eqnarray*}

HalfNormal

This is a special case of the chi distribution with L=a and S=b and \nu=1. This is also a special case of the folded normal with shape parameter c=0 and S=S. If Z is (standard) normally distributed then, \left|Z\right| is half-normal. The standard form is

\begin{eqnarray*} f\left(x\right) & = & \sqrt{\frac{2}{\pi}}e^{-x^{2}/2}I_{\left(0,\infty\right)}\left(x\right)\\ F\left(x\right) & = & 2\Phi\left(x\right)-1\\ G\left(q\right) & = & \Phi^{-1}\left(\frac{1+q}{2}\right)\end{eqnarray*}

\[ M\left(t\right)=\sqrt{2\pi}e^{t^{2}/2}\Phi\left(t\right)\]

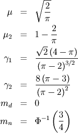
\begin{eqnarray*} \mu & = & \sqrt{\frac{2}{\pi}}\\ \mu_{2} & = & 1-\frac{2}{\pi}\\ \gamma_{1} & = & \frac{\sqrt{2}\left(4-\pi\right)}{\left(\pi-2\right)^{3/2}}\\ \gamma_{2} & = & \frac{8\left(\pi-3\right)}{\left(\pi-2\right)^{2}}\\ m_{d} & = & 0\\ m_{n} & = & \Phi^{-1}\left(\frac{3}{4}\right)\end{eqnarray*}

\begin{eqnarray*} h\left[X\right] & = & \log\left(\sqrt{\frac{\pi e}{2}}\right)\\  & \approx & 0.72579135264472743239.\end{eqnarray*}

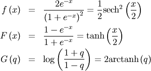
Half-Logistic

In the limit as c\rightarrow\infty for the generalized half-logistic we have the half-logistic defined over x\geq0. Also, the distribution of \left|X\right| where X has logistic distribtution.

\begin{eqnarray*} f\left(x\right) & = & \frac{2e^{-x}}{\left(1+e^{-x}\right)^{2}}=\frac{1}{2}\textrm{sech}^{2}\left(\frac{x}{2}\right)\\ F\left(x\right) & = & \frac{1-e^{-x}}{1+e^{-x}}=\tanh\left(\frac{x}{2}\right)\\ G\left(q\right) & = & \log\left(\frac{1+q}{1-q}\right)=2\textrm{arctanh}\left(q\right)\end{eqnarray*}

\[ M\left(t\right)=1-t\psi_{0}\left(\frac{1}{2}-\frac{t}{2}\right)+t\psi_{0}\left(1-\frac{t}{2}\right)\]

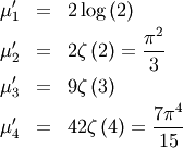
\[ \mu_{n}^{\prime}=2\left(1-2^{1-n}\right)n!\zeta\left(n\right)\quad n\neq1\]

\begin{eqnarray*} \mu_{1}^{\prime} & = & 2\log\left(2\right)\\ \mu_{2}^{\prime} & = & 2\zeta\left(2\right)=\frac{\pi^{2}}{3}\\ \mu_{3}^{\prime} & = & 9\zeta\left(3\right)\\ \mu_{4}^{\prime} & = & 42\zeta\left(4\right)=\frac{7\pi^{4}}{15}\end{eqnarray*}

\begin{eqnarray*} h\left[X\right] & = & 2-\log\left(2\right)\\  & \approx & 1.3068528194400546906.\end{eqnarray*}

Hyperbolic Secant

Related to the logistic distribution and used in lifetime analysis. Standard form is (defined over all x )

\begin{eqnarray*} f\left(x\right) & = & \frac{1}{\pi}\textrm{sech}\left(x\right)\\ F\left(x\right) & = & \frac{2}{\pi}\arctan\left(e^{x}\right)\\ G\left(q\right) & = & \log\left(\tan\left(\frac{\pi}{2}q\right)\right)\end{eqnarray*}

\[ M\left(t\right)=\sec\left(\frac{\pi}{2}t\right)\]

\begin{eqnarray*} \mu_{n}^{\prime} & = & \frac{1+\left(-1\right)^{n}}{2\pi2^{2n}}n!\left[\zeta\left(n+1,\frac{1}{4}\right)-\zeta\left(n+1,\frac{3}{4}\right)\right]\\  & = & \left\{ \begin{array}{cc} 0 & n\textrm{ odd}\\ C_{n/2}\frac{\pi^{n}}{2^{n}} & n\textrm{ even}\end{array}\right.\end{eqnarray*}

where C_{m} is an integer given by

\begin{eqnarray*} C_{m} & = & \frac{\left(2m\right)!\left[\zeta\left(2m+1,\frac{1}{4}\right)-\zeta\left(2m+1,\frac{3}{4}\right)\right]}{\pi^{2m+1}2^{2m}}\\  & = & 4\left(-1\right)^{m-1}\frac{16^{m}}{2m+1}B_{2m+1}\left(\frac{1}{4}\right)\end{eqnarray*}

where B_{2m+1}\left(\frac{1}{4}\right) is the Bernoulli polynomial of order 2m+1 evaluated at 1/4. Thus

\[ \mu_{n}^{\prime}=\left\{ \begin{array}{cc} 0 & n\textrm{ odd}\\ 4\left(-1\right)^{n/2-1}\frac{\left(2\pi\right)^{n}}{n+1}B_{n+1}\left(\frac{1}{4}\right) & n\textrm{ even}\end{array}\right.\]

\begin{eqnarray*} m_{d}=m_{n}=\mu & = & 0\\ \mu_{2} & = & \frac{\pi^{2}}{4}\\ \gamma_{1} & = & 0\\ \gamma_{2} & = & 2\end{eqnarray*}

\[ h\left[X\right]=\log\left(2\pi\right).\]

Gauss Hypergeometric

x\in\left[0,1\right] , \alpha>0,\,\beta>0

\[ C^{-1}=B\left(\alpha,\beta\right)\,_{2}F_{1}\left(\gamma,\alpha;\alpha+\beta;-z\right)\]

\begin{eqnarray*} f\left(x;\alpha,\beta,\gamma,z\right) & = & Cx^{\alpha-1}\frac{\left(1-x\right)^{\beta-1}}{\left(1+zx\right)^{\gamma}}\\ \mu_{n}^{\prime} & = & \frac{B\left(n+\alpha,\beta\right)}{B\left(\alpha,\beta\right)}\frac{\,_{2}F_{1}\left(\gamma,\alpha+n;\alpha+\beta+n;-z\right)}{\,_{2}F_{1}\left(\gamma,\alpha;\alpha+\beta;-z\right)}\end{eqnarray*}

