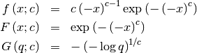
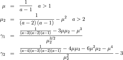
All distributions will have location (L) and Scale (S) parameters
along with any shape parameters needed, the names for the shape
parameters will vary. Standard form for the distributions will be
given where
and
The nonstandard forms can be obtained for the various functions using
(note
is a standard uniform random variate).
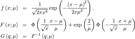
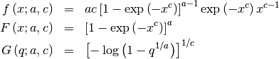
| Function Name | Standard Function | Transformation |
|---|---|---|
| Cumulative Distribution Function (CDF) | ![]() |
![]() |
| Probability Density Function (PDF) | ![]() |
![]() |
| Percent Point Function (PPF) | ![]() |
![]() |
| Probability Sparsity Function (PSF) | ![]() |
![]() |
| Hazard Function (HF) | ![]() |
![]() |
| Cumulative Hazard Functon (CHF) | ![]() |
![]() |
| Survival Function (SF) | ![]() |
![]() |
| Inverse Survival Function (ISF) | ![]() |
![]() |
| Moment Generating Function (MGF) | ![]() |
![]() |
| Random Variates | ![]() |
![]() |
| (Differential) Entropy | ![]() |
![]() |
| (Non-central) Moments | ![]() |
![]() |
| Central Moments | ![]() |
![]() |
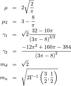
| mean (mode, median), var | ![]() |
![]() |
| skewness, kurtosis | ![]() |
![]() |
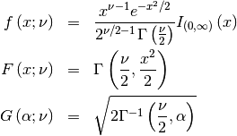
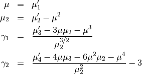
Non-central moments are defined using the PDF
System Message: WARNING/2 ( \mu_{n}^{\prime}=\int_{-\infty}^{\infty}x^{n}f\left(x\right)dx.)
latex exited with error: [stderr] [stdout] This is pdfTeX, Version 3.1415926-2.4-1.40.13 (TeX Live 2012/Debian) restricted \write18 enabled. entering extended mode (./math.tex LaTeX2e <2011/06/27> Babel <v3.8m> and hyphenation patterns for english, dumylang, nohyphenation, lo aded. (/usr/share/texlive/texmf-dist/tex/latex/base/article.cls Document Class: article 2007/10/19 v1.4h Standard LaTeX document class (/usr/share/texlive/texmf-dist/tex/latex/base/size12.clo)) (/usr/share/texlive/texmf-dist/tex/latex/base/inputenc.sty (/usr/share/texlive/texmf-dist/tex/latex/ucs/utf8x.def)) (/usr/share/texlive/texmf-dist/tex/latex/ucs/ucs.sty (/usr/share/texlive/texmf-dist/tex/latex/ucs/data/uni-global.def)) (/usr/share/texlive/texmf-dist/tex/latex/amsmath/amsmath.sty For additional information on amsmath, use the `?’ option. (/usr/share/texlive/texmf-dist/tex/latex/amsmath/amstext.sty (/usr/share/texlive/texmf-dist/tex/latex/amsmath/amsgen.sty)) (/usr/share/texlive/texmf-dist/tex/latex/amsmath/amsbsy.sty) (/usr/share/texlive/texmf-dist/tex/latex/amsmath/amsopn.sty)) (/usr/share/texlive/texmf-dist/tex/latex/amscls/amsthm.sty) (/usr/share/texlive/texmf-dist/tex/latex/amsfonts/amssymb.sty (/usr/share/texlive/texmf-dist/tex/latex/amsfonts/amsfonts.sty)) (/usr/share/texlive/texmf-dist/tex/latex/tools/bm.sty) (/usr/share/texmf/tex/latex/preview/preview.sty) (./math.aux) (/usr/share/texlive/texmf-dist/tex/latex/ucs/ucsencs.def) Preview: Fontsize 12pt ! Missing $ inserted. <inserted text> $ l.14 \mu _{n}^{\prime}=\int_{-\infty}^{\infty}x^{n}f\left(x\right)dx. (/usr/share/texlive/texmf-dist/tex/latex/amsfonts/umsa.fd) (/usr/share/texlive/texmf-dist/tex/latex/amsfonts/umsb.fd) ! Missing $ inserted. <inserted text> $ l.15 \end{preview} [1] (./math.aux) ) (see the transcript file for additional information) Output written on math.dvi (1 page, 460 bytes). Transcript written on math.log.Note, that these can always be computed using the PPF. Substitute
in the above equation and get
System Message: WARNING/2 ( \mu_{n}^{\prime}=\int_{0}^{1}G^{n}\left(q\right)dq)
latex exited with error: [stderr] [stdout] This is pdfTeX, Version 3.1415926-2.4-1.40.13 (TeX Live 2012/Debian) restricted \write18 enabled. entering extended mode (./math.tex LaTeX2e <2011/06/27> Babel <v3.8m> and hyphenation patterns for english, dumylang, nohyphenation, lo aded. (/usr/share/texlive/texmf-dist/tex/latex/base/article.cls Document Class: article 2007/10/19 v1.4h Standard LaTeX document class (/usr/share/texlive/texmf-dist/tex/latex/base/size12.clo)) (/usr/share/texlive/texmf-dist/tex/latex/base/inputenc.sty (/usr/share/texlive/texmf-dist/tex/latex/ucs/utf8x.def)) (/usr/share/texlive/texmf-dist/tex/latex/ucs/ucs.sty (/usr/share/texlive/texmf-dist/tex/latex/ucs/data/uni-global.def)) (/usr/share/texlive/texmf-dist/tex/latex/amsmath/amsmath.sty For additional information on amsmath, use the `?’ option. (/usr/share/texlive/texmf-dist/tex/latex/amsmath/amstext.sty (/usr/share/texlive/texmf-dist/tex/latex/amsmath/amsgen.sty)) (/usr/share/texlive/texmf-dist/tex/latex/amsmath/amsbsy.sty) (/usr/share/texlive/texmf-dist/tex/latex/amsmath/amsopn.sty)) (/usr/share/texlive/texmf-dist/tex/latex/amscls/amsthm.sty) (/usr/share/texlive/texmf-dist/tex/latex/amsfonts/amssymb.sty (/usr/share/texlive/texmf-dist/tex/latex/amsfonts/amsfonts.sty)) (/usr/share/texlive/texmf-dist/tex/latex/tools/bm.sty) (/usr/share/texmf/tex/latex/preview/preview.sty) (./math.aux) (/usr/share/texlive/texmf-dist/tex/latex/ucs/ucsencs.def) Preview: Fontsize 12pt ! Missing $ inserted. <inserted text> $ l.14 \mu _{n}^{\prime}=\int_{0}^{1}G^{n}\left(q\right)dq (/usr/share/texlive/texmf-dist/tex/latex/amsfonts/umsa.fd) (/usr/share/texlive/texmf-dist/tex/latex/amsfonts/umsb.fd) ! Missing $ inserted. <inserted text> $ l.15 \end{preview} [1] (./math.aux) ) (see the transcript file for additional information) Output written on math.dvi (1 page, 492 bytes). Transcript written on math.log.which may be easier to compute numerically. Note that
so that
Central moments are computed similarly 