Inverted Gamma

Special case of the generalized Gamma distribution with c=-1 and a>0 , x>0

\begin{eqnarray*} f\left(x;a\right) & = & \frac{x^{-a-1}}{\Gamma\left(a\right)}\exp\left(-\frac{1}{x}\right)\\ F\left(x;a\right) & = & \frac{\Gamma\left(a,\frac{1}{x}\right)}{\Gamma\left(a\right)}\\ G\left(q;a\right) & = & \left\{ \Gamma^{-1}\left[a,\Gamma\left(a\right)q\right]\right\} ^{-1}\end{eqnarray*}

\[ \mu_{n}^{\prime}=\frac{\Gamma\left(a-n\right)}{\Gamma\left(a\right)}\quad a>n\]

\begin{eqnarray*} \mu & = & \frac{1}{a-1}\quad a>1\\ \mu_{2} & = & \frac{1}{\left(a-2\right)\left(a-1\right)}-\mu^{2}\quad a>2\\ \gamma_{1} & = & \frac{\frac{1}{\left(a-3\right)\left(a-2\right)\left(a-1\right)}-3\mu\mu_{2}-\mu^{3}}{\mu_{2}^{3/2}}\\ \gamma_{2} & = & \frac{\frac{1}{\left(a-4\right)\left(a-3\right)\left(a-2\right)\left(a-1\right)}-4\mu\mu_{3}-6\mu^{2}\mu_{2}-\mu^{4}}{\mu_{2}^{2}}-3\end{eqnarray*}

\[ m_{d}=\frac{1}{a+1}\]

\[ h\left[X\right]=a-\left(a+1\right)\Psi\left(a\right)+\log\Gamma\left(a\right).\]

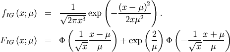
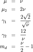
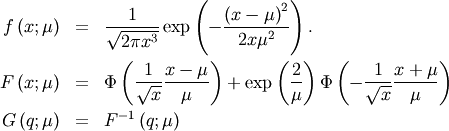
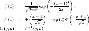
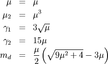
Inverse Normal (Inverse Gaussian)

The standard form involves the shape parameter \mu (in most definitions, L=0.0 is used). (In terms of the regress documentation \mu=A/B ) and B=S and L is not a parameter in that distribution. A standard form is x>0

\begin{eqnarray*} f\left(x;\mu\right) & = & \frac{1}{\sqrt{2\pi x^{3}}}\exp\left(-\frac{\left(x-\mu\right)^{2}}{2x\mu^{2}}\right).\\ F\left(x;\mu\right) & = & \Phi\left(\frac{1}{\sqrt{x}}\frac{x-\mu}{\mu}\right)+\exp\left(\frac{2}{\mu}\right)\Phi\left(-\frac{1}{\sqrt{x}}\frac{x+\mu}{\mu}\right)\\ G\left(q;\mu\right) & = & F^{-1}\left(q;\mu\right)\end{eqnarray*}

\begin{eqnarray*} \mu & = & \mu\\ \mu_{2} & = & \mu^{3}\\ \gamma_{1} & = & 3\sqrt{\mu}\\ \gamma_{2} & = & 15\mu\\ m_{d} & = & \frac{\mu}{2}\left(\sqrt{9\mu^{2}+4}-3\mu\right)\end{eqnarray*}

This is related to the canonical form or JKB “two-parameter “inverse Gaussian when written in it’s full form with scale parameter S and location parameter L by taking L=0 and S\equiv\lambda, then \mu S is equal to \mu_{2} where \mu_{2} is the parameter used by JKB. We prefer this form because of it’s consistent use of the scale parameter. Notice that in JKB the skew \left(\sqrt{\beta_{1}}\right) and the kurtosis ( \beta_{2}-3 ) are both functions only of \mu_{2}/\lambda=\mu S/S=\mu as shown here, while the variance and mean of the standard form here are transformed appropriately.

Inverted Weibull

Shape parameter c>0 and x>0 . Then

\begin{eqnarray*} f\left(x;c\right) & = & cx^{-c-1}\exp\left(-x^{-c}\right)\\ F\left(x;c\right) & = & \exp\left(-x^{-c}\right)\\ G\left(q;c\right) & = & \left(-\log q\right)^{-1/c}\end{eqnarray*}

\[ h\left[X\right]=1+\gamma+\frac{\gamma}{c}-\log\left(c\right)\]

where \gamma is Euler’s constant.

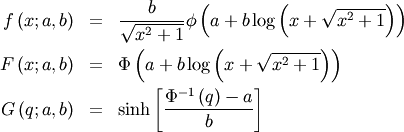
Johnson SB

Defined for x\in\left(0,1\right) with two shape parameters a and b>0.

\begin{eqnarray*} f\left(x;a,b\right) & = & \frac{b}{x\left(1-x\right)}\phi\left(a+b\log\frac{x}{1-x}\right)\\ F\left(x;a,b\right) & = & \Phi\left(a+b\log\frac{x}{1-x}\right)\\ G\left(q;a,b\right) & = & \frac{1}{1+\exp\left[-\frac{1}{b}\left(\Phi^{-1}\left(q\right)-a\right)\right]}\end{eqnarray*}

Johnson SU

Defined for all x with two shape parameters a and b>0 .

\begin{eqnarray*} f\left(x;a,b\right) & = & \frac{b}{\sqrt{x^{2}+1}}\phi\left(a+b\log\left(x+\sqrt{x^{2}+1}\right)\right)\\ F\left(x;a,b\right) & = & \Phi\left(a+b\log\left(x+\sqrt{x^{2}+1}\right)\right)\\ G\left(q;a,b\right) & = & \sinh\left[\frac{\Phi^{-1}\left(q\right)-a}{b}\right]\end{eqnarray*}

KSone

KStwo

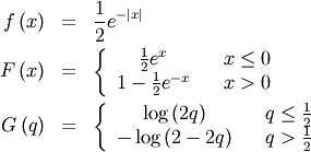
Laplace (Double Exponential, Bilateral Expoooonential)

\begin{eqnarray*} f\left(x\right) & = & \frac{1}{2}e^{-\left|x\right|}\\ F\left(x\right) & = & \left\{ \begin{array}{ccc} \frac{1}{2}e^{x} &  & x\leq0\\ 1-\frac{1}{2}e^{-x} &  & x>0\end{array}\right.\\ G\left(q\right) & = & \left\{ \begin{array}{ccc} \log\left(2q\right) &  & q\leq\frac{1}{2}\\ -\log\left(2-2q\right) &  & q>\frac{1}{2}\end{array}\right.\end{eqnarray*}

\begin{eqnarray*} m_{d}=m_{n}=\mu & = & 0\\ \mu_{2} & = & 2\\ \gamma_{1} & = & 0\\ \gamma_{2} & = & 3\end{eqnarray*}

The ML estimator of the location parameter is

\[ \hat{L}=\textrm{median}\left(X_{i}\right)\]

where X_{i} is a sequence of N mutually independent Laplace RV’s and the median is some number between the \frac{1}{2}N\textrm{th} and the (N/2+1)\textrm{th} order statistic ( e.g. take the average of these two) when N is even. Also,

\[ \hat{S}=\frac{1}{N}\sum_{j=1}^{N}\left|X_{j}-\hat{L}\right|.\]

Replace \hat{L} with L if it is known. If L is known then this estimator is distributed as \left(2N\right)^{-1}S\cdot\chi_{2N}^{2} .

\begin{eqnarray*} h\left[X\right] & = & \log\left(2e\right)\\  & \approx & 1.6931471805599453094.\end{eqnarray*}

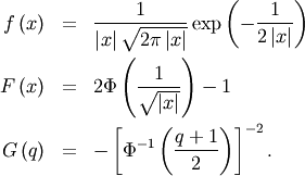
Left-skewed Lévy

Special case of Lévy-stable distribution with \alpha=\frac{1}{2} and \beta=-1 the support is x<0 . In standard form

\begin{eqnarray*} f\left(x\right) & = & \frac{1}{\left|x\right|\sqrt{2\pi\left|x\right|}}\exp\left(-\frac{1}{2\left|x\right|}\right)\\ F\left(x\right) & = & 2\Phi\left(\frac{1}{\sqrt{\left|x\right|}}\right)-1\\ G\left(q\right) & = & -\left[\Phi^{-1}\left(\frac{q+1}{2}\right)\right]^{-2}.\end{eqnarray*}

No moments.

Lévy

A special case of Lévy-stable distributions with \alpha=\frac{1}{2} and \beta=1 . In standard form it is defined for x>0 as

\begin{eqnarray*} f\left(x\right) & = & \frac{1}{x\sqrt{2\pi x}}\exp\left(-\frac{1}{2x}\right)\\ F\left(x\right) & = & 2\left[1-\Phi\left(\frac{1}{\sqrt{x}}\right)\right]\\ G\left(q\right) & = & \left[\Phi^{-1}\left(1-\frac{q}{2}\right)\right]^{-2}.\end{eqnarray*}

It has no finite moments.

Logistic (Sech-squared)

A special case of the Generalized Logistic distribution with c=1. Defined for x>0

\begin{eqnarray*} f\left(x\right) & = & \frac{\exp\left(-x\right)}{\left[1+\exp\left(-x\right)\right]^{2}}\\ F\left(x\right) & = & \frac{1}{1+\exp\left(-x\right)}\\ G\left(q\right) & = & -\log\left(1/q-1\right)\end{eqnarray*}

\begin{eqnarray*} \mu & = & \gamma+\psi_{0}\left(1\right)=0\\ \mu_{2} & = & \frac{\pi^{2}}{6}+\psi_{1}\left(1\right)=\frac{\pi^{2}}{3}\\ \gamma_{1} & = & \frac{\psi_{2}\left(c\right)+2\zeta\left(3\right)}{\mu_{2}^{3/2}}=0\\ \gamma_{2} & = & \frac{\left(\frac{\pi^{4}}{15}+\psi_{3}\left(c\right)\right)}{\mu_{2}^{2}}=\frac{6}{5}\\ m_{d} & = & \log1=0\\ m_{n} & = & -\log\left(2-1\right)=0\end{eqnarray*}

\[ h\left[X\right]=1.\]

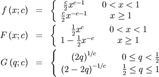
Log Double Exponential (Log-Laplace)

Defined over x>0 with c>0

\begin{eqnarray*} f\left(x;c\right) & = & \left\{ \begin{array}{ccc} \frac{c}{2}x^{c-1} &  & 0<x<1\\ \frac{c}{2}x^{-c-1} &  & x\geq1\end{array}\right.\\ F\left(x;c\right) & = & \left\{ \begin{array}{ccc} \frac{1}{2}x^{c} &  & 0<x<1\\ 1-\frac{1}{2}x^{-c} &  & x\geq1\end{array}\right.\\ G\left(q;c\right) & = & \left\{ \begin{array}{ccc} \left(2q\right)^{1/c} &  & 0\leq q<\frac{1}{2}\\ \left(2-2q\right)^{-1/c} &  & \frac{1}{2}\leq q\leq1\end{array}\right.\end{eqnarray*}

\[ h\left[X\right]=\log\left(\frac{2e}{c}\right)\]

Log Gamma

A single shape parameter c>0 (Defined for all x )

\begin{eqnarray*} f\left(x;c\right) & = & \frac{\exp\left(cx-e^{x}\right)}{\Gamma\left(c\right)}\\ F\left(x;c\right) & = & \frac{\Gamma\left(c,e^{x}\right)}{\Gamma\left(c\right)}\\ G\left(q;c\right) & = & \log\left[\Gamma^{-1}\left[c,q\Gamma\left(c\right)\right]\right]\end{eqnarray*}

\[ \mu_{n}^{\prime}=\int_{0}^{\infty}\left[\log y\right]^{n}y^{c-1}\exp\left(-y\right)dy.\]

\begin{eqnarray*} \mu & = & \mu_{1}^{\prime}\\ \mu_{2} & = & \mu_{2}^{\prime}-\mu^{2}\\ \gamma_{1} & = & \frac{\mu_{3}^{\prime}-3\mu\mu_{2}-\mu^{3}}{\mu_{2}^{3/2}}\\ \gamma_{2} & = & \frac{\mu_{4}^{\prime}-4\mu\mu_{3}-6\mu^{2}\mu_{2}-\mu^{4}}{\mu_{2}^{2}}-3\end{eqnarray*}

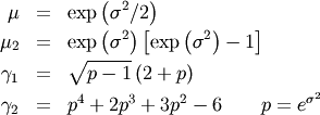
Log Normal (Cobb-Douglass)

Has one shape parameter \sigma >0. (Notice that the “Regress “A=\log S where S is the scale parameter and A is the mean of the underlying normal distribution). The standard form is x>0

\begin{eqnarray*} f\left(x;\sigma\right) & = & \frac{1}{\sigma x\sqrt{2\pi}}\exp\left[-\frac{1}{2}\left(\frac{\log x}{\sigma}\right)^{2}\right]\\ F\left(x;\sigma\right) & = & \Phi\left(\frac{\log x}{\sigma}\right)\\ G\left(q;\sigma\right) & = & \exp\left\{ \sigma\Phi^{-1}\left(q\right)\right\} \end{eqnarray*}

\begin{eqnarray*} \mu & = & \exp\left(\sigma^{2}/2\right)\\ \mu_{2} & = & \exp\left(\sigma^{2}\right)\left[\exp\left(\sigma^{2}\right)-1\right]\\ \gamma_{1} & = & \sqrt{p-1}\left(2+p\right)\\ \gamma_{2} & = & p^{4}+2p^{3}+3p^{2}-6\quad\quad p=e^{\sigma^{2}}\end{eqnarray*}

Notice that using JKB notation we have \theta=L, \zeta=\log S and we have given the so-called antilognormal form of the distribution. This is more consistent with the location, scale parameter description of general probability distributions.

\[ h\left[X\right]=\frac{1}{2}\left[1+\log\left(2\pi\right)+2\log\left(\sigma\right)\right].\]

Also, note that if X is a log-normally distributed random-variable with L=0 and S and shape parameter \sigma. Then, \log X is normally distributed with variance \sigma^{2} and mean \log S.

Nakagami

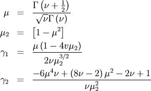
Generalization of the chi distribution. Shape parameter is \nu>0. Defined for x>0.

\begin{eqnarray*} f\left(x;\nu\right) & = & \frac{2\nu^{\nu}}{\Gamma\left(\nu\right)}x^{2\nu-1}\exp\left(-\nu x^{2}\right)\\ F\left(x;\nu\right) & = & \Gamma\left(\nu,\nu x^{2}\right)\\ G\left(q;\nu\right) & = & \sqrt{\frac{1}{\nu}\Gamma^{-1}\left(v,q\right)}\end{eqnarray*}

\begin{eqnarray*} \mu & = & \frac{\Gamma\left(\nu+\frac{1}{2}\right)}{\sqrt{\nu}\Gamma\left(\nu\right)}\\ \mu_{2} & = & \left[1-\mu^{2}\right]\\ \gamma_{1} & = & \frac{\mu\left(1-4v\mu_{2}\right)}{2\nu\mu_{2}^{3/2}}\\ \gamma_{2} & = & \frac{-6\mu^{4}\nu+\left(8\nu-2\right)\mu^{2}-2\nu+1}{\nu\mu_{2}^{2}}\end{eqnarray*}