In particular

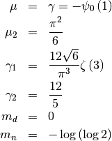
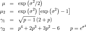
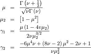
Skewness is defined as
System Message: WARNING/2 ( \gamma_{1}=\sqrt{\beta_{1}}=\frac{\mu_{3}}{\mu_{2}^{3/2}})
latex exited with error: [stderr] [stdout] This is pdfTeX, Version 3.1415926-2.4-1.40.13 (TeX Live 2012/Debian) restricted \write18 enabled. entering extended mode (./math.tex LaTeX2e <2011/06/27> Babel <v3.8m> and hyphenation patterns for english, dumylang, nohyphenation, lo aded. (/usr/share/texlive/texmf-dist/tex/latex/base/article.cls Document Class: article 2007/10/19 v1.4h Standard LaTeX document class (/usr/share/texlive/texmf-dist/tex/latex/base/size12.clo)) (/usr/share/texlive/texmf-dist/tex/latex/base/inputenc.sty (/usr/share/texlive/texmf-dist/tex/latex/ucs/utf8x.def)) (/usr/share/texlive/texmf-dist/tex/latex/ucs/ucs.sty (/usr/share/texlive/texmf-dist/tex/latex/ucs/data/uni-global.def)) (/usr/share/texlive/texmf-dist/tex/latex/amsmath/amsmath.sty For additional information on amsmath, use the `?’ option. (/usr/share/texlive/texmf-dist/tex/latex/amsmath/amstext.sty (/usr/share/texlive/texmf-dist/tex/latex/amsmath/amsgen.sty)) (/usr/share/texlive/texmf-dist/tex/latex/amsmath/amsbsy.sty) (/usr/share/texlive/texmf-dist/tex/latex/amsmath/amsopn.sty)) (/usr/share/texlive/texmf-dist/tex/latex/amscls/amsthm.sty) (/usr/share/texlive/texmf-dist/tex/latex/amsfonts/amssymb.sty (/usr/share/texlive/texmf-dist/tex/latex/amsfonts/amsfonts.sty)) (/usr/share/texlive/texmf-dist/tex/latex/tools/bm.sty) (/usr/share/texmf/tex/latex/preview/preview.sty) (./math.aux) (/usr/share/texlive/texmf-dist/tex/latex/ucs/ucsencs.def) Preview: Fontsize 12pt ! Missing $ inserted. <inserted text> $ l.14 \gamma _{1}=\sqrt{\beta_{1}}=\frac{\mu_{3}}{\mu_{2}^{3/2}} (/usr/share/texlive/texmf-dist/tex/latex/amsfonts/umsa.fd) (/usr/share/texlive/texmf-dist/tex/latex/amsfonts/umsb.fd) ! Missing $ inserted. <inserted text> $ l.15 \end{preview} [1] (./math.aux) ) (see the transcript file for additional information) Output written on math.dvi (1 page, 568 bytes). Transcript written on math.log.while (Fisher) kurtosis is
System Message: WARNING/2 ( \gamma_{2}=\frac{\mu_{4}}{\mu_{2}^{2}}-3,)
latex exited with error: [stderr] [stdout] This is pdfTeX, Version 3.1415926-2.4-1.40.13 (TeX Live 2012/Debian) restricted \write18 enabled. entering extended mode (./math.tex LaTeX2e <2011/06/27> Babel <v3.8m> and hyphenation patterns for english, dumylang, nohyphenation, lo aded. (/usr/share/texlive/texmf-dist/tex/latex/base/article.cls Document Class: article 2007/10/19 v1.4h Standard LaTeX document class (/usr/share/texlive/texmf-dist/tex/latex/base/size12.clo)) (/usr/share/texlive/texmf-dist/tex/latex/base/inputenc.sty (/usr/share/texlive/texmf-dist/tex/latex/ucs/utf8x.def)) (/usr/share/texlive/texmf-dist/tex/latex/ucs/ucs.sty (/usr/share/texlive/texmf-dist/tex/latex/ucs/data/uni-global.def)) (/usr/share/texlive/texmf-dist/tex/latex/amsmath/amsmath.sty For additional information on amsmath, use the `?’ option. (/usr/share/texlive/texmf-dist/tex/latex/amsmath/amstext.sty (/usr/share/texlive/texmf-dist/tex/latex/amsmath/amsgen.sty)) (/usr/share/texlive/texmf-dist/tex/latex/amsmath/amsbsy.sty) (/usr/share/texlive/texmf-dist/tex/latex/amsmath/amsopn.sty)) (/usr/share/texlive/texmf-dist/tex/latex/amscls/amsthm.sty) (/usr/share/texlive/texmf-dist/tex/latex/amsfonts/amssymb.sty (/usr/share/texlive/texmf-dist/tex/latex/amsfonts/amsfonts.sty)) (/usr/share/texlive/texmf-dist/tex/latex/tools/bm.sty) (/usr/share/texmf/tex/latex/preview/preview.sty) (./math.aux) (/usr/share/texlive/texmf-dist/tex/latex/ucs/ucsencs.def) Preview: Fontsize 12pt ! Missing $ inserted. <inserted text> $ l.14 \gamma _{2}=\frac{\mu_{4}}{\mu_{2}^{2}}-3, (/usr/share/texlive/texmf-dist/tex/latex/amsfonts/umsa.fd) (/usr/share/texlive/texmf-dist/tex/latex/amsfonts/umsb.fd) ! Missing $ inserted. <inserted text> $ l.15 \end{preview} [1] (./math.aux) ) (see the transcript file for additional information) Output written on math.dvi (1 page, 484 bytes). Transcript written on math.log.so that a normal distribution has a kurtosis of zero.
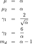
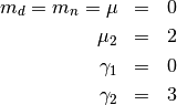
The median,
is defined as the point at which half of the density is on one side
and half on the other. In other words,
so that
System Message: WARNING/2 ( m_{n}=G\left(\frac{1}{2}\right).)
latex exited with error: [stderr] [stdout] This is pdfTeX, Version 3.1415926-2.4-1.40.13 (TeX Live 2012/Debian) restricted \write18 enabled. entering extended mode (./math.tex LaTeX2e <2011/06/27> Babel <v3.8m> and hyphenation patterns for english, dumylang, nohyphenation, lo aded. (/usr/share/texlive/texmf-dist/tex/latex/base/article.cls Document Class: article 2007/10/19 v1.4h Standard LaTeX document class (/usr/share/texlive/texmf-dist/tex/latex/base/size12.clo)) (/usr/share/texlive/texmf-dist/tex/latex/base/inputenc.sty (/usr/share/texlive/texmf-dist/tex/latex/ucs/utf8x.def)) (/usr/share/texlive/texmf-dist/tex/latex/ucs/ucs.sty (/usr/share/texlive/texmf-dist/tex/latex/ucs/data/uni-global.def)) (/usr/share/texlive/texmf-dist/tex/latex/amsmath/amsmath.sty For additional information on amsmath, use the `?’ option. (/usr/share/texlive/texmf-dist/tex/latex/amsmath/amstext.sty (/usr/share/texlive/texmf-dist/tex/latex/amsmath/amsgen.sty)) (/usr/share/texlive/texmf-dist/tex/latex/amsmath/amsbsy.sty) (/usr/share/texlive/texmf-dist/tex/latex/amsmath/amsopn.sty)) (/usr/share/texlive/texmf-dist/tex/latex/amscls/amsthm.sty) (/usr/share/texlive/texmf-dist/tex/latex/amsfonts/amssymb.sty (/usr/share/texlive/texmf-dist/tex/latex/amsfonts/amsfonts.sty)) (/usr/share/texlive/texmf-dist/tex/latex/tools/bm.sty) (/usr/share/texmf/tex/latex/preview/preview.sty) (./math.aux) (/usr/share/texlive/texmf-dist/tex/latex/ucs/ucsencs.def) Preview: Fontsize 12pt ! Missing $ inserted. <inserted text> $ l.14 m_ {n}=G\left(\frac{1}{2}\right). (/usr/share/texlive/texmf-dist/tex/latex/amsfonts/umsa.fd) (/usr/share/texlive/texmf-dist/tex/latex/amsfonts/umsb.fd) ! Missing $ inserted. <inserted text> $ l.15 \end{preview} [1] (./math.aux) ) (see the transcript file for additional information) Output written on math.dvi (1 page, 440 bytes). Transcript written on math.log.In addition, the mode,
, is defined as the value for which the probability density function
reaches it’s peak
System Message: WARNING/2 ( m_{d}=\arg\max_{x}f\left(x\right).)
latex exited with error: [stderr] [stdout] This is pdfTeX, Version 3.1415926-2.4-1.40.13 (TeX Live 2012/Debian) restricted \write18 enabled. entering extended mode (./math.tex LaTeX2e <2011/06/27> Babel <v3.8m> and hyphenation patterns for english, dumylang, nohyphenation, lo aded. (/usr/share/texlive/texmf-dist/tex/latex/base/article.cls Document Class: article 2007/10/19 v1.4h Standard LaTeX document class (/usr/share/texlive/texmf-dist/tex/latex/base/size12.clo)) (/usr/share/texlive/texmf-dist/tex/latex/base/inputenc.sty (/usr/share/texlive/texmf-dist/tex/latex/ucs/utf8x.def)) (/usr/share/texlive/texmf-dist/tex/latex/ucs/ucs.sty (/usr/share/texlive/texmf-dist/tex/latex/ucs/data/uni-global.def)) (/usr/share/texlive/texmf-dist/tex/latex/amsmath/amsmath.sty For additional information on amsmath, use the `?’ option. (/usr/share/texlive/texmf-dist/tex/latex/amsmath/amstext.sty (/usr/share/texlive/texmf-dist/tex/latex/amsmath/amsgen.sty)) (/usr/share/texlive/texmf-dist/tex/latex/amsmath/amsbsy.sty) (/usr/share/texlive/texmf-dist/tex/latex/amsmath/amsopn.sty)) (/usr/share/texlive/texmf-dist/tex/latex/amscls/amsthm.sty) (/usr/share/texlive/texmf-dist/tex/latex/amsfonts/amssymb.sty (/usr/share/texlive/texmf-dist/tex/latex/amsfonts/amsfonts.sty)) (/usr/share/texlive/texmf-dist/tex/latex/tools/bm.sty) (/usr/share/texmf/tex/latex/preview/preview.sty) (./math.aux) (/usr/share/texlive/texmf-dist/tex/latex/ucs/ucsencs.def) Preview: Fontsize 12pt ! Missing $ inserted. <inserted text> $ l.14 m_ {d}=\arg\max_{x}f\left(x\right). (/usr/share/texlive/texmf-dist/tex/latex/amsfonts/umsa.fd) (/usr/share/texlive/texmf-dist/tex/latex/amsfonts/umsb.fd) ! Missing $ inserted. <inserted text> $ l.15 \end{preview} [1] (./math.aux) ) (see the transcript file for additional information) Output written on math.dvi (1 page, 340 bytes). Transcript written on math.log.To fit data to a distribution, maximizing the likelihood function is common. Alternatively, some distributions have well-known minimum variance unbiased estimators. These will be chosen by default, but the likelihood function will always be available for minimizing.
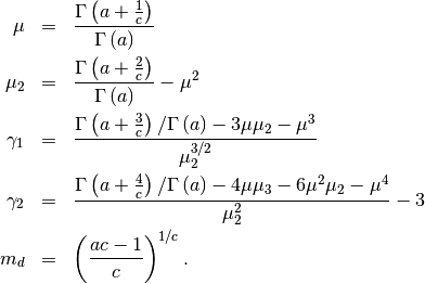
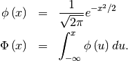
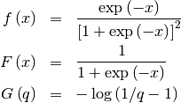
If
is the PDF of a random-variable where
is a vector of parameters ( e.g.
and
), then for a collection of
independent samples from this distribution, the joint distribution the
random vector
is
System Message: WARNING/2 ( f\left(\mathbf{x};\boldsymbol{\theta}\right)=\prod_{i=1}^{N}f\left(x_{i};\boldsymbol{\theta}\right).)
latex exited with error: [stderr] [stdout] This is pdfTeX, Version 3.1415926-2.4-1.40.13 (TeX Live 2012/Debian) restricted \write18 enabled. entering extended mode (./math.tex LaTeX2e <2011/06/27> Babel <v3.8m> and hyphenation patterns for english, dumylang, nohyphenation, lo aded. (/usr/share/texlive/texmf-dist/tex/latex/base/article.cls Document Class: article 2007/10/19 v1.4h Standard LaTeX document class (/usr/share/texlive/texmf-dist/tex/latex/base/size12.clo)) (/usr/share/texlive/texmf-dist/tex/latex/base/inputenc.sty (/usr/share/texlive/texmf-dist/tex/latex/ucs/utf8x.def)) (/usr/share/texlive/texmf-dist/tex/latex/ucs/ucs.sty (/usr/share/texlive/texmf-dist/tex/latex/ucs/data/uni-global.def)) (/usr/share/texlive/texmf-dist/tex/latex/amsmath/amsmath.sty For additional information on amsmath, use the `?’ option. (/usr/share/texlive/texmf-dist/tex/latex/amsmath/amstext.sty (/usr/share/texlive/texmf-dist/tex/latex/amsmath/amsgen.sty)) (/usr/share/texlive/texmf-dist/tex/latex/amsmath/amsbsy.sty) (/usr/share/texlive/texmf-dist/tex/latex/amsmath/amsopn.sty)) (/usr/share/texlive/texmf-dist/tex/latex/amscls/amsthm.sty) (/usr/share/texlive/texmf-dist/tex/latex/amsfonts/amssymb.sty (/usr/share/texlive/texmf-dist/tex/latex/amsfonts/amsfonts.sty)) (/usr/share/texlive/texmf-dist/tex/latex/tools/bm.sty) (/usr/share/texmf/tex/latex/preview/preview.sty) (./math.aux) (/usr/share/texlive/texmf-dist/tex/latex/ucs/ucsencs.def) Preview: Fontsize 12pt ! Missing $ inserted. <inserted text> $ l.14 f\left (\mathbf{x};\boldsymbol{\theta}\right)=\prod_{i=1}^{N}f\left(x_... (/usr/share/texlive/texmf-dist/tex/latex/amsfonts/umsa.fd) (/usr/share/texlive/texmf-dist/tex/latex/amsfonts/umsb.fd) ! Missing $ inserted. <inserted text> $ l.15 \end{preview} [1] (./math.aux) ) (see the transcript file for additional information) Output written on math.dvi (1 page, 564 bytes). Transcript written on math.log.The maximum likelihood estimate of the parameters
are the parameters which maximize this function with
fixed and given by the data:

Where

Note that if
includes only shape parameters, the location and scale-parameters can
be fit by replacing
with
in the log-likelihood function adding
and minimizing, thus

If desired, sample estimates for
and
(not necessarily maximum likelihood estimates) can be obtained from
samples estimates of the mean and variance using

where
and
are assumed known as the mean and variance of the untransformed distribution (when
and
) and