Noncentral beta*

Defined over x\in\left[0,1\right] with a>0 and b>0 and c\geq0

\[ F\left(x;a,b,c\right)=\sum_{j=0}^{\infty}\frac{e^{-c/2}\left(\frac{c}{2}\right)^{j}}{j!}I_{B}\left(a+j,b;0\right)\]

Noncentral chi*

Noncentral chi-squared

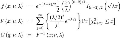
The distribution of \sum_{i=1}^{\nu}\left(Z_{i}+\delta_{i}\right)^{2} where Z_{i} are independent standard normal variables and \delta_{i} are constants. \lambda=\sum_{i=1}^{\nu}\delta_{i}^{2}>0. (In communications it is called the Marcum-Q function). Can be thought of as a Generalized Rayleigh-Rice distribution. For x>0

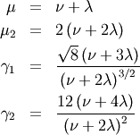
\begin{eqnarray*} f\left(x;\nu,\lambda\right) & = & e^{-\left(\lambda+x\right)/2}\frac{1}{2}\left(\frac{x}{\lambda}\right)^{\left(\nu-2\right)/4}I_{\left(\nu-2\right)/2}\left(\sqrt{\lambda x}\right)\\ F\left(x;\nu,\lambda\right) & = & \sum_{j=0}^{\infty}\left\{ \frac{\left(\lambda/2\right)^{j}}{j!}e^{-\lambda/2}\right\} \textrm{Pr}\left[\chi_{\nu+2j}^{2}\leq x\right]\\ G\left(q;\nu,\lambda\right) & = & F^{-1}\left(x;\nu,\lambda\right)\end{eqnarray*}

\begin{eqnarray*} \mu & = & \nu+\lambda\\ \mu_{2} & = & 2\left(\nu+2\lambda\right)\\ \gamma_{1} & = & \frac{\sqrt{8}\left(\nu+3\lambda\right)}{\left(\nu+2\lambda\right)^{3/2}}\\ \gamma_{2} & = & \frac{12\left(\nu+4\lambda\right)}{\left(\nu+2\lambda\right)^{2}}\end{eqnarray*}

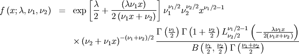
Noncentral F

Let \lambda>0 and \nu_{1}>0 and \nu_{2}>0.

\begin{eqnarray*} f\left(x;\lambda,\nu_{1},\nu_{2}\right) & = & \exp\left[\frac{\lambda}{2}+\frac{\left(\lambda\nu_{1}x\right)}{2\left(\nu_{1}x+\nu_{2}\right)}\right]\nu_{1}^{\nu_{1}/2}\nu_{2}^{\nu_{2}/2}x^{\nu_{1}/2-1}\\  &  & \times\left(\nu_{2}+\nu_{1}x\right)^{-\left(\nu_{1}+\nu_{2}\right)/2}\frac{\Gamma\left(\frac{\nu_{1}}{2}\right)\Gamma\left(1+\frac{\nu_{2}}{2}\right)L_{\nu_{2}/2}^{\nu_{1}/2-1}\left(-\frac{\lambda\nu_{1}x}{2\left(\nu_{1}x+\nu_{2}\right)}\right)}{B\left(\frac{\nu_{1}}{2},\frac{\nu_{2}}{2}\right)\Gamma\left(\frac{\nu_{1}+\nu_{2}}{2}\right)}\end{eqnarray*}

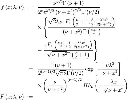
Noncentral t

The distribution of the ratio

\[ \frac{U+\lambda}{\chi_{\nu}/\sqrt{\nu}}\]

where U and \chi_{\nu} are independent and distributed as a standard normal and chi with \nu degrees of freedom. Note \lambda>0 and \nu>0 .

\begin{eqnarray*} f\left(x;\lambda,\nu\right) & = & \frac{\nu^{\nu/2}\Gamma\left(\nu+1\right)}{2^{\nu}e^{\lambda^{2}/2}\left(\nu+x^{2}\right)^{\nu/2}\Gamma\left(\nu/2\right)}\\  &  & \times\left\{ \frac{\sqrt{2}\lambda x\,_{1}F_{1}\left(\frac{\nu}{2}+1;\frac{3}{2};\frac{\lambda^{2}x^{2}}{2\left(\nu+x^{2}\right)}\right)}{\left(\nu+x^{2}\right)\Gamma\left(\frac{\nu+1}{2}\right)}\right.\\  &  & -\left.\frac{\,_{1}F_{1}\left(\frac{\nu+1}{2};\frac{1}{2};\frac{\lambda^{2}x^{2}}{2\left(\nu+x^{2}\right)}\right)}{\sqrt{\nu+x^{2}}\Gamma\left(\frac{\nu}{2}+1\right)}\right\} \\  & = & \frac{\Gamma\left(\nu+1\right)}{2^{\left(\nu-1\right)/2}\sqrt{\pi\nu}\Gamma\left(\nu/2\right)}\exp\left[-\frac{\nu\lambda^{2}}{\nu+x^{2}}\right]\\  &  & \times\left(\frac{\nu}{\nu+x^{2}}\right)^{\left(\nu-1\right)/2}Hh_{\nu}\left(-\frac{\lambda x}{\sqrt{\nu+x^{2}}}\right)\\ F\left(x;\lambda,\nu\right) & =\end{eqnarray*}

Normal

\begin{eqnarray*} f\left(x\right) & = & \frac{e^{-x^{2}/2}}{\sqrt{2\pi}}\\ F\left(x\right) & = & \Phi\left(x\right)=\frac{1}{2}+\frac{1}{2}\textrm{erf}\left(\frac{\textrm{x}}{\sqrt{2}}\right)\\ G\left(q\right) & = & \Phi^{-1}\left(q\right)\end{eqnarray*}

\begin{eqnarray*} m_{d}=m_{n}=\mu & = & 0\\ \mu_{2} & = & 1\\ \gamma_{1} & = & 0\\ \gamma_{2} & = & 0\end{eqnarray*}

\begin{eqnarray*} h\left[X\right] & = & \log\left(\sqrt{2\pi e}\right)\\  & \approx & 1.4189385332046727418\end{eqnarray*}

Maxwell

This is a special case of the Chi distribution with L=0 and S=S=\frac{1}{\sqrt{a}} and \nu=3.

\begin{eqnarray*} f\left(x\right) & = & \sqrt{\frac{2}{\pi}}x^{2}e^{-x^{2}/2}I_{\left(0,\infty\right)}\left(x\right)\\ F\left(x\right) & = & \Gamma\left(\frac{3}{2},\frac{x^{2}}{2}\right)\\ G\left(\alpha\right) & = & \sqrt{2\Gamma^{-1}\left(\frac{3}{2},\alpha\right)}\end{eqnarray*}

\begin{eqnarray*} \mu & = & 2\sqrt{\frac{2}{\pi}}\\ \mu_{2} & = & 3-\frac{8}{\pi}\\ \gamma_{1} & = & \sqrt{2}\frac{32-10\pi}{\left(3\pi-8\right)^{3/2}}\\ \gamma_{2} & = & \frac{-12\pi^{2}+160\pi-384}{\left(3\pi-8\right)^{2}}\\ m_{d} & = & \sqrt{2}\\ m_{n} & = & \sqrt{2\Gamma^{-1}\left(\frac{3}{2},\frac{1}{2}\right)}\end{eqnarray*}

\[ h\left[X\right]=\log\left(\sqrt{\frac{2\pi}{e}}\right)+\gamma.\]