We will use
System Message: WARNING/2 ( \overline{y\left(\mathbf{x}\right)}=\frac{1}{N}\sum_{i=1}^{N}y\left(x_{i}\right))
latex exited with error: [stderr] [stdout] This is pdfTeX, Version 3.1415926-2.4-1.40.13 (TeX Live 2012/Debian) restricted \write18 enabled. entering extended mode (./math.tex LaTeX2e <2011/06/27> Babel <v3.8m> and hyphenation patterns for english, dumylang, nohyphenation, lo aded. (/usr/share/texlive/texmf-dist/tex/latex/base/article.cls Document Class: article 2007/10/19 v1.4h Standard LaTeX document class (/usr/share/texlive/texmf-dist/tex/latex/base/size12.clo)) (/usr/share/texlive/texmf-dist/tex/latex/base/inputenc.sty (/usr/share/texlive/texmf-dist/tex/latex/ucs/utf8x.def)) (/usr/share/texlive/texmf-dist/tex/latex/ucs/ucs.sty (/usr/share/texlive/texmf-dist/tex/latex/ucs/data/uni-global.def)) (/usr/share/texlive/texmf-dist/tex/latex/amsmath/amsmath.sty For additional information on amsmath, use the `?’ option. (/usr/share/texlive/texmf-dist/tex/latex/amsmath/amstext.sty (/usr/share/texlive/texmf-dist/tex/latex/amsmath/amsgen.sty)) (/usr/share/texlive/texmf-dist/tex/latex/amsmath/amsbsy.sty) (/usr/share/texlive/texmf-dist/tex/latex/amsmath/amsopn.sty)) (/usr/share/texlive/texmf-dist/tex/latex/amscls/amsthm.sty) (/usr/share/texlive/texmf-dist/tex/latex/amsfonts/amssymb.sty (/usr/share/texlive/texmf-dist/tex/latex/amsfonts/amsfonts.sty)) (/usr/share/texlive/texmf-dist/tex/latex/tools/bm.sty) (/usr/share/texmf/tex/latex/preview/preview.sty) (./math.aux) (/usr/share/texlive/texmf-dist/tex/latex/ucs/ucsencs.def) Preview: Fontsize 12pt ! Missing $ inserted. <inserted text> $ l.14 \overline{y\left(\mathbf{x}\right)} =\frac{1}{N}\sum_{i=1}^{N}y\left(x_... (/usr/share/texlive/texmf-dist/tex/latex/amsfonts/umsa.fd) (/usr/share/texlive/texmf-dist/tex/latex/amsfonts/umsb.fd) ! Missing $ inserted. <inserted text> $ l.15 \end{preview} [1] (./math.aux) ) (see the transcript file for additional information) Output written on math.dvi (1 page, 556 bytes). Transcript written on math.log.where
should be clear from context as the number of samples 
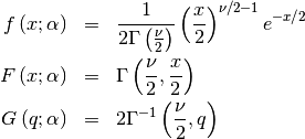
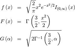
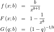
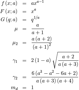
One shape parameters
(paramter
in DATAPLOT is a scale-parameter). Standard form is 
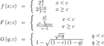
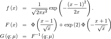
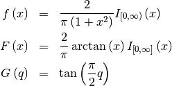
![\begin{eqnarray*} f\left(x;\alpha\right) & = & \frac{1}{x^{2}\Phi\left(\alpha\right)\sqrt{2\pi}}\exp\left(-\frac{1}{2}\left(\alpha-\frac{1}{x}\right)^{2}\right)\\ F\left(x;\alpha\right) & = & \frac{\Phi\left(\alpha-\frac{1}{x}\right)}{\Phi\left(\alpha\right)}\\ G\left(q;\alpha\right) & = & \left[\alpha-\Phi^{-1}\left(q\Phi\left(\alpha\right)\right)\right]^{-1}\end{eqnarray*}](../../_images/math/ef708cb0aeac51b3afc3a3051b612906e014cbfb.png)
System Message: WARNING/2 ( M\left(t\right)=\frac{1}{\Phi\left(a\right)\sqrt{2\pi}}\int_{0}^{\infty}\frac{e^{xt}}{x^{2}}\exp\left(-\frac{1}{2}\left(\alpha-\frac{1}{x}\right)^{2}\right)dx)
latex exited with error: [stderr] [stdout] This is pdfTeX, Version 3.1415926-2.4-1.40.13 (TeX Live 2012/Debian) restricted \write18 enabled. entering extended mode (./math.tex LaTeX2e <2011/06/27> Babel <v3.8m> and hyphenation patterns for english, dumylang, nohyphenation, lo aded. (/usr/share/texlive/texmf-dist/tex/latex/base/article.cls Document Class: article 2007/10/19 v1.4h Standard LaTeX document class (/usr/share/texlive/texmf-dist/tex/latex/base/size12.clo)) (/usr/share/texlive/texmf-dist/tex/latex/base/inputenc.sty (/usr/share/texlive/texmf-dist/tex/latex/ucs/utf8x.def)) (/usr/share/texlive/texmf-dist/tex/latex/ucs/ucs.sty (/usr/share/texlive/texmf-dist/tex/latex/ucs/data/uni-global.def)) (/usr/share/texlive/texmf-dist/tex/latex/amsmath/amsmath.sty For additional information on amsmath, use the `?’ option. (/usr/share/texlive/texmf-dist/tex/latex/amsmath/amstext.sty (/usr/share/texlive/texmf-dist/tex/latex/amsmath/amsgen.sty)) (/usr/share/texlive/texmf-dist/tex/latex/amsmath/amsbsy.sty) (/usr/share/texlive/texmf-dist/tex/latex/amsmath/amsopn.sty)) (/usr/share/texlive/texmf-dist/tex/latex/amscls/amsthm.sty) (/usr/share/texlive/texmf-dist/tex/latex/amsfonts/amssymb.sty (/usr/share/texlive/texmf-dist/tex/latex/amsfonts/amsfonts.sty)) (/usr/share/texlive/texmf-dist/tex/latex/tools/bm.sty) (/usr/share/texmf/tex/latex/preview/preview.sty) (./math.aux) (/usr/share/texlive/texmf-dist/tex/latex/ucs/ucsencs.def) Preview: Fontsize 12pt ! Missing $ inserted. <inserted text> $ l.14 M\left (t\right)=\frac{1}{\Phi\left(a\right)\sqrt{2\pi}}\int_{0}^{\inf... (/usr/share/texlive/texmf-dist/tex/latex/amsfonts/umsa.fd) (/usr/share/texlive/texmf-dist/tex/latex/amsfonts/umsb.fd) ! Missing $ inserted. <inserted text> $ l.15 \end{preview} [1] (./math.aux) ) (see the transcript file for additional information) Output written on math.dvi (1 page, 920 bytes). Transcript written on math.log.No moments?
System Message: WARNING/2 ( l_{\mathbf{x}}\left(\alpha\right)=N\log\left[\Phi\left(\alpha\right)\sqrt{2\pi}\right]+2N\overline{\log\mathbf{x}}+\frac{N}{2}\alpha^{2}-\alpha\overline{\mathbf{x}^{-1}}+\frac{1}{2}\overline{\mathbf{x}^{-2}})
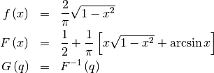
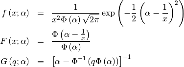
latex exited with error: [stderr] [stdout] This is pdfTeX, Version 3.1415926-2.4-1.40.13 (TeX Live 2012/Debian) restricted \write18 enabled. entering extended mode (./math.tex LaTeX2e <2011/06/27> Babel <v3.8m> and hyphenation patterns for english, dumylang, nohyphenation, lo aded. (/usr/share/texlive/texmf-dist/tex/latex/base/article.cls Document Class: article 2007/10/19 v1.4h Standard LaTeX document class (/usr/share/texlive/texmf-dist/tex/latex/base/size12.clo)) (/usr/share/texlive/texmf-dist/tex/latex/base/inputenc.sty (/usr/share/texlive/texmf-dist/tex/latex/ucs/utf8x.def)) (/usr/share/texlive/texmf-dist/tex/latex/ucs/ucs.sty (/usr/share/texlive/texmf-dist/tex/latex/ucs/data/uni-global.def)) (/usr/share/texlive/texmf-dist/tex/latex/amsmath/amsmath.sty For additional information on amsmath, use the `?’ option. (/usr/share/texlive/texmf-dist/tex/latex/amsmath/amstext.sty (/usr/share/texlive/texmf-dist/tex/latex/amsmath/amsgen.sty)) (/usr/share/texlive/texmf-dist/tex/latex/amsmath/amsbsy.sty) (/usr/share/texlive/texmf-dist/tex/latex/amsmath/amsopn.sty)) (/usr/share/texlive/texmf-dist/tex/latex/amscls/amsthm.sty) (/usr/share/texlive/texmf-dist/tex/latex/amsfonts/amssymb.sty (/usr/share/texlive/texmf-dist/tex/latex/amsfonts/amsfonts.sty)) (/usr/share/texlive/texmf-dist/tex/latex/tools/bm.sty) (/usr/share/texmf/tex/latex/preview/preview.sty) (./math.aux) (/usr/share/texlive/texmf-dist/tex/latex/ucs/ucsencs.def) Preview: Fontsize 12pt ! Missing $ inserted. <inserted text> $ l.14 l_ {\mathbf{x}}\left(\alpha\right)=N\log\left[\Phi\left(\alpha\right)\... (/usr/share/texlive/texmf-dist/tex/latex/amsfonts/umsa.fd) (/usr/share/texlive/texmf-dist/tex/latex/amsfonts/umsb.fd) ! Missing $ inserted. <inserted text> $ l.15 \end{preview} [1] (./math.aux) ) (see the transcript file for additional information) Output written on math.dvi (1 page, 916 bytes). Transcript written on math.log.Defined over ![x\in\left[-\frac{\pi}{4},\frac{\pi}{4}\right]](../../_images/math/da8b9f46752351bf4d22349ae1e09c3078f8abc3.png)


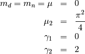
![\begin{eqnarray*} h\left[X\right] & = & 1-\log2\\ & \approx & 0.30685281944005469058\end{eqnarray*}](../../_images/math/85881ff7966a0fab8eed910406a466e9c9d2e6b6.png)

System Message: WARNING/2 ( l_{\mathbf{x}}\left(\cdot\right)=-N\overline{\log\left[\cos\left(2\mathbf{x}\right)\right]})
latex exited with error: [stderr] [stdout] This is pdfTeX, Version 3.1415926-2.4-1.40.13 (TeX Live 2012/Debian) restricted \write18 enabled. entering extended mode (./math.tex LaTeX2e <2011/06/27> Babel <v3.8m> and hyphenation patterns for english, dumylang, nohyphenation, lo aded. (/usr/share/texlive/texmf-dist/tex/latex/base/article.cls Document Class: article 2007/10/19 v1.4h Standard LaTeX document class (/usr/share/texlive/texmf-dist/tex/latex/base/size12.clo)) (/usr/share/texlive/texmf-dist/tex/latex/base/inputenc.sty (/usr/share/texlive/texmf-dist/tex/latex/ucs/utf8x.def)) (/usr/share/texlive/texmf-dist/tex/latex/ucs/ucs.sty (/usr/share/texlive/texmf-dist/tex/latex/ucs/data/uni-global.def)) (/usr/share/texlive/texmf-dist/tex/latex/amsmath/amsmath.sty For additional information on amsmath, use the `?’ option. (/usr/share/texlive/texmf-dist/tex/latex/amsmath/amstext.sty (/usr/share/texlive/texmf-dist/tex/latex/amsmath/amsgen.sty)) (/usr/share/texlive/texmf-dist/tex/latex/amsmath/amsbsy.sty) (/usr/share/texlive/texmf-dist/tex/latex/amsmath/amsopn.sty)) (/usr/share/texlive/texmf-dist/tex/latex/amscls/amsthm.sty) (/usr/share/texlive/texmf-dist/tex/latex/amsfonts/amssymb.sty (/usr/share/texlive/texmf-dist/tex/latex/amsfonts/amsfonts.sty)) (/usr/share/texlive/texmf-dist/tex/latex/tools/bm.sty) (/usr/share/texmf/tex/latex/preview/preview.sty) (./math.aux) (/usr/share/texlive/texmf-dist/tex/latex/ucs/ucsencs.def) Preview: Fontsize 12pt ! Missing $ inserted. <inserted text> $ l.14 l_ {\mathbf{x}}\left(\cdot\right)=-N\overline{\log\left[\cos\left(2\ma... (/usr/share/texlive/texmf-dist/tex/latex/amsfonts/umsa.fd) (/usr/share/texlive/texmf-dist/tex/latex/amsfonts/umsb.fd) ! Missing $ inserted. <inserted text> $ l.15 \end{preview} [1] (./math.aux) ) (see the transcript file for additional information) Output written on math.dvi (1 page, 468 bytes). Transcript written on math.log.Defined over
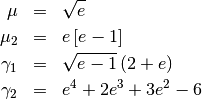
. To get the JKB definition put
i.e.
and 

System Message: WARNING/2 ( M\left(t\right)=E^{t/2}I_{0}\left(\frac{t}{2}\right))
latex exited with error: [stderr] [stdout] This is pdfTeX, Version 3.1415926-2.4-1.40.13 (TeX Live 2012/Debian) restricted \write18 enabled. entering extended mode (./math.tex LaTeX2e <2011/06/27> Babel <v3.8m> and hyphenation patterns for english, dumylang, nohyphenation, lo aded. (/usr/share/texlive/texmf-dist/tex/latex/base/article.cls Document Class: article 2007/10/19 v1.4h Standard LaTeX document class (/usr/share/texlive/texmf-dist/tex/latex/base/size12.clo)) (/usr/share/texlive/texmf-dist/tex/latex/base/inputenc.sty (/usr/share/texlive/texmf-dist/tex/latex/ucs/utf8x.def)) (/usr/share/texlive/texmf-dist/tex/latex/ucs/ucs.sty (/usr/share/texlive/texmf-dist/tex/latex/ucs/data/uni-global.def)) (/usr/share/texlive/texmf-dist/tex/latex/amsmath/amsmath.sty For additional information on amsmath, use the `?’ option. (/usr/share/texlive/texmf-dist/tex/latex/amsmath/amstext.sty (/usr/share/texlive/texmf-dist/tex/latex/amsmath/amsgen.sty)) (/usr/share/texlive/texmf-dist/tex/latex/amsmath/amsbsy.sty) (/usr/share/texlive/texmf-dist/tex/latex/amsmath/amsopn.sty)) (/usr/share/texlive/texmf-dist/tex/latex/amscls/amsthm.sty) (/usr/share/texlive/texmf-dist/tex/latex/amsfonts/amssymb.sty (/usr/share/texlive/texmf-dist/tex/latex/amsfonts/amsfonts.sty)) (/usr/share/texlive/texmf-dist/tex/latex/tools/bm.sty) (/usr/share/texmf/tex/latex/preview/preview.sty) (./math.aux) (/usr/share/texlive/texmf-dist/tex/latex/ucs/ucsencs.def) Preview: Fontsize 12pt ! Missing $ inserted. <inserted text> $ l.14 M\left (t\right)=E^{t/2}I_{0}\left(\frac{t}{2}\right) (/usr/share/texlive/texmf-dist/tex/latex/amsfonts/umsa.fd) (/usr/share/texlive/texmf-dist/tex/latex/amsfonts/umsb.fd) ! Missing $ inserted. <inserted text> $ l.15 \end{preview} [1] (./math.aux) ) (see the transcript file for additional information) Output written on math.dvi (1 page, 472 bytes). Transcript written on math.log.

System Message: WARNING/2 ( h\left[X\right]\approx-0.24156447527049044468)
latex exited with error: [stderr] [stdout] This is pdfTeX, Version 3.1415926-2.4-1.40.13 (TeX Live 2012/Debian) restricted \write18 enabled. entering extended mode (./math.tex LaTeX2e <2011/06/27> Babel <v3.8m> and hyphenation patterns for english, dumylang, nohyphenation, lo aded. (/usr/share/texlive/texmf-dist/tex/latex/base/article.cls Document Class: article 2007/10/19 v1.4h Standard LaTeX document class (/usr/share/texlive/texmf-dist/tex/latex/base/size12.clo)) (/usr/share/texlive/texmf-dist/tex/latex/base/inputenc.sty (/usr/share/texlive/texmf-dist/tex/latex/ucs/utf8x.def)) (/usr/share/texlive/texmf-dist/tex/latex/ucs/ucs.sty (/usr/share/texlive/texmf-dist/tex/latex/ucs/data/uni-global.def)) (/usr/share/texlive/texmf-dist/tex/latex/amsmath/amsmath.sty For additional information on amsmath, use the `?’ option. (/usr/share/texlive/texmf-dist/tex/latex/amsmath/amstext.sty (/usr/share/texlive/texmf-dist/tex/latex/amsmath/amsgen.sty)) (/usr/share/texlive/texmf-dist/tex/latex/amsmath/amsbsy.sty) (/usr/share/texlive/texmf-dist/tex/latex/amsmath/amsopn.sty)) (/usr/share/texlive/texmf-dist/tex/latex/amscls/amsthm.sty) (/usr/share/texlive/texmf-dist/tex/latex/amsfonts/amssymb.sty (/usr/share/texlive/texmf-dist/tex/latex/amsfonts/amsfonts.sty)) (/usr/share/texlive/texmf-dist/tex/latex/tools/bm.sty) (/usr/share/texmf/tex/latex/preview/preview.sty) (./math.aux) (/usr/share/texlive/texmf-dist/tex/latex/ucs/ucsencs.def) Preview: Fontsize 12pt ! Missing $ inserted. <inserted text> $ l.14 h\left [X\right]\approx-0.24156447527049044468 (/usr/share/texlive/texmf-dist/tex/latex/amsfonts/umsa.fd) (/usr/share/texlive/texmf-dist/tex/latex/amsfonts/umsb.fd) ! Missing $ inserted. <inserted text> $ l.15 \end{preview} [1] (./math.aux) ) (see the transcript file for additional information) Output written on math.dvi (1 page, 320 bytes). Transcript written on math.log.System Message: WARNING/2 ( l_{\mathbf{x}}\left(\cdot\right)=N\log\pi+\frac{N}{2}\overline{\log\mathbf{x}}+\frac{N}{2}\overline{\log\left(1-\mathbf{x}\right)})
latex exited with error: [stderr] [stdout] This is pdfTeX, Version 3.1415926-2.4-1.40.13 (TeX Live 2012/Debian) restricted \write18 enabled. entering extended mode (./math.tex LaTeX2e <2011/06/27> Babel <v3.8m> and hyphenation patterns for english, dumylang, nohyphenation, lo aded. (/usr/share/texlive/texmf-dist/tex/latex/base/article.cls Document Class: article 2007/10/19 v1.4h Standard LaTeX document class (/usr/share/texlive/texmf-dist/tex/latex/base/size12.clo)) (/usr/share/texlive/texmf-dist/tex/latex/base/inputenc.sty (/usr/share/texlive/texmf-dist/tex/latex/ucs/utf8x.def)) (/usr/share/texlive/texmf-dist/tex/latex/ucs/ucs.sty (/usr/share/texlive/texmf-dist/tex/latex/ucs/data/uni-global.def)) (/usr/share/texlive/texmf-dist/tex/latex/amsmath/amsmath.sty For additional information on amsmath, use the `?’ option. (/usr/share/texlive/texmf-dist/tex/latex/amsmath/amstext.sty (/usr/share/texlive/texmf-dist/tex/latex/amsmath/amsgen.sty)) (/usr/share/texlive/texmf-dist/tex/latex/amsmath/amsbsy.sty) (/usr/share/texlive/texmf-dist/tex/latex/amsmath/amsopn.sty)) (/usr/share/texlive/texmf-dist/tex/latex/amscls/amsthm.sty) (/usr/share/texlive/texmf-dist/tex/latex/amsfonts/amssymb.sty (/usr/share/texlive/texmf-dist/tex/latex/amsfonts/amsfonts.sty)) (/usr/share/texlive/texmf-dist/tex/latex/tools/bm.sty) (/usr/share/texmf/tex/latex/preview/preview.sty) (./math.aux) (/usr/share/texlive/texmf-dist/tex/latex/ucs/ucsencs.def) Preview: Fontsize 12pt ! Missing $ inserted. <inserted text> $ l.14 l_ {\mathbf{x}}\left(\cdot\right)=N\log\pi+\frac{N}{2}\overline{\log\m... (/usr/share/texlive/texmf-dist/tex/latex/amsfonts/umsa.fd) (/usr/share/texlive/texmf-dist/tex/latex/amsfonts/umsb.fd) ! Missing $ inserted. <inserted text> $ l.15 \end{preview} [1] (./math.aux) ) (see the transcript file for additional information) Output written on math.dvi (1 page, 688 bytes). Transcript written on math.log.Two shape parameters


is also called the Power-function distribution.
System Message: WARNING/2 ( l_{\mathbf{x}}\left(a,b\right)=-N\log\Gamma\left(a+b\right)+N\log\Gamma\left(a\right)+N\log\Gamma\left(b\right)-N\left(a-1\right)\overline{\log\mathbf{x}}-N\left(b-1\right)\overline{\log\left(1-\mathbf{x}\right)})
latex exited with error: [stderr] [stdout] This is pdfTeX, Version 3.1415926-2.4-1.40.13 (TeX Live 2012/Debian) restricted \write18 enabled. entering extended mode (./math.tex LaTeX2e <2011/06/27> Babel <v3.8m> and hyphenation patterns for english, dumylang, nohyphenation, lo aded. (/usr/share/texlive/texmf-dist/tex/latex/base/article.cls Document Class: article 2007/10/19 v1.4h Standard LaTeX document class (/usr/share/texlive/texmf-dist/tex/latex/base/size12.clo)) (/usr/share/texlive/texmf-dist/tex/latex/base/inputenc.sty (/usr/share/texlive/texmf-dist/tex/latex/ucs/utf8x.def)) (/usr/share/texlive/texmf-dist/tex/latex/ucs/ucs.sty (/usr/share/texlive/texmf-dist/tex/latex/ucs/data/uni-global.def)) (/usr/share/texlive/texmf-dist/tex/latex/amsmath/amsmath.sty For additional information on amsmath, use the `?’ option. (/usr/share/texlive/texmf-dist/tex/latex/amsmath/amstext.sty (/usr/share/texlive/texmf-dist/tex/latex/amsmath/amsgen.sty)) (/usr/share/texlive/texmf-dist/tex/latex/amsmath/amsbsy.sty) (/usr/share/texlive/texmf-dist/tex/latex/amsmath/amsopn.sty)) (/usr/share/texlive/texmf-dist/tex/latex/amscls/amsthm.sty) (/usr/share/texlive/texmf-dist/tex/latex/amsfonts/amssymb.sty (/usr/share/texlive/texmf-dist/tex/latex/amsfonts/amsfonts.sty)) (/usr/share/texlive/texmf-dist/tex/latex/tools/bm.sty) (/usr/share/texmf/tex/latex/preview/preview.sty) (./math.aux) (/usr/share/texlive/texmf-dist/tex/latex/ucs/ucsencs.def) Preview: Fontsize 12pt ! Missing $ inserted. <inserted text> $ l.14 l_ {\mathbf{x}}\left(a,b\right)=-N\log\Gamma\left(a+b\right)+N\log\Gam... (/usr/share/texlive/texmf-dist/tex/latex/amsfonts/umsa.fd) (/usr/share/texlive/texmf-dist/tex/latex/amsfonts/umsb.fd) ! Missing $ inserted. <inserted text> $ l.15 \end{preview} [1] (./math.aux) ) (see the transcript file for additional information) Output written on math.dvi (1 page, 700 bytes). Transcript written on math.log.All of the ![x_{i}\in\left[0,1\right]](../../_images/math/0a4f47f73d1935e0d4833668e1eb5dd5a16bb074.png)
Defined over
(Note the CDF evaluation uses Eq. 3.194.1 on pg. 313 of Gradshteyn &
Ryzhik (sixth edition).

System Message: WARNING/2 ( \mu_{n}^{\prime}=\left\{ \begin{array}{ccc} \frac{\Gamma\left(n+\alpha\right)\Gamma\left(\beta-n\right)}{\Gamma\left(\alpha\right)\Gamma\left(\beta\right)}=\frac{\left(\alpha\right)_{n}}{\left(\beta-n\right)_{n}} & & \beta>n\\ \infty & & \textrm{otherwise}\end{array}\right.)
latex exited with error: [stderr] [stdout] This is pdfTeX, Version 3.1415926-2.4-1.40.13 (TeX Live 2012/Debian) restricted \write18 enabled. entering extended mode (./math.tex LaTeX2e <2011/06/27> Babel <v3.8m> and hyphenation patterns for english, dumylang, nohyphenation, lo aded. (/usr/share/texlive/texmf-dist/tex/latex/base/article.cls Document Class: article 2007/10/19 v1.4h Standard LaTeX document class (/usr/share/texlive/texmf-dist/tex/latex/base/size12.clo)) (/usr/share/texlive/texmf-dist/tex/latex/base/inputenc.sty (/usr/share/texlive/texmf-dist/tex/latex/ucs/utf8x.def)) (/usr/share/texlive/texmf-dist/tex/latex/ucs/ucs.sty (/usr/share/texlive/texmf-dist/tex/latex/ucs/data/uni-global.def)) (/usr/share/texlive/texmf-dist/tex/latex/amsmath/amsmath.sty For additional information on amsmath, use the `?’ option. (/usr/share/texlive/texmf-dist/tex/latex/amsmath/amstext.sty (/usr/share/texlive/texmf-dist/tex/latex/amsmath/amsgen.sty)) (/usr/share/texlive/texmf-dist/tex/latex/amsmath/amsbsy.sty) (/usr/share/texlive/texmf-dist/tex/latex/amsmath/amsopn.sty)) (/usr/share/texlive/texmf-dist/tex/latex/amscls/amsthm.sty) (/usr/share/texlive/texmf-dist/tex/latex/amsfonts/amssymb.sty (/usr/share/texlive/texmf-dist/tex/latex/amsfonts/amsfonts.sty)) (/usr/share/texlive/texmf-dist/tex/latex/tools/bm.sty) (/usr/share/texmf/tex/latex/preview/preview.sty) (./math.aux) (/usr/share/texlive/texmf-dist/tex/latex/ucs/ucsencs.def) Preview: Fontsize 12pt ! Missing $ inserted. <inserted text> $ l.14 \mu _{n}^{\prime}=\left\{ \begin{array}{ccc} \frac{\Gamma\left(n+\alph... (/usr/share/texlive/texmf-dist/tex/latex/amsfonts/umsa.fd) (/usr/share/texlive/texmf-dist/tex/latex/amsfonts/umsb.fd) ! Missing $ inserted. <inserted text> $ l.15 \end{preview} [1] (./math.aux) ) (see the transcript file for additional information) Output written on math.dvi (1 page, 816 bytes). Transcript written on math.log.Therefore,


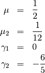
![\begin{eqnarray*} f\left(x;c\right) & = & \frac{c}{k\left(1+cx\right)}I_{\left(0,1\right)}\left(x\right)\\ F\left(x;c\right) & = & \frac{\log\left(1+cx\right)}{k}\\ G\left(\alpha\; c\right) & = & \frac{\left(1+c\right)^{\alpha}-1}{c}\\ M\left(t\right) & = & \frac{1}{k}e^{-t/c}\left[\textrm{Ei}\left(t+\frac{t}{c}\right)-\textrm{Ei}\left(\frac{t}{c}\right)\right]\\ \mu & = & \frac{c-k}{ck}\\ \mu_{2} & = & \frac{\left(c+2\right)k-2c}{2ck^{2}}\\ \gamma_{1} & = & \frac{\sqrt{2}\left(12c^{2}-9kc\left(c+2\right)+2k^{2}\left(c\left(c+3\right)+3\right)\right)}{\sqrt{c\left(c\left(k-2\right)+2k\right)}\left(3c\left(k-2\right)+6k\right)}\\ \gamma_{2} & = & \frac{c^{3}\left(k-3\right)\left(k\left(3k-16\right)+24\right)+12kc^{2}\left(k-4\right)\left(k-3\right)+6ck^{2}\left(3k-14\right)+12k^{3}}{3c\left(c\left(k-2\right)+2k\right)^{2}}\\ m_{d} & = & 0\\ m_{n} & = & \sqrt{1+c}-1\end{eqnarray*}](../../_images/math/739b26ed8f0c86965b10f94d7447468b19256967.png)
where
is the exponential integral function. Also
System Message: WARNING/2 ( h\left[X\right]=\frac{1}{2}\log\left(1+c\right)-\log\left(\frac{c}{\log\left(1+c\right)}\right))
latex exited with error: [stderr] [stdout] This is pdfTeX, Version 3.1415926-2.4-1.40.13 (TeX Live 2012/Debian) restricted \write18 enabled. entering extended mode (./math.tex LaTeX2e <2011/06/27> Babel <v3.8m> and hyphenation patterns for english, dumylang, nohyphenation, lo aded. (/usr/share/texlive/texmf-dist/tex/latex/base/article.cls Document Class: article 2007/10/19 v1.4h Standard LaTeX document class (/usr/share/texlive/texmf-dist/tex/latex/base/size12.clo)) (/usr/share/texlive/texmf-dist/tex/latex/base/inputenc.sty (/usr/share/texlive/texmf-dist/tex/latex/ucs/utf8x.def)) (/usr/share/texlive/texmf-dist/tex/latex/ucs/ucs.sty (/usr/share/texlive/texmf-dist/tex/latex/ucs/data/uni-global.def)) (/usr/share/texlive/texmf-dist/tex/latex/amsmath/amsmath.sty For additional information on amsmath, use the `?’ option. (/usr/share/texlive/texmf-dist/tex/latex/amsmath/amstext.sty (/usr/share/texlive/texmf-dist/tex/latex/amsmath/amsgen.sty)) (/usr/share/texlive/texmf-dist/tex/latex/amsmath/amsbsy.sty) (/usr/share/texlive/texmf-dist/tex/latex/amsmath/amsopn.sty)) (/usr/share/texlive/texmf-dist/tex/latex/amscls/amsthm.sty) (/usr/share/texlive/texmf-dist/tex/latex/amsfonts/amssymb.sty (/usr/share/texlive/texmf-dist/tex/latex/amsfonts/amsfonts.sty)) (/usr/share/texlive/texmf-dist/tex/latex/tools/bm.sty) (/usr/share/texmf/tex/latex/preview/preview.sty) (./math.aux) (/usr/share/texlive/texmf-dist/tex/latex/ucs/ucsencs.def) Preview: Fontsize 12pt ! Missing $ inserted. <inserted text> $ l.14 h\left [X\right]=\frac{1}{2}\log\left(1+c\right)-\log\left(\frac{c}{\l... (/usr/share/texlive/texmf-dist/tex/latex/amsfonts/umsa.fd) (/usr/share/texlive/texmf-dist/tex/latex/amsfonts/umsb.fd) ! Missing $ inserted. <inserted text> $ l.15 \end{preview} [1] (./math.aux) ) (see the transcript file for additional information) Output written on math.dvi (1 page, 604 bytes). Transcript written on math.log.Generated by taking the (positive) square-root of chi-squared variates.