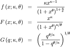
Mielke’s Beta-Kappa

A generalized F distribution. Two shape parameters \kappa and \theta , and x>0 . The \beta in the DATAPLOT reference is a scale parameter.

\begin{eqnarray*} f\left(x;\kappa,\theta\right) & = & \frac{\kappa x^{\kappa-1}}{\left(1+x^{\theta}\right)^{1+\frac{\kappa}{\theta}}}\\ F\left(x;\kappa,\theta\right) & = & \frac{x^{\kappa}}{\left(1+x^{\theta}\right)^{\kappa/\theta}}\\ G\left(q;\kappa,\theta\right) & = & \left(\frac{q^{\theta/\kappa}}{1-q^{\theta/\kappa}}\right)^{1/\theta}\end{eqnarray*}

Pareto

For x\geq1 and b>0 . Standard form is

\begin{eqnarray*} f\left(x;b\right) & = & \frac{b}{x^{b+1}}\\ F\left(x;b\right) & = & 1-\frac{1}{x^{b}}\\ G\left(q;b\right) & = & \left(1-q\right)^{-1/b}\end{eqnarray*}

\begin{eqnarray*} \mu & = & \frac{b}{b-1}\quad b>1\\ \mu_{2} & = & \frac{b}{\left(b-2\right)\left(b-1\right)^{2}}\quad b>2\\ \gamma_{1} & = & \frac{2\left(b+1\right)\sqrt{b-2}}{\left(b-3\right)\sqrt{b}}\quad b>3\\ \gamma_{2} & = & \frac{6\left(b^{3}+b^{2}-6b-2\right)}{b\left(b^{2}-7b+12\right)}\quad b>4\end{eqnarray*}

\[ h\left(X\right)=\frac{1}{c}+1-\log\left(c\right)\]

Pareto Second Kind (Lomax)

c>0. This is Pareto of the first kind with L=-1.0 so x\geq0

\begin{eqnarray*} f\left(x;c\right) & = & \frac{c}{\left(1+x\right)^{c+1}}\\ F\left(x;c\right) & = & 1-\frac{1}{\left(1+x\right)^{c}}\\ G\left(q;c\right) & = & \left(1-q\right)^{-1/c}-1\end{eqnarray*}

\[ h\left[X\right]=\frac{1}{c}+1-\log\left(c\right).\]

Power Log Normal

A generalization of the log-normal distribution \sigma>0 and c>0 and x>0

\begin{eqnarray*} f\left(x;\sigma,c\right) & = & \frac{c}{x\sigma}\phi\left(\frac{\log x}{\sigma}\right)\left(\Phi\left(-\frac{\log x}{\sigma}\right)\right)^{c-1}\\ F\left(x;\sigma,c\right) & = & 1-\left(\Phi\left(-\frac{\log x}{\sigma}\right)\right)^{c}\\ G\left(q;\sigma,c\right) & = & \exp\left[-\sigma\Phi^{-1}\left[\left(1-q\right)^{1/c}\right]\right]\end{eqnarray*}

\[ \mu_{n}^{\prime}=\int_{0}^{1}\exp\left[-n\sigma\Phi^{-1}\left(y^{1/c}\right)\right]dy\]

\begin{eqnarray*} \mu & = & \mu_{1}^{\prime}\\ \mu_{2} & = & \mu_{2}^{\prime}-\mu^{2}\\ \gamma_{1} & = & \frac{\mu_{3}^{\prime}-3\mu\mu_{2}-\mu^{3}}{\mu_{2}^{3/2}}\\ \gamma_{2} & = & \frac{\mu_{4}^{\prime}-4\mu\mu_{3}-6\mu^{2}\mu_{2}-\mu^{4}}{\mu_{2}^{2}}-3\end{eqnarray*}

This distribution reduces to the log-normal distribution when c=1.

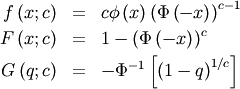
Power Normal

A generalization of the normal distribution, c>0 for

\begin{eqnarray*} f\left(x;c\right) & = & c\phi\left(x\right)\left(\Phi\left(-x\right)\right)^{c-1}\\ F\left(x;c\right) & = & 1-\left(\Phi\left(-x\right)\right)^{c}\\ G\left(q;c\right) & = & -\Phi^{-1}\left[\left(1-q\right)^{1/c}\right]\end{eqnarray*}

\[ \mu_{n}^{\prime}=\left(-1\right)^{n}\int_{0}^{1}\left[\Phi^{-1}\left(y^{1/c}\right)\right]^{n}dy\]

\begin{eqnarray*} \mu & = & \mu_{1}^{\prime}\\ \mu_{2} & = & \mu_{2}^{\prime}-\mu^{2}\\ \gamma_{1} & = & \frac{\mu_{3}^{\prime}-3\mu\mu_{2}-\mu^{3}}{\mu_{2}^{3/2}}\\ \gamma_{2} & = & \frac{\mu_{4}^{\prime}-4\mu\mu_{3}-6\mu^{2}\mu_{2}-\mu^{4}}{\mu_{2}^{2}}-3\end{eqnarray*}

For c=1 this reduces to the normal distribution.

Power-function

A special case of the beta distribution with b=1 : defined for x\in\left[0,1\right]

\[ a>0\]

\begin{eqnarray*} f\left(x;a\right) & = & ax^{a-1}\\ F\left(x;a\right) & = & x^{a}\\ G\left(q;a\right) & = & q^{1/a}\\ \mu & = & \frac{a}{a+1}\\ \mu_{2} & = & \frac{a\left(a+2\right)}{\left(a+1\right)^{2}}\\ \gamma_{1} & = & 2\left(1-a\right)\sqrt{\frac{a+2}{a\left(a+3\right)}}\\ \gamma_{2} & = & \frac{6\left(a^{3}-a^{2}-6a+2\right)}{a\left(a+3\right)\left(a+4\right)}\\ m_{d} & = & 1\end{eqnarray*}

\[ h\left[X\right]=1-\frac{1}{a}-\log\left(a\right)\]

R-distribution

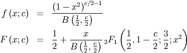
A general-purpose distribution with a variety of shapes controlled by c>0. Range of standard distribution is x\in\left[-1,1\right]

\begin{eqnarray*} f\left(x;c\right) & = & \frac{\left(1-x^{2}\right)^{c/2-1}}{B\left(\frac{1}{2},\frac{c}{2}\right)}\\ F\left(x;c\right) & = & \frac{1}{2}+\frac{x}{B\left(\frac{1}{2},\frac{c}{2}\right)}\,_{2}F_{1}\left(\frac{1}{2},1-\frac{c}{2};\frac{3}{2};x^{2}\right)\end{eqnarray*}

\[ \mu_{n}^{\prime}=\frac{\left(1+\left(-1\right)^{n}\right)}{2}B\left(\frac{n+1}{2},\frac{c}{2}\right)\]

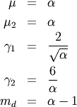
The R-distribution with parameter n is the distribution of the correlation coefficient of a random sample of size n drawn from a bivariate normal distribution with \rho=0. The mean of the standard distribution is always zero and as the sample size grows, the distribution’s mass concentrates more closely about this mean.