System Message: WARNING/2 ( M\left(t\right)=\Gamma\left(\frac{v}{2}\right)\,_{1}F_{1}\left(\frac{v}{2};\frac{1}{2};\frac{t^{2}}{2}\right)+\frac{t}{\sqrt{2}}\Gamma\left(\frac{1+\nu}{2}\right)\,_{1}F_{1}\left(\frac{1+\nu}{2};\frac{3}{2};\frac{t^{2}}{2}\right))
latex exited with error: [stderr] [stdout] This is pdfTeX, Version 3.1415926-2.4-1.40.13 (TeX Live 2012/Debian) restricted \write18 enabled. entering extended mode (./math.tex LaTeX2e <2011/06/27> Babel <v3.8m> and hyphenation patterns for english, dumylang, nohyphenation, lo aded. (/usr/share/texlive/texmf-dist/tex/latex/base/article.cls Document Class: article 2007/10/19 v1.4h Standard LaTeX document class (/usr/share/texlive/texmf-dist/tex/latex/base/size12.clo)) (/usr/share/texlive/texmf-dist/tex/latex/base/inputenc.sty (/usr/share/texlive/texmf-dist/tex/latex/ucs/utf8x.def)) (/usr/share/texlive/texmf-dist/tex/latex/ucs/ucs.sty (/usr/share/texlive/texmf-dist/tex/latex/ucs/data/uni-global.def)) (/usr/share/texlive/texmf-dist/tex/latex/amsmath/amsmath.sty For additional information on amsmath, use the `?’ option. (/usr/share/texlive/texmf-dist/tex/latex/amsmath/amstext.sty (/usr/share/texlive/texmf-dist/tex/latex/amsmath/amsgen.sty)) (/usr/share/texlive/texmf-dist/tex/latex/amsmath/amsbsy.sty) (/usr/share/texlive/texmf-dist/tex/latex/amsmath/amsopn.sty)) (/usr/share/texlive/texmf-dist/tex/latex/amscls/amsthm.sty) (/usr/share/texlive/texmf-dist/tex/latex/amsfonts/amssymb.sty (/usr/share/texlive/texmf-dist/tex/latex/amsfonts/amsfonts.sty)) (/usr/share/texlive/texmf-dist/tex/latex/tools/bm.sty) (/usr/share/texmf/tex/latex/preview/preview.sty) (./math.aux) (/usr/share/texlive/texmf-dist/tex/latex/ucs/ucsencs.def) Preview: Fontsize 12pt ! Missing $ inserted. <inserted text> $ l.14 M\left (t\right)=\Gamma\left(\frac{v}{2}\right)\,_{1}F_{1}\left(\frac{... (/usr/share/texlive/texmf-dist/tex/latex/amsfonts/umsa.fd) (/usr/share/texlive/texmf-dist/tex/latex/amsfonts/umsb.fd) ! Missing $ inserted. <inserted text> $ l.15 \end{preview} [1] (./math.aux) ) (see the transcript file for additional information) Output written on math.dvi (1 page, 1108 bytes). Transcript written on math.log.
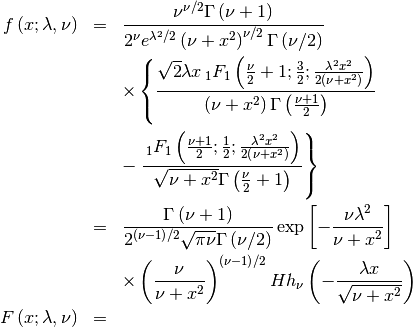
This is the gamma distribution with
and
and
where
is called the degrees of freedom. If
are all standard normal distributions, then
has (standard) chi-square distribution with
degrees of freedom.
The standard form (most often used in standard form only) is 

System Message: WARNING/2 ( M\left(t\right)=\frac{\Gamma\left(\frac{\nu}{2}\right)}{\left(\frac{1}{2}-t\right)^{\nu/2}})
latex exited with error: [stderr] [stdout] This is pdfTeX, Version 3.1415926-2.4-1.40.13 (TeX Live 2012/Debian) restricted \write18 enabled. entering extended mode (./math.tex LaTeX2e <2011/06/27> Babel <v3.8m> and hyphenation patterns for english, dumylang, nohyphenation, lo aded. (/usr/share/texlive/texmf-dist/tex/latex/base/article.cls Document Class: article 2007/10/19 v1.4h Standard LaTeX document class (/usr/share/texlive/texmf-dist/tex/latex/base/size12.clo)) (/usr/share/texlive/texmf-dist/tex/latex/base/inputenc.sty (/usr/share/texlive/texmf-dist/tex/latex/ucs/utf8x.def)) (/usr/share/texlive/texmf-dist/tex/latex/ucs/ucs.sty (/usr/share/texlive/texmf-dist/tex/latex/ucs/data/uni-global.def)) (/usr/share/texlive/texmf-dist/tex/latex/amsmath/amsmath.sty For additional information on amsmath, use the `?’ option. (/usr/share/texlive/texmf-dist/tex/latex/amsmath/amstext.sty (/usr/share/texlive/texmf-dist/tex/latex/amsmath/amsgen.sty)) (/usr/share/texlive/texmf-dist/tex/latex/amsmath/amsbsy.sty) (/usr/share/texlive/texmf-dist/tex/latex/amsmath/amsopn.sty)) (/usr/share/texlive/texmf-dist/tex/latex/amscls/amsthm.sty) (/usr/share/texlive/texmf-dist/tex/latex/amsfonts/amssymb.sty (/usr/share/texlive/texmf-dist/tex/latex/amsfonts/amsfonts.sty)) (/usr/share/texlive/texmf-dist/tex/latex/tools/bm.sty) (/usr/share/texmf/tex/latex/preview/preview.sty) (./math.aux) (/usr/share/texlive/texmf-dist/tex/latex/ucs/ucsencs.def) Preview: Fontsize 12pt ! Missing $ inserted. <inserted text> $ l.14 M\left (t\right)=\frac{\Gamma\left(\frac{\nu}{2}\right)}{\left(\frac{1... (/usr/share/texlive/texmf-dist/tex/latex/amsfonts/umsa.fd) (/usr/share/texlive/texmf-dist/tex/latex/amsfonts/umsb.fd) ! Missing $ inserted. <inserted text> $ l.15 \end{preview} [1] (./math.aux) ) (see the transcript file for additional information) Output written on math.dvi (1 page, 640 bytes). Transcript written on math.log.
The double gamma is the signed version of the Gamma distribution. For 

System Message: WARNING/2 ( M\left(t\right)=\frac{1}{2\left(1-t\right)^{a}}+\frac{1}{2\left(1+t\right)^{a}})
latex exited with error: [stderr] [stdout] This is pdfTeX, Version 3.1415926-2.4-1.40.13 (TeX Live 2012/Debian) restricted \write18 enabled. entering extended mode (./math.tex LaTeX2e <2011/06/27> Babel <v3.8m> and hyphenation patterns for english, dumylang, nohyphenation, lo aded. (/usr/share/texlive/texmf-dist/tex/latex/base/article.cls Document Class: article 2007/10/19 v1.4h Standard LaTeX document class (/usr/share/texlive/texmf-dist/tex/latex/base/size12.clo)) (/usr/share/texlive/texmf-dist/tex/latex/base/inputenc.sty (/usr/share/texlive/texmf-dist/tex/latex/ucs/utf8x.def)) (/usr/share/texlive/texmf-dist/tex/latex/ucs/ucs.sty (/usr/share/texlive/texmf-dist/tex/latex/ucs/data/uni-global.def)) (/usr/share/texlive/texmf-dist/tex/latex/amsmath/amsmath.sty For additional information on amsmath, use the `?’ option. (/usr/share/texlive/texmf-dist/tex/latex/amsmath/amstext.sty (/usr/share/texlive/texmf-dist/tex/latex/amsmath/amsgen.sty)) (/usr/share/texlive/texmf-dist/tex/latex/amsmath/amsbsy.sty) (/usr/share/texlive/texmf-dist/tex/latex/amsmath/amsopn.sty)) (/usr/share/texlive/texmf-dist/tex/latex/amscls/amsthm.sty) (/usr/share/texlive/texmf-dist/tex/latex/amsfonts/amssymb.sty (/usr/share/texlive/texmf-dist/tex/latex/amsfonts/amsfonts.sty)) (/usr/share/texlive/texmf-dist/tex/latex/tools/bm.sty) (/usr/share/texmf/tex/latex/preview/preview.sty) (./math.aux) (/usr/share/texlive/texmf-dist/tex/latex/ucs/ucsencs.def) Preview: Fontsize 12pt ! Missing $ inserted. <inserted text> $ l.14 M\left (t\right)=\frac{1}{2\left(1-t\right)^{a}}+\frac{1}{2\left(1+t\r... (/usr/share/texlive/texmf-dist/tex/latex/amsfonts/umsa.fd) (/usr/share/texlive/texmf-dist/tex/latex/amsfonts/umsb.fd) ! Missing $ inserted. <inserted text> $ l.15 \end{preview} [1] (./math.aux) ) (see the transcript file for additional information) Output written on math.dvi (1 page, 556 bytes). Transcript written on math.log.
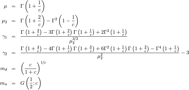
This is a signed form of the Weibull distribution.

System Message: WARNING/2 ( \mu_{n}^{\prime}=\mu_{n}=\begin{cases} \Gamma\left(1+\frac{n}{c}\right) & n\textrm{ even}\\ 0 & n\textrm{ odd}\end{cases})
latex exited with error: [stderr] [stdout] This is pdfTeX, Version 3.1415926-2.4-1.40.13 (TeX Live 2012/Debian) restricted \write18 enabled. entering extended mode (./math.tex LaTeX2e <2011/06/27> Babel <v3.8m> and hyphenation patterns for english, dumylang, nohyphenation, lo aded. (/usr/share/texlive/texmf-dist/tex/latex/base/article.cls Document Class: article 2007/10/19 v1.4h Standard LaTeX document class (/usr/share/texlive/texmf-dist/tex/latex/base/size12.clo)) (/usr/share/texlive/texmf-dist/tex/latex/base/inputenc.sty (/usr/share/texlive/texmf-dist/tex/latex/ucs/utf8x.def)) (/usr/share/texlive/texmf-dist/tex/latex/ucs/ucs.sty (/usr/share/texlive/texmf-dist/tex/latex/ucs/data/uni-global.def)) (/usr/share/texlive/texmf-dist/tex/latex/amsmath/amsmath.sty For additional information on amsmath, use the `?’ option. (/usr/share/texlive/texmf-dist/tex/latex/amsmath/amstext.sty (/usr/share/texlive/texmf-dist/tex/latex/amsmath/amsgen.sty)) (/usr/share/texlive/texmf-dist/tex/latex/amsmath/amsbsy.sty) (/usr/share/texlive/texmf-dist/tex/latex/amsmath/amsopn.sty)) (/usr/share/texlive/texmf-dist/tex/latex/amscls/amsthm.sty) (/usr/share/texlive/texmf-dist/tex/latex/amsfonts/amssymb.sty (/usr/share/texlive/texmf-dist/tex/latex/amsfonts/amsfonts.sty)) (/usr/share/texlive/texmf-dist/tex/latex/tools/bm.sty) (/usr/share/texmf/tex/latex/preview/preview.sty) (./math.aux) (/usr/share/texlive/texmf-dist/tex/latex/ucs/ucsencs.def) Preview: Fontsize 12pt ! Missing $ inserted. <inserted text> $ l.14 \mu _{n}^{\prime}=\mu_{n}=\begin{cases} \Gamma\left(1+\frac{n}{c}\righ... (/usr/share/texlive/texmf-dist/tex/latex/amsfonts/umsa.fd) (/usr/share/texlive/texmf-dist/tex/latex/amsfonts/umsb.fd) ! Missing $ inserted. <inserted text> $ l.15 \end{preview} [1] (./math.aux) ) (see the transcript file for additional information) Output written on math.dvi (1 page, 560 bytes). Transcript written on math.log.
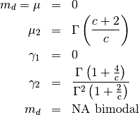
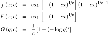
This is just the Gamma distribution with shape parameter
an integer.
This is a special case of the Gamma (and Erlang) distributions with
shape parameter
and the same location and scale parameters. The standard form is
therefore (
)

System Message: WARNING/2 ( \mu_{n}^{\prime}=n!)
latex exited with error: [stderr] [stdout] This is pdfTeX, Version 3.1415926-2.4-1.40.13 (TeX Live 2012/Debian) restricted \write18 enabled. entering extended mode (./math.tex LaTeX2e <2011/06/27> Babel <v3.8m> and hyphenation patterns for english, dumylang, nohyphenation, lo aded. (/usr/share/texlive/texmf-dist/tex/latex/base/article.cls Document Class: article 2007/10/19 v1.4h Standard LaTeX document class (/usr/share/texlive/texmf-dist/tex/latex/base/size12.clo)) (/usr/share/texlive/texmf-dist/tex/latex/base/inputenc.sty (/usr/share/texlive/texmf-dist/tex/latex/ucs/utf8x.def)) (/usr/share/texlive/texmf-dist/tex/latex/ucs/ucs.sty (/usr/share/texlive/texmf-dist/tex/latex/ucs/data/uni-global.def)) (/usr/share/texlive/texmf-dist/tex/latex/amsmath/amsmath.sty For additional information on amsmath, use the `?’ option. (/usr/share/texlive/texmf-dist/tex/latex/amsmath/amstext.sty (/usr/share/texlive/texmf-dist/tex/latex/amsmath/amsgen.sty)) (/usr/share/texlive/texmf-dist/tex/latex/amsmath/amsbsy.sty) (/usr/share/texlive/texmf-dist/tex/latex/amsmath/amsopn.sty)) (/usr/share/texlive/texmf-dist/tex/latex/amscls/amsthm.sty) (/usr/share/texlive/texmf-dist/tex/latex/amsfonts/amssymb.sty (/usr/share/texlive/texmf-dist/tex/latex/amsfonts/amsfonts.sty)) (/usr/share/texlive/texmf-dist/tex/latex/tools/bm.sty) (/usr/share/texmf/tex/latex/preview/preview.sty) (./math.aux) (/usr/share/texlive/texmf-dist/tex/latex/ucs/ucsencs.def) Preview: Fontsize 12pt ! Missing $ inserted. <inserted text> $ l.14 \mu _{n}^{\prime}=n! (/usr/share/texlive/texmf-dist/tex/latex/amsfonts/umsa.fd) (/usr/share/texlive/texmf-dist/tex/latex/amsfonts/umsb.fd) ! Missing $ inserted. <inserted text> $ l.15 \end{preview} [1] (./math.aux) ) (see the transcript file for additional information) Output written on math.dvi (1 page, 336 bytes). Transcript written on math.log.System Message: WARNING/2 ( M\left(t\right)=\frac{1}{1-t})
latex exited with error: [stderr] [stdout] This is pdfTeX, Version 3.1415926-2.4-1.40.13 (TeX Live 2012/Debian) restricted \write18 enabled. entering extended mode (./math.tex LaTeX2e <2011/06/27> Babel <v3.8m> and hyphenation patterns for english, dumylang, nohyphenation, lo aded. (/usr/share/texlive/texmf-dist/tex/latex/base/article.cls Document Class: article 2007/10/19 v1.4h Standard LaTeX document class (/usr/share/texlive/texmf-dist/tex/latex/base/size12.clo)) (/usr/share/texlive/texmf-dist/tex/latex/base/inputenc.sty (/usr/share/texlive/texmf-dist/tex/latex/ucs/utf8x.def)) (/usr/share/texlive/texmf-dist/tex/latex/ucs/ucs.sty (/usr/share/texlive/texmf-dist/tex/latex/ucs/data/uni-global.def)) (/usr/share/texlive/texmf-dist/tex/latex/amsmath/amsmath.sty For additional information on amsmath, use the `?’ option. (/usr/share/texlive/texmf-dist/tex/latex/amsmath/amstext.sty (/usr/share/texlive/texmf-dist/tex/latex/amsmath/amsgen.sty)) (/usr/share/texlive/texmf-dist/tex/latex/amsmath/amsbsy.sty) (/usr/share/texlive/texmf-dist/tex/latex/amsmath/amsopn.sty)) (/usr/share/texlive/texmf-dist/tex/latex/amscls/amsthm.sty) (/usr/share/texlive/texmf-dist/tex/latex/amsfonts/amssymb.sty (/usr/share/texlive/texmf-dist/tex/latex/amsfonts/amsfonts.sty)) (/usr/share/texlive/texmf-dist/tex/latex/tools/bm.sty) (/usr/share/texmf/tex/latex/preview/preview.sty) (./math.aux) (/usr/share/texlive/texmf-dist/tex/latex/ucs/ucsencs.def) Preview: Fontsize 12pt ! Missing $ inserted. <inserted text> $ l.14 M\left (t\right)=\frac{1}{1-t} (/usr/share/texlive/texmf-dist/tex/latex/amsfonts/umsa.fd) (/usr/share/texlive/texmf-dist/tex/latex/amsfonts/umsb.fd) ! Missing $ inserted. <inserted text> $ l.15 \end{preview} [1] (./math.aux) ) (see the transcript file for additional information) Output written on math.dvi (1 page, 412 bytes). Transcript written on math.log.
System Message: WARNING/2 ( h\left[X\right]=1.)
latex exited with error: [stderr] [stdout] This is pdfTeX, Version 3.1415926-2.4-1.40.13 (TeX Live 2012/Debian) restricted \write18 enabled. entering extended mode (./math.tex LaTeX2e <2011/06/27> Babel <v3.8m> and hyphenation patterns for english, dumylang, nohyphenation, lo aded. (/usr/share/texlive/texmf-dist/tex/latex/base/article.cls Document Class: article 2007/10/19 v1.4h Standard LaTeX document class (/usr/share/texlive/texmf-dist/tex/latex/base/size12.clo)) (/usr/share/texlive/texmf-dist/tex/latex/base/inputenc.sty (/usr/share/texlive/texmf-dist/tex/latex/ucs/utf8x.def)) (/usr/share/texlive/texmf-dist/tex/latex/ucs/ucs.sty (/usr/share/texlive/texmf-dist/tex/latex/ucs/data/uni-global.def)) (/usr/share/texlive/texmf-dist/tex/latex/amsmath/amsmath.sty For additional information on amsmath, use the `?’ option. (/usr/share/texlive/texmf-dist/tex/latex/amsmath/amstext.sty (/usr/share/texlive/texmf-dist/tex/latex/amsmath/amsgen.sty)) (/usr/share/texlive/texmf-dist/tex/latex/amsmath/amsbsy.sty) (/usr/share/texlive/texmf-dist/tex/latex/amsmath/amsopn.sty)) (/usr/share/texlive/texmf-dist/tex/latex/amscls/amsthm.sty) (/usr/share/texlive/texmf-dist/tex/latex/amsfonts/amssymb.sty (/usr/share/texlive/texmf-dist/tex/latex/amsfonts/amsfonts.sty)) (/usr/share/texlive/texmf-dist/tex/latex/tools/bm.sty) (/usr/share/texmf/tex/latex/preview/preview.sty) (./math.aux) (/usr/share/texlive/texmf-dist/tex/latex/ucs/ucsencs.def) Preview: Fontsize 12pt ! Missing $ inserted. <inserted text> $ l.14 h\left [X\right]=1. (/usr/share/texlive/texmf-dist/tex/latex/amsfonts/umsa.fd) (/usr/share/texlive/texmf-dist/tex/latex/amsfonts/umsb.fd) ! Missing $ inserted. <inserted text> $ l.15 \end{preview} [1] (./math.aux) ) (see the transcript file for additional information) Output written on math.dvi (1 page, 252 bytes). Transcript written on math.log.This distribution’s pdf is the average of the inverse-Gaussian
and reciprocal inverse-Gaussian pdf
. We follow the notation of JKB here with
for 
![\begin{eqnarray*} f\left(x;c\right) & = & \frac{x+1}{2c\sqrt{2\pi x^{3}}}\exp\left(-\frac{\left(x-1\right)^{2}}{2xc^{2}}\right)\\ F\left(x;c\right) & = & \Phi\left(\frac{1}{c}\left(\sqrt{x}-\frac{1}{\sqrt{x}}\right)\right)\\ G\left(q;c\right) & = & \frac{1}{4}\left[c\Phi^{-1}\left(q\right)+\sqrt{c^{2}\left(\Phi^{-1}\left(q\right)\right)^{2}+4}\right]^{2}\end{eqnarray*}](../../_images/math/a12e448600dd3cdb4e4d53a4f55bc55b87777f0e.png)
System Message: WARNING/2 ( M\left(t\right)=c\sqrt{2\pi}\exp\left[\frac{1}{c^{2}}\left(1-\sqrt{1-2c^{2}t}\right)\right]\left(1+\frac{1}{\sqrt{1-2c^{2}t}}\right))
latex exited with error: [stderr] [stdout] This is pdfTeX, Version 3.1415926-2.4-1.40.13 (TeX Live 2012/Debian) restricted \write18 enabled. entering extended mode (./math.tex LaTeX2e <2011/06/27> Babel <v3.8m> and hyphenation patterns for english, dumylang, nohyphenation, lo aded. (/usr/share/texlive/texmf-dist/tex/latex/base/article.cls Document Class: article 2007/10/19 v1.4h Standard LaTeX document class (/usr/share/texlive/texmf-dist/tex/latex/base/size12.clo)) (/usr/share/texlive/texmf-dist/tex/latex/base/inputenc.sty (/usr/share/texlive/texmf-dist/tex/latex/ucs/utf8x.def)) (/usr/share/texlive/texmf-dist/tex/latex/ucs/ucs.sty (/usr/share/texlive/texmf-dist/tex/latex/ucs/data/uni-global.def)) (/usr/share/texlive/texmf-dist/tex/latex/amsmath/amsmath.sty For additional information on amsmath, use the `?’ option. (/usr/share/texlive/texmf-dist/tex/latex/amsmath/amstext.sty (/usr/share/texlive/texmf-dist/tex/latex/amsmath/amsgen.sty)) (/usr/share/texlive/texmf-dist/tex/latex/amsmath/amsbsy.sty) (/usr/share/texlive/texmf-dist/tex/latex/amsmath/amsopn.sty)) (/usr/share/texlive/texmf-dist/tex/latex/amscls/amsthm.sty) (/usr/share/texlive/texmf-dist/tex/latex/amsfonts/amssymb.sty (/usr/share/texlive/texmf-dist/tex/latex/amsfonts/amsfonts.sty)) (/usr/share/texlive/texmf-dist/tex/latex/tools/bm.sty) (/usr/share/texmf/tex/latex/preview/preview.sty) (./math.aux) (/usr/share/texlive/texmf-dist/tex/latex/ucs/ucsencs.def) Preview: Fontsize 12pt ! Missing $ inserted. <inserted text> $ l.14 M\left (t\right)=c\sqrt{2\pi}\exp\left[\frac{1}{c^{2}}\left(1-\sqrt{1-... (/usr/share/texlive/texmf-dist/tex/latex/amsfonts/umsa.fd) (/usr/share/texlive/texmf-dist/tex/latex/amsfonts/umsb.fd) ! Missing $ inserted. <inserted text> $ l.15 \end{preview} [1] (./math.aux) ) (see the transcript file for additional information) Output written on math.dvi (1 page, 856 bytes). Transcript written on math.log.
Special case of the Burr distribution with 