Rayleigh

This is Chi distribution with L=0.0 and \nu=2 and S=S (no location parameter is generally used), the mode of the distribution is S.

\begin{eqnarray*} f\left(r\right) & = & re^{-r^{2}/2}I_{[0,\infty)}\left(x\right)\\ F\left(r\right) & = & 1-e^{-r^{2}/2}I_{[0,\infty)}\left(x\right)\\ G\left(q\right) & = & \sqrt{-2\log\left(1-q\right)}\end{eqnarray*}

\begin{eqnarray*} \mu & = & \sqrt{\frac{\pi}{2}}\\ \mu_{2} & = & \frac{4-\pi}{2}\\ \gamma_{1} & = & \frac{2\left(\pi-3\right)\sqrt{\pi}}{\left(4-\pi\right)^{3/2}}\\ \gamma_{2} & = & \frac{24\pi-6\pi^{2}-16}{\left(4-\pi\right)^{2}}\\ m_{d} & = & 1\\ m_{n} & = & \sqrt{2\log\left(2\right)}\end{eqnarray*}

\[ h\left[X\right]=\frac{\gamma}{2}+\log\left(\frac{e}{\sqrt{2}}\right).\]

\[ \mu_{n}^{\prime}=\sqrt{2^{n}}\Gamma\left(\frac{n}{2}+1\right)\]

Rice*

Defined for x>0 and b>0

\begin{eqnarray*} f\left(x;b\right) & = & x\exp\left(-\frac{x^{2}+b^{2}}{2}\right)I_{0}\left(xb\right)\\ F\left(x;b\right) & = & \int_{0}^{x}\alpha\exp\left(-\frac{\alpha^{2}+b^{2}}{2}\right)I_{0}\left(\alpha b\right)d\alpha\end{eqnarray*}

\[ \mu_{n}^{\prime}=\sqrt{2^{n}}\Gamma\left(1+\frac{n}{2}\right)\,_{1}F_{1}\left(-\frac{n}{2};1;-\frac{b^{2}}{2}\right)\]

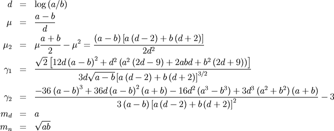
Reciprocal

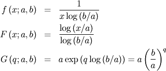
Shape parameters a,b>0 x\in\left[a,b\right]

\begin{eqnarray*} f\left(x;a,b\right) & = & \frac{1}{x\log\left(b/a\right)}\\ F\left(x;a,b\right) & = & \frac{\log\left(x/a\right)}{\log\left(b/a\right)}\\ G\left(q;a,b\right) & = & a\exp\left(q\log\left(b/a\right)\right)=a\left(\frac{b}{a}\right)^{q}\end{eqnarray*}

\begin{eqnarray*} d & = & \log\left(a/b\right)\\ \mu & = & \frac{a-b}{d}\\ \mu_{2} & = & \mu\frac{a+b}{2}-\mu^{2}=\frac{\left(a-b\right)\left[a\left(d-2\right)+b\left(d+2\right)\right]}{2d^{2}}\\ \gamma_{1} & = & \frac{\sqrt{2}\left[12d\left(a-b\right)^{2}+d^{2}\left(a^{2}\left(2d-9\right)+2abd+b^{2}\left(2d+9\right)\right)\right]}{3d\sqrt{a-b}\left[a\left(d-2\right)+b\left(d+2\right)\right]^{3/2}}\\ \gamma_{2} & = & \frac{-36\left(a-b\right)^{3}+36d\left(a-b\right)^{2}\left(a+b\right)-16d^{2}\left(a^{3}-b^{3}\right)+3d^{3}\left(a^{2}+b^{2}\right)\left(a+b\right)}{3\left(a-b\right)\left[a\left(d-2\right)+b\left(d+2\right)\right]^{2}}-3\\ m_{d} & = & a\\ m_{n} & = & \sqrt{ab}\end{eqnarray*}

\[ h\left[X\right]=\frac{1}{2}\log\left(ab\right)+\log\left[\log\left(\frac{b}{a}\right)\right].\]

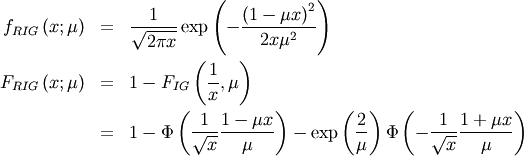
Reciprocal Inverse Gaussian

The pdf is found from the inverse gaussian (IG), f_{RIG}\left(x;\mu\right)=\frac{1}{x^{2}}f_{IG}\left(\frac{1}{x};\mu\right) defined for x\geq0 as

\begin{eqnarray*} f_{IG}\left(x;\mu\right) & = & \frac{1}{\sqrt{2\pi x^{3}}}\exp\left(-\frac{\left(x-\mu\right)^{2}}{2x\mu^{2}}\right).\\ F_{IG}\left(x;\mu\right) & = & \Phi\left(\frac{1}{\sqrt{x}}\frac{x-\mu}{\mu}\right)+\exp\left(\frac{2}{\mu}\right)\Phi\left(-\frac{1}{\sqrt{x}}\frac{x+\mu}{\mu}\right)\end{eqnarray*}

\begin{eqnarray*} f_{RIG}\left(x;\mu\right) & = & \frac{1}{\sqrt{2\pi x}}\exp\left(-\frac{\left(1-\mu x\right)^{2}}{2x\mu^{2}}\right)\\ F_{RIG}\left(x;\mu\right) & = & 1-F_{IG}\left(\frac{1}{x},\mu\right)\\  & = & 1-\Phi\left(\frac{1}{\sqrt{x}}\frac{1-\mu x}{\mu}\right)-\exp\left(\frac{2}{\mu}\right)\Phi\left(-\frac{1}{\sqrt{x}}\frac{1+\mu x}{\mu}\right)\end{eqnarray*}

Semicircular

Defined on x\in\left[-1,1\right]

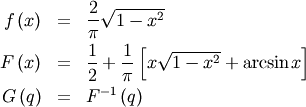
\begin{eqnarray*} f\left(x\right) & = & \frac{2}{\pi}\sqrt{1-x^{2}}\\ F\left(x\right) & = & \frac{1}{2}+\frac{1}{\pi}\left[x\sqrt{1-x^{2}}+\arcsin x\right]\\ G\left(q\right) & = & F^{-1}\left(q\right)\end{eqnarray*}

\begin{eqnarray*} m_{d}=m_{n}=\mu & = & 0\\ \mu_{2} & = & \frac{1}{4}\\ \gamma_{1} & = & 0\\ \gamma_{2} & = & -1\end{eqnarray*}

\[ h\left[X\right]=0.64472988584940017414.\]

Studentized Range*

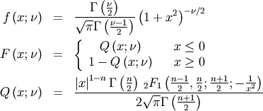
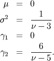
Student t

Shape parameter \nu>0. I\left(a,b,x\right) is the incomplete beta integral and I^{-1}\left(a,b,I\left(a,b,x\right)\right)=x

\begin{eqnarray*} f\left(x;\nu\right) & = & \frac{\Gamma\left(\frac{\nu+1}{2}\right)}{\sqrt{\pi\nu}\Gamma\left(\frac{\nu}{2}\right)\left[1+\frac{x^{2}}{\nu}\right]^{\frac{\nu+1}{2}}}\\ F\left(x;\nu\right) & = & \left\{ \begin{array}{ccc} \frac{1}{2}I\left(\frac{\nu}{2},\frac{1}{2},\frac{\nu}{\nu+x^{2}}\right) &  & x\leq0\\ 1-\frac{1}{2}I\left(\frac{\nu}{2},\frac{1}{2},\frac{\nu}{\nu+x^{2}}\right) &  & x\geq0\end{array}\right.\\ G\left(q;\nu\right) & = & \left\{ \begin{array}{ccc} -\sqrt{\frac{\nu}{I^{-1}\left(\frac{\nu}{2},\frac{1}{2},2q\right)}-\nu} &  & q\leq\frac{1}{2}\\ \sqrt{\frac{\nu}{I^{-1}\left(\frac{\nu}{2},\frac{1}{2},2-2q\right)}-\nu} &  & q\geq\frac{1}{2}\end{array}\right.\end{eqnarray*}