![\begin{eqnarray*} f\left(x;c,d\right) & = & \frac{cx^{c-1}}{\left(1+x^{c}\right)^{2}}I_{\left(0,\infty\right)}\left(x\right)\\ F\left(x;c,d\right) & = & \left(1+x^{-c}\right)^{-1}\\ G\left(\alpha;c,d\right) & = & \left(\alpha^{-1}-1\right)^{-1/c}\\ \mu & = & \Gamma\left(1-\frac{1}{c}\right)\Gamma\left(\frac{1}{c}+1\right)\\ \mu_{2} & = & k\\ \gamma_{1} & = & \frac{1}{\sqrt{k^{3}}}\left[2\Gamma^{3}\left(1-\frac{1}{c}\right)\Gamma^{3}\left(\frac{1}{c}+1\right)+\Gamma\left(1-\frac{3}{c}\right)\Gamma\left(\frac{3}{c}+1\right)\right.\\ & & \left.-3\Gamma\left(1-\frac{2}{c}\right)\Gamma\left(1-\frac{1}{c}\right)\Gamma\left(\frac{1}{c}+1\right)\Gamma\left(\frac{2}{c}+1\right)\right]\\ \gamma_{2} & = & -3+\frac{1}{k^{2}}\left[6\Gamma\left(1-\frac{2}{c}\right)\Gamma^{2}\left(1-\frac{1}{c}\right)\Gamma^{2}\left(\frac{1}{c}+1\right)\Gamma\left(\frac{2}{c}+1\right)\right.\\ & & -3\Gamma^{4}\left(1-\frac{1}{c}\right)\Gamma^{4}\left(\frac{1}{c}+1\right)+\Gamma\left(1-\frac{4}{c}\right)\Gamma\left(\frac{4}{c}+1\right)\\ & & \left.-4\Gamma\left(1-\frac{3}{c}\right)\Gamma\left(1-\frac{1}{c}\right)\Gamma\left(\frac{1}{c}+1\right)\Gamma\left(\frac{3}{c}+1\right)\right]\\ m_{d} & = & \left(\frac{c-1}{c+1}\right)^{1/c}\,\textrm{if }c>1\,\textrm{otherwise }0\\ m_{n} & = & 1\end{eqnarray*}](../../_images/math/2bf46f2d7afbe373082163e242b040fc68e3b713.png)
System Message: WARNING/2 ( h\left[X\right]=2-\log c.)
latex exited with error: [stderr] [stdout] This is pdfTeX, Version 3.1415926-2.4-1.40.13 (TeX Live 2012/Debian) restricted \write18 enabled. entering extended mode (./math.tex LaTeX2e <2011/06/27> Babel <v3.8m> and hyphenation patterns for english, dumylang, nohyphenation, lo aded. (/usr/share/texlive/texmf-dist/tex/latex/base/article.cls Document Class: article 2007/10/19 v1.4h Standard LaTeX document class (/usr/share/texlive/texmf-dist/tex/latex/base/size12.clo)) (/usr/share/texlive/texmf-dist/tex/latex/base/inputenc.sty (/usr/share/texlive/texmf-dist/tex/latex/ucs/utf8x.def)) (/usr/share/texlive/texmf-dist/tex/latex/ucs/ucs.sty (/usr/share/texlive/texmf-dist/tex/latex/ucs/data/uni-global.def)) (/usr/share/texlive/texmf-dist/tex/latex/amsmath/amsmath.sty For additional information on amsmath, use the `?’ option. (/usr/share/texlive/texmf-dist/tex/latex/amsmath/amstext.sty (/usr/share/texlive/texmf-dist/tex/latex/amsmath/amsgen.sty)) (/usr/share/texlive/texmf-dist/tex/latex/amsmath/amsbsy.sty) (/usr/share/texlive/texmf-dist/tex/latex/amsmath/amsopn.sty)) (/usr/share/texlive/texmf-dist/tex/latex/amscls/amsthm.sty) (/usr/share/texlive/texmf-dist/tex/latex/amsfonts/amssymb.sty (/usr/share/texlive/texmf-dist/tex/latex/amsfonts/amsfonts.sty)) (/usr/share/texlive/texmf-dist/tex/latex/tools/bm.sty) (/usr/share/texmf/tex/latex/preview/preview.sty) (./math.aux) (/usr/share/texlive/texmf-dist/tex/latex/ucs/ucsencs.def) Preview: Fontsize 12pt ! Missing $ inserted. <inserted text> $ l.14 h\left [X\right]=2-\log c. (/usr/share/texlive/texmf-dist/tex/latex/amsfonts/umsa.fd) (/usr/share/texlive/texmf-dist/tex/latex/amsfonts/umsb.fd) ! Missing $ inserted. <inserted text> $ l.15 \end{preview} [1] (./math.aux) ) (see the transcript file for additional information) Output written on math.dvi (1 page, 312 bytes). Transcript written on math.log.This formula can be expressed in terms of the standard formulas for
the Cauchy distribution (call the cdf
and the pdf
). if
is cauchy then
is folded cauchy. Note that 

No moments
If
is Normal with mean
and
, then
is a folded normal with shape parameter
, location parameter
and scale parameter
. This is a special case of the non-central chi distribution with one-
degree of freedom and non-centrality parameter
Note that
. The standard form of the folded normal is

System Message: WARNING/2 ( M\left(t\right)=\exp\left[\frac{t}{2}\left(t-2c\right)\right]\left(1+e^{2ct}\right))
latex exited with error: [stderr] [stdout] This is pdfTeX, Version 3.1415926-2.4-1.40.13 (TeX Live 2012/Debian) restricted \write18 enabled. entering extended mode (./math.tex LaTeX2e <2011/06/27> Babel <v3.8m> and hyphenation patterns for english, dumylang, nohyphenation, lo aded. (/usr/share/texlive/texmf-dist/tex/latex/base/article.cls Document Class: article 2007/10/19 v1.4h Standard LaTeX document class (/usr/share/texlive/texmf-dist/tex/latex/base/size12.clo)) (/usr/share/texlive/texmf-dist/tex/latex/base/inputenc.sty (/usr/share/texlive/texmf-dist/tex/latex/ucs/utf8x.def)) (/usr/share/texlive/texmf-dist/tex/latex/ucs/ucs.sty (/usr/share/texlive/texmf-dist/tex/latex/ucs/data/uni-global.def)) (/usr/share/texlive/texmf-dist/tex/latex/amsmath/amsmath.sty For additional information on amsmath, use the `?’ option. (/usr/share/texlive/texmf-dist/tex/latex/amsmath/amstext.sty (/usr/share/texlive/texmf-dist/tex/latex/amsmath/amsgen.sty)) (/usr/share/texlive/texmf-dist/tex/latex/amsmath/amsbsy.sty) (/usr/share/texlive/texmf-dist/tex/latex/amsmath/amsopn.sty)) (/usr/share/texlive/texmf-dist/tex/latex/amscls/amsthm.sty) (/usr/share/texlive/texmf-dist/tex/latex/amsfonts/amssymb.sty (/usr/share/texlive/texmf-dist/tex/latex/amsfonts/amsfonts.sty)) (/usr/share/texlive/texmf-dist/tex/latex/tools/bm.sty) (/usr/share/texmf/tex/latex/preview/preview.sty) (./math.aux) (/usr/share/texlive/texmf-dist/tex/latex/ucs/ucsencs.def) Preview: Fontsize 12pt ! Missing $ inserted. <inserted text> $ l.14 M\left (t\right)=\exp\left[\frac{t}{2}\left(t-2c\right)\right]\left(1+... (/usr/share/texlive/texmf-dist/tex/latex/amsfonts/umsa.fd) (/usr/share/texlive/texmf-dist/tex/latex/amsfonts/umsb.fd) ! Missing $ inserted. <inserted text> $ l.15 \end{preview} [1] (./math.aux) ) (see the transcript file for additional information) Output written on math.dvi (1 page, 560 bytes). Transcript written on math.log.
Defined for
. The distribution of
if
is chi-squared with
degrees of freedom and
is chi-squared with
degrees of freedom.
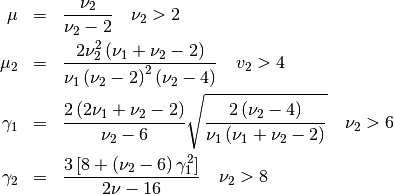
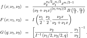
![\begin{eqnarray*} f\left(x;\nu_{1},\nu_{2}\right) & = & \frac{\nu_{2}^{\nu_{2}/2}\nu_{1}^{\nu_{1}/2}x^{\nu_{1}/2-1}}{\left(\nu_{2}+\nu_{1}x\right)^{\left(\nu_{1}+\nu_{2}\right)/2}B\left(\frac{\nu_{1}}{2},\frac{\nu_{2}}{2}\right)}\\ F\left(x;v_{1},v_{2}\right) & = & I\left(\frac{\nu_{1}}{2},\frac{\nu_{2}}{2},\frac{\nu_{2}x}{\nu_{2}+\nu_{1}x}\right)\\ G\left(q;\nu_{1},\nu_{2}\right) & = & \left[\frac{\nu_{2}}{I^{-1}\left(\nu_{1}/2,\nu_{2}/2,q\right)}-\frac{\nu_{1}}{\nu_{2}}\right]^{-1}.\end{eqnarray*}](../../_images/math/5aa1757983b2eff0dea69423eec1470095fb7651.png)
![\begin{eqnarray*} \mu & = & \frac{\nu_{2}}{\nu_{2}-2}\quad\nu_{2}>2\\ \mu_{2} & = & \frac{2\nu_{2}^{2}\left(\nu_{1}+\nu_{2}-2\right)}{\nu_{1}\left(\nu_{2}-2\right)^{2}\left(\nu_{2}-4\right)}\quad v_{2}>4\\ \gamma_{1} & = & \frac{2\left(2\nu_{1}+\nu_{2}-2\right)}{\nu_{2}-6}\sqrt{\frac{2\left(\nu_{2}-4\right)}{\nu_{1}\left(\nu_{1}+\nu_{2}-2\right)}}\quad\nu_{2}>6\\ \gamma_{2} & = & \frac{3\left[8+\left(\nu_{2}-6\right)\gamma_{1}^{2}\right]}{2\nu-16}\quad\nu_{2}>8\end{eqnarray*}](../../_images/math/1d320914edaa1b7857884f9a6ccabee016cdf0b1.png)
A type of extreme-value distribution with a lower bound. Defined for
and 
![\begin{eqnarray*} f\left(x;c\right) & = & cx^{c-1}\exp\left(-x^{c}\right)\\ F\left(x;c\right) & = & 1-\exp\left(-x^{c}\right)\\ G\left(q;c\right) & = & \left[-\log\left(1-q\right)\right]^{1/c}\end{eqnarray*}](../../_images/math/16ea329998867c69d645252e4533fca865b6bcc8.png)
System Message: WARNING/2 ( \mu_{n}^{\prime}=\Gamma\left(1+\frac{n}{c}\right))
latex exited with error: [stderr] [stdout] This is pdfTeX, Version 3.1415926-2.4-1.40.13 (TeX Live 2012/Debian) restricted \write18 enabled. entering extended mode (./math.tex LaTeX2e <2011/06/27> Babel <v3.8m> and hyphenation patterns for english, dumylang, nohyphenation, lo aded. (/usr/share/texlive/texmf-dist/tex/latex/base/article.cls Document Class: article 2007/10/19 v1.4h Standard LaTeX document class (/usr/share/texlive/texmf-dist/tex/latex/base/size12.clo)) (/usr/share/texlive/texmf-dist/tex/latex/base/inputenc.sty (/usr/share/texlive/texmf-dist/tex/latex/ucs/utf8x.def)) (/usr/share/texlive/texmf-dist/tex/latex/ucs/ucs.sty (/usr/share/texlive/texmf-dist/tex/latex/ucs/data/uni-global.def)) (/usr/share/texlive/texmf-dist/tex/latex/amsmath/amsmath.sty For additional information on amsmath, use the `?’ option. (/usr/share/texlive/texmf-dist/tex/latex/amsmath/amstext.sty (/usr/share/texlive/texmf-dist/tex/latex/amsmath/amsgen.sty)) (/usr/share/texlive/texmf-dist/tex/latex/amsmath/amsbsy.sty) (/usr/share/texlive/texmf-dist/tex/latex/amsmath/amsopn.sty)) (/usr/share/texlive/texmf-dist/tex/latex/amscls/amsthm.sty) (/usr/share/texlive/texmf-dist/tex/latex/amsfonts/amssymb.sty (/usr/share/texlive/texmf-dist/tex/latex/amsfonts/amsfonts.sty)) (/usr/share/texlive/texmf-dist/tex/latex/tools/bm.sty) (/usr/share/texmf/tex/latex/preview/preview.sty) (./math.aux) (/usr/share/texlive/texmf-dist/tex/latex/ucs/ucsencs.def) Preview: Fontsize 12pt ! Missing $ inserted. <inserted text> $ l.14 \mu _{n}^{\prime}=\Gamma\left(1+\frac{n}{c}\right) (/usr/share/texlive/texmf-dist/tex/latex/amsfonts/umsa.fd) (/usr/share/texlive/texmf-dist/tex/latex/amsfonts/umsb.fd) ! Missing $ inserted. <inserted text> $ l.15 \end{preview} [1] (./math.aux) ) (see the transcript file for additional information) Output written on math.dvi (1 page, 460 bytes). Transcript written on math.log.
System Message: WARNING/2 ( h\left[X\right]=-\frac{\gamma}{c}-\log\left(c\right)+\gamma+1)
latex exited with error: [stderr] [stdout] This is pdfTeX, Version 3.1415926-2.4-1.40.13 (TeX Live 2012/Debian) restricted \write18 enabled. entering extended mode (./math.tex LaTeX2e <2011/06/27> Babel <v3.8m> and hyphenation patterns for english, dumylang, nohyphenation, lo aded. (/usr/share/texlive/texmf-dist/tex/latex/base/article.cls Document Class: article 2007/10/19 v1.4h Standard LaTeX document class (/usr/share/texlive/texmf-dist/tex/latex/base/size12.clo)) (/usr/share/texlive/texmf-dist/tex/latex/base/inputenc.sty (/usr/share/texlive/texmf-dist/tex/latex/ucs/utf8x.def)) (/usr/share/texlive/texmf-dist/tex/latex/ucs/ucs.sty (/usr/share/texlive/texmf-dist/tex/latex/ucs/data/uni-global.def)) (/usr/share/texlive/texmf-dist/tex/latex/amsmath/amsmath.sty For additional information on amsmath, use the `?’ option. (/usr/share/texlive/texmf-dist/tex/latex/amsmath/amstext.sty (/usr/share/texlive/texmf-dist/tex/latex/amsmath/amsgen.sty)) (/usr/share/texlive/texmf-dist/tex/latex/amsmath/amsbsy.sty) (/usr/share/texlive/texmf-dist/tex/latex/amsmath/amsopn.sty)) (/usr/share/texlive/texmf-dist/tex/latex/amscls/amsthm.sty) (/usr/share/texlive/texmf-dist/tex/latex/amsfonts/amssymb.sty (/usr/share/texlive/texmf-dist/tex/latex/amsfonts/amsfonts.sty)) (/usr/share/texlive/texmf-dist/tex/latex/tools/bm.sty) (/usr/share/texmf/tex/latex/preview/preview.sty) (./math.aux) (/usr/share/texlive/texmf-dist/tex/latex/ucs/ucsencs.def) Preview: Fontsize 12pt ! Missing $ inserted. <inserted text> $ l.14 h\left [X\right]=-\frac{\gamma}{c}-\log\left(c\right)+\gamma+1 (/usr/share/texlive/texmf-dist/tex/latex/amsfonts/umsa.fd) (/usr/share/texlive/texmf-dist/tex/latex/amsfonts/umsb.fd) ! Missing $ inserted. <inserted text> $ l.15 \end{preview} [1] (./math.aux) ) (see the transcript file for additional information) Output written on math.dvi (1 page, 436 bytes). Transcript written on math.log.where
is Euler’s constant and equal to
System Message: WARNING/2 ( \gamma\approx0.57721566490153286061.)
latex exited with error: [stderr] [stdout] This is pdfTeX, Version 3.1415926-2.4-1.40.13 (TeX Live 2012/Debian) restricted \write18 enabled. entering extended mode (./math.tex LaTeX2e <2011/06/27> Babel <v3.8m> and hyphenation patterns for english, dumylang, nohyphenation, lo aded. (/usr/share/texlive/texmf-dist/tex/latex/base/article.cls Document Class: article 2007/10/19 v1.4h Standard LaTeX document class (/usr/share/texlive/texmf-dist/tex/latex/base/size12.clo)) (/usr/share/texlive/texmf-dist/tex/latex/base/inputenc.sty (/usr/share/texlive/texmf-dist/tex/latex/ucs/utf8x.def)) (/usr/share/texlive/texmf-dist/tex/latex/ucs/ucs.sty (/usr/share/texlive/texmf-dist/tex/latex/ucs/data/uni-global.def)) (/usr/share/texlive/texmf-dist/tex/latex/amsmath/amsmath.sty For additional information on amsmath, use the `?’ option. (/usr/share/texlive/texmf-dist/tex/latex/amsmath/amstext.sty (/usr/share/texlive/texmf-dist/tex/latex/amsmath/amsgen.sty)) (/usr/share/texlive/texmf-dist/tex/latex/amsmath/amsbsy.sty) (/usr/share/texlive/texmf-dist/tex/latex/amsmath/amsopn.sty)) (/usr/share/texlive/texmf-dist/tex/latex/amscls/amsthm.sty) (/usr/share/texlive/texmf-dist/tex/latex/amsfonts/amssymb.sty (/usr/share/texlive/texmf-dist/tex/latex/amsfonts/amsfonts.sty)) (/usr/share/texlive/texmf-dist/tex/latex/tools/bm.sty) (/usr/share/texmf/tex/latex/preview/preview.sty) (./math.aux) (/usr/share/texlive/texmf-dist/tex/latex/ucs/ucsencs.def) Preview: Fontsize 12pt ! Missing $ inserted. <inserted text> $ l.14 \gamma \approx0.57721566490153286061. (/usr/share/texlive/texmf-dist/tex/latex/amsfonts/umsa.fd) (/usr/share/texlive/texmf-dist/tex/latex/amsfonts/umsb.fd) ! Missing $ inserted. <inserted text> $ l.15 \end{preview} [1] (./math.aux) ) (see the transcript file for additional information) Output written on math.dvi (1 page, 300 bytes). Transcript written on math.log.Defined for
and
.