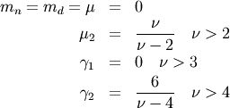
\begin{eqnarray*} m_{n}=m_{d}=\mu & = & 0\\ \mu_{2} & = & \frac{\nu}{\nu-2}\quad\nu>2\\ \gamma_{1} & = & 0\quad\nu>3\\ \gamma_{2} & = & \frac{6}{\nu-4}\quad\nu>4\end{eqnarray*}

As \nu\rightarrow\infty, this distribution approaches the standard normal distribution.

\[ h\left[X\right]=\frac{1}{4}\log\left(\frac{\pi c\Gamma^{2}\left(\frac{c}{2}\right)}{\Gamma^{2}\left(\frac{c+1}{2}\right)}\right)-\frac{\left(c+1\right)}{4}\left[\Psi\left(\frac{c}{2}\right)-cZ\left(c\right)+\pi\tan\left(\frac{\pi c}{2}\right)+\gamma+2\log2\right]\]

where

\[ Z\left(c\right)=\,_{3}F_{2}\left(1,1,1+\frac{c}{2};\frac{3}{2},2;1\right)=\sum_{k=0}^{\infty}\frac{k!}{k+1}\frac{\Gamma\left(\frac{c}{2}+1+k\right)}{\Gamma\left(\frac{c}{2}+1\right)}\frac{\Gamma\left(\frac{3}{2}\right)}{\Gamma\left(\frac{3}{2}+k\right)}\]

Student Z

The student Z distriubtion is defined over all space with one shape parameter \nu>0

\begin{eqnarray*} f\left(x;\nu\right) & = & \frac{\Gamma\left(\frac{\nu}{2}\right)}{\sqrt{\pi}\Gamma\left(\frac{\nu-1}{2}\right)}\left(1+x^{2}\right)^{-\nu/2}\\ F\left(x;\nu\right) & = & \left\{ \begin{array}{ccc} Q\left(x;\nu\right) &  & x\leq0\\ 1-Q\left(x;\nu\right) &  & x\geq0\end{array}\right.\\ Q\left(x;\nu\right) & = & \frac{\left|x\right|^{1-n}\Gamma\left(\frac{n}{2}\right)\,_{2}F_{1}\left(\frac{n-1}{2},\frac{n}{2};\frac{n+1}{2};-\frac{1}{x^{2}}\right)}{2\sqrt{\pi}\Gamma\left(\frac{n+1}{2}\right)}\end{eqnarray*}

Interesting moments are

\begin{eqnarray*} \mu & = & 0\\ \sigma^{2} & = & \frac{1}{\nu-3}\\ \gamma_{1} & = & 0\\ \gamma_{2} & = & \frac{6}{\nu-5}.\end{eqnarray*}

The moment generating function is

\[ \theta\left(t\right)=2\sqrt{\left|\frac{t}{2}\right|^{\nu-1}}\frac{K_{\left(n-1\right)/2}\left(\left|t\right|\right)}{\Gamma\left(\frac{\nu-1}{2}\right)}.\]

Symmetric Power*

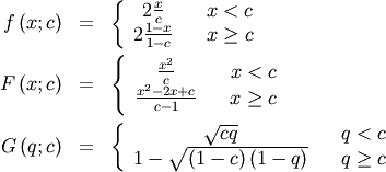
Triangular

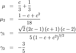
One shape parameter c\in[0,1] giving the distance to the peak as a percentage of the total extent of the non-zero portion. The location parameter is the start of the non- zero portion, and the scale-parameter is the width of the non-zero portion. In standard form we have x\in\left[0,1\right].

\begin{eqnarray*} f\left(x;c\right) & = & \left\{ \begin{array}{ccc} 2\frac{x}{c} &  & x<c\\ 2\frac{1-x}{1-c} &  & x\geq c\end{array}\right.\\ F\left(x;c\right) & = & \left\{ \begin{array}{ccc} \frac{x^{2}}{c} &  & x<c\\ \frac{x^{2}-2x+c}{c-1} &  & x\geq c\end{array}\right.\\ G\left(q;c\right) & = & \left\{ \begin{array}{ccc} \sqrt{cq} &  & q<c\\ 1-\sqrt{\left(1-c\right)\left(1-q\right)} &  & q\geq c\end{array}\right.\end{eqnarray*}

\begin{eqnarray*} \mu & = & \frac{c}{3}+\frac{1}{3}\\ \mu_{2} & = & \frac{1-c+c^{2}}{18}\\ \gamma_{1} & = & \frac{\sqrt{2}\left(2c-1\right)\left(c+1\right)\left(c-2\right)}{5\left(1-c+c^{2}\right)^{3/2}}\\ \gamma_{2} & = & -\frac{3}{5}\end{eqnarray*}

\begin{eqnarray*} h\left(X\right) & = & \log\left(\frac{1}{2}\sqrt{e}\right)\\  & \approx & -0.19314718055994530942.\end{eqnarray*}

Truncated Exponential

This is an exponential distribution defined only over a certain region 0<x<B . In standard form this is

\begin{eqnarray*} f\left(x;B\right) & = & \frac{e^{-x}}{1-e^{-B}}\\ F\left(x;B\right) & = & \frac{1-e^{-x}}{1-e^{-B}}\\ G\left(q;B\right) & = & -\log\left(1-q+qe^{-B}\right)\end{eqnarray*}

\[ \mu_{n}^{\prime}=\Gamma\left(1+n\right)-\Gamma\left(1+n,B\right)\]

\[ h\left[X\right]=\log\left(e^{B}-1\right)+\frac{1+e^{B}\left(B-1\right)}{1-e^{B}}.\]

Truncated Normal

A normal distribution restricted to lie within a certain range given by two parameters A and B . Notice that this A and B correspond to the bounds on x in standard form. For x\in\left[A,B\right] we get

\begin{eqnarray*} f\left(x;A,B\right) & = & \frac{\phi\left(x\right)}{\Phi\left(B\right)-\Phi\left(A\right)}\\ F\left(x;A,B\right) & = & \frac{\Phi\left(x\right)-\Phi\left(A\right)}{\Phi\left(B\right)-\Phi\left(A\right)}\\ G\left(q;A,B\right) & = & \Phi^{-1}\left[q\Phi\left(B\right)+\Phi\left(A\right)\left(1-q\right)\right]\end{eqnarray*}

where

\begin{eqnarray*} \phi\left(x\right) & = & \frac{1}{\sqrt{2\pi}}e^{-x^{2}/2}\\ \Phi\left(x\right) & = & \int_{-\infty}^{x}\phi\left(u\right)du.\end{eqnarray*}

\begin{eqnarray*} \mu & = & \frac{\phi\left(A\right)-\phi\left(B\right)}{\Phi\left(B\right)-\Phi\left(A\right)}\\ \mu_{2} & = & 1+\frac{A\phi\left(A\right)-B\phi\left(B\right)}{\Phi\left(B\right)-\Phi\left(A\right)}-\left(\frac{\phi\left(A\right)-\phi\left(B\right)}{\Phi\left(B\right)-\Phi\left(A\right)}\right)^{2}\end{eqnarray*}

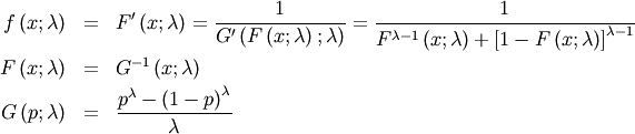
Tukey-Lambda

\begin{eqnarray*} f\left(x;\lambda\right) & = & F^{\prime}\left(x;\lambda\right)=\frac{1}{G^{\prime}\left(F\left(x;\lambda\right);\lambda\right)}=\frac{1}{F^{\lambda-1}\left(x;\lambda\right)+\left[1-F\left(x;\lambda\right)\right]^{\lambda-1}}\\ F\left(x;\lambda\right) & = & G^{-1}\left(x;\lambda\right)\\ G\left(p;\lambda\right) & = & \frac{p^{\lambda}-\left(1-p\right)^{\lambda}}{\lambda}\end{eqnarray*}

\begin{eqnarray*} \mu & = & 0\\ \mu_{2} & = & \int_{0}^{1}G^{2}\left(p;\lambda\right)dp\\  & = & \frac{2\Gamma\left(\lambda+\frac{3}{2}\right)-\lambda4^{-\lambda}\sqrt{\pi}\Gamma\left(\lambda\right)\left(1-2\lambda\right)}{\lambda^{2}\left(1+2\lambda\right)\Gamma\left(\lambda+\frac{3}{2}\right)}\\ \gamma_{1} & = & 0\\ \gamma_{2} & = & \frac{\mu_{4}}{\mu_{2}^{2}}-3\\ \mu_{4} & = & \frac{3\Gamma\left(\lambda\right)\Gamma\left(\lambda+\frac{1}{2}\right)2^{-2\lambda}}{\lambda^{3}\Gamma\left(2\lambda+\frac{3}{2}\right)}+\frac{2}{\lambda^{4}\left(1+4\lambda\right)}\\  &  & -\frac{2\sqrt{3}\Gamma\left(\lambda\right)2^{-6\lambda}3^{3\lambda}\Gamma\left(\lambda+\frac{1}{3}\right)\Gamma\left(\lambda+\frac{2}{3}\right)}{\lambda^{3}\Gamma\left(2\lambda+\frac{3}{2}\right)\Gamma\left(\lambda+\frac{1}{2}\right)}.\end{eqnarray*}

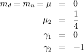
Notice that the \lim_{\lambda\rightarrow0}G\left(p;\lambda\right)=\log\left(p/\left(1-p\right)\right)

\begin{eqnarray*} h\left[X\right] & = & \int_{0}^{1}\log\left[G^{\prime}\left(p\right)\right]dp\\  & = & \int_{0}^{1}\log\left[p^{\lambda-1}+\left(1-p\right)^{\lambda-1}\right]dp.\end{eqnarray*}

Uniform

Standard form x\in\left(0,1\right). In general form, the lower limit is L, the upper limit is S+L.

\begin{eqnarray*} f\left(x\right) & = & 1\\ F\left(x\right) & = & x\\ G\left(q\right) & = & q\end{eqnarray*}

\begin{eqnarray*} \mu & = & \frac{1}{2}\\ \mu_{2} & = & \frac{1}{12}\\ \gamma_{1} & = & 0\\ \gamma_{2} & = & -\frac{6}{5}\end{eqnarray*}

\[ h\left[X\right]=0\]

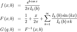
Von Mises

Defined for x\in\left[-\pi,\pi\right] with shape parameter b>0 . Note, the PDF and CDF functions are periodic and are always defined over x\in\left[-\pi,\pi\right] regardless of the location parameter. Thus, if an input beyond this range is given, it is converted to the equivalent angle in this range. For values of b<100 the PDF and CDF formulas below are used. Otherwise, a normal approximation with variance 1/b is used.

\begin{eqnarray*} f\left(x;b\right) & = & \frac{e^{b\cos x}}{2\pi I_{0}\left(b\right)}\\ F\left(x;b\right) & = & \frac{1}{2}+\frac{x}{2\pi}+\sum_{k=1}^{\infty}\frac{I_{k}\left(b\right)\sin\left(kx\right)}{I_{0}\left(b\right)\pi k}\\ G\left(q;b\right) & = & F^{-1}\left(x;b\right)\end{eqnarray*}

\begin{eqnarray*} \mu & = & 0\\ \mu_{2} & = & \int_{-\pi}^{\pi}x^{2}f\left(x;b\right)dx\\ \gamma_{1} & = & 0\\ \gamma_{2} & = & \frac{\int_{-\pi}^{\pi}x^{4}f\left(x;b\right)dx}{\mu_{2}^{2}}-3\end{eqnarray*}

This can be used for defining circular variance.

Wald

Special case of the Inverse Normal with shape parameter set to 1.0 . Defined for x>0 .

\begin{eqnarray*} f\left(x\right) & = & \frac{1}{\sqrt{2\pi x^{3}}}\exp\left(-\frac{\left(x-1\right)^{2}}{2x}\right).\\ F\left(x\right) & = & \Phi\left(\frac{x-1}{\sqrt{x}}\right)+\exp\left(2\right)\Phi\left(-\frac{x+1}{\sqrt{x}}\right)\\ G\left(q;\mu\right) & = & F^{-1}\left(q;\mu\right)\end{eqnarray*}

\begin{eqnarray*} \mu & = & 1\\ \mu_{2} & = & 1\\ \gamma_{1} & = & 3\\ \gamma_{2} & = & 15\\ m_{d} & = & \frac{1}{2}\left(\sqrt{13}-3\right)\end{eqnarray*}

Wishart*

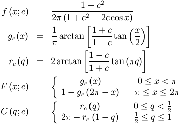
Wrapped Cauchy

For x\in\left[0,2\pi\right] c\in\left(0,1\right)

\begin{eqnarray*} f\left(x;c\right) & = & \frac{1-c^{2}}{2\pi\left(1+c^{2}-2c\cos x\right)}\\ g_{c}\left(x\right) & = & \frac{1}{\pi}\arctan\left[\frac{1+c}{1-c}\tan\left(\frac{x}{2}\right)\right]\\ r_{c}\left(q\right) & = & 2\arctan\left[\frac{1-c}{1+c}\tan\left(\pi q\right)\right]\\ F\left(x;c\right) & = & \left\{ \begin{array}{ccc} g_{c}\left(x\right) &  & 0\leq x<\pi\\ 1-g_{c}\left(2\pi-x\right) &  & \pi\leq x\leq2\pi\end{array}\right.\\ G\left(q;c\right) & = & \left\{ \begin{array}{ccc} r_{c}\left(q\right) &  & 0\leq q<\frac{1}{2}\\ 2\pi-r_{c}\left(1-q\right) &  & \frac{1}{2}\leq q\leq1\end{array}\right.\end{eqnarray*}

\[ \]

\[ h\left[X\right]=\log\left(2\pi\left(1-c^{2}\right)\right).\]

Table Of Contents

This Page