The mean is the negative of the right-skewed Frechet distribution given above, and the other statistical parameters can be computed from
System Message: WARNING/2 ( \mu_{n}^{\prime}=\left(-1\right)^{n}\Gamma\left(1+\frac{n}{c}\right).)
latex exited with error: [stderr] [stdout] This is pdfTeX, Version 3.1415926-2.4-1.40.13 (TeX Live 2012/Debian) restricted \write18 enabled. entering extended mode (./math.tex LaTeX2e <2011/06/27> Babel <v3.8m> and hyphenation patterns for english, dumylang, nohyphenation, lo aded. (/usr/share/texlive/texmf-dist/tex/latex/base/article.cls Document Class: article 2007/10/19 v1.4h Standard LaTeX document class (/usr/share/texlive/texmf-dist/tex/latex/base/size12.clo)) (/usr/share/texlive/texmf-dist/tex/latex/base/inputenc.sty (/usr/share/texlive/texmf-dist/tex/latex/ucs/utf8x.def)) (/usr/share/texlive/texmf-dist/tex/latex/ucs/ucs.sty (/usr/share/texlive/texmf-dist/tex/latex/ucs/data/uni-global.def)) (/usr/share/texlive/texmf-dist/tex/latex/amsmath/amsmath.sty For additional information on amsmath, use the `?’ option. (/usr/share/texlive/texmf-dist/tex/latex/amsmath/amstext.sty (/usr/share/texlive/texmf-dist/tex/latex/amsmath/amsgen.sty)) (/usr/share/texlive/texmf-dist/tex/latex/amsmath/amsbsy.sty) (/usr/share/texlive/texmf-dist/tex/latex/amsmath/amsopn.sty)) (/usr/share/texlive/texmf-dist/tex/latex/amscls/amsthm.sty) (/usr/share/texlive/texmf-dist/tex/latex/amsfonts/amssymb.sty (/usr/share/texlive/texmf-dist/tex/latex/amsfonts/amsfonts.sty)) (/usr/share/texlive/texmf-dist/tex/latex/tools/bm.sty) (/usr/share/texmf/tex/latex/preview/preview.sty) (./math.aux) (/usr/share/texlive/texmf-dist/tex/latex/ucs/ucsencs.def) Preview: Fontsize 12pt ! Missing $ inserted. <inserted text> $ l.14 \mu _{n}^{\prime}=\left(-1\right)^{n}\Gamma\left(1+\frac{n}{c}\right). (/usr/share/texlive/texmf-dist/tex/latex/amsfonts/umsa.fd) (/usr/share/texlive/texmf-dist/tex/latex/amsfonts/umsb.fd) ! Missing $ inserted. <inserted text> $ l.15 \end{preview} [1] (./math.aux) ) (see the transcript file for additional information) Output written on math.dvi (1 page, 544 bytes). Transcript written on math.log.System Message: WARNING/2 ( h\left[X\right]=-\frac{\gamma}{c}-\log\left(c\right)+\gamma+1)
latex exited with error: [stderr] [stdout] This is pdfTeX, Version 3.1415926-2.4-1.40.13 (TeX Live 2012/Debian) restricted \write18 enabled. entering extended mode (./math.tex LaTeX2e <2011/06/27> Babel <v3.8m> and hyphenation patterns for english, dumylang, nohyphenation, lo aded. (/usr/share/texlive/texmf-dist/tex/latex/base/article.cls Document Class: article 2007/10/19 v1.4h Standard LaTeX document class (/usr/share/texlive/texmf-dist/tex/latex/base/size12.clo)) (/usr/share/texlive/texmf-dist/tex/latex/base/inputenc.sty (/usr/share/texlive/texmf-dist/tex/latex/ucs/utf8x.def)) (/usr/share/texlive/texmf-dist/tex/latex/ucs/ucs.sty (/usr/share/texlive/texmf-dist/tex/latex/ucs/data/uni-global.def)) (/usr/share/texlive/texmf-dist/tex/latex/amsmath/amsmath.sty For additional information on amsmath, use the `?’ option. (/usr/share/texlive/texmf-dist/tex/latex/amsmath/amstext.sty (/usr/share/texlive/texmf-dist/tex/latex/amsmath/amsgen.sty)) (/usr/share/texlive/texmf-dist/tex/latex/amsmath/amsbsy.sty) (/usr/share/texlive/texmf-dist/tex/latex/amsmath/amsopn.sty)) (/usr/share/texlive/texmf-dist/tex/latex/amscls/amsthm.sty) (/usr/share/texlive/texmf-dist/tex/latex/amsfonts/amssymb.sty (/usr/share/texlive/texmf-dist/tex/latex/amsfonts/amsfonts.sty)) (/usr/share/texlive/texmf-dist/tex/latex/tools/bm.sty) (/usr/share/texmf/tex/latex/preview/preview.sty) (./math.aux) (/usr/share/texlive/texmf-dist/tex/latex/ucs/ucsencs.def) Preview: Fontsize 12pt ! Missing $ inserted. <inserted text> $ l.14 h\left [X\right]=-\frac{\gamma}{c}-\log\left(c\right)+\gamma+1 (/usr/share/texlive/texmf-dist/tex/latex/amsfonts/umsa.fd) (/usr/share/texlive/texmf-dist/tex/latex/amsfonts/umsb.fd) ! Missing $ inserted. <inserted text> $ l.15 \end{preview} [1] (./math.aux) ) (see the transcript file for additional information) Output written on math.dvi (1 page, 436 bytes). Transcript written on math.log.where
is Euler’s constant and equal to
System Message: WARNING/2 ( \gamma\approx0.57721566490153286061.)
latex exited with error: [stderr] [stdout] This is pdfTeX, Version 3.1415926-2.4-1.40.13 (TeX Live 2012/Debian) restricted \write18 enabled. entering extended mode (./math.tex LaTeX2e <2011/06/27> Babel <v3.8m> and hyphenation patterns for english, dumylang, nohyphenation, lo aded. (/usr/share/texlive/texmf-dist/tex/latex/base/article.cls Document Class: article 2007/10/19 v1.4h Standard LaTeX document class (/usr/share/texlive/texmf-dist/tex/latex/base/size12.clo)) (/usr/share/texlive/texmf-dist/tex/latex/base/inputenc.sty (/usr/share/texlive/texmf-dist/tex/latex/ucs/utf8x.def)) (/usr/share/texlive/texmf-dist/tex/latex/ucs/ucs.sty (/usr/share/texlive/texmf-dist/tex/latex/ucs/data/uni-global.def)) (/usr/share/texlive/texmf-dist/tex/latex/amsmath/amsmath.sty For additional information on amsmath, use the `?’ option. (/usr/share/texlive/texmf-dist/tex/latex/amsmath/amstext.sty (/usr/share/texlive/texmf-dist/tex/latex/amsmath/amsgen.sty)) (/usr/share/texlive/texmf-dist/tex/latex/amsmath/amsbsy.sty) (/usr/share/texlive/texmf-dist/tex/latex/amsmath/amsopn.sty)) (/usr/share/texlive/texmf-dist/tex/latex/amscls/amsthm.sty) (/usr/share/texlive/texmf-dist/tex/latex/amsfonts/amssymb.sty (/usr/share/texlive/texmf-dist/tex/latex/amsfonts/amsfonts.sty)) (/usr/share/texlive/texmf-dist/tex/latex/tools/bm.sty) (/usr/share/texmf/tex/latex/preview/preview.sty) (./math.aux) (/usr/share/texlive/texmf-dist/tex/latex/ucs/ucsencs.def) Preview: Fontsize 12pt ! Missing $ inserted. <inserted text> $ l.14 \gamma \approx0.57721566490153286061. (/usr/share/texlive/texmf-dist/tex/latex/amsfonts/umsa.fd) (/usr/share/texlive/texmf-dist/tex/latex/amsfonts/umsb.fd) ! Missing $ inserted. <inserted text> $ l.15 \end{preview} [1] (./math.aux) ) (see the transcript file for additional information) Output written on math.dvi (1 page, 300 bytes). Transcript written on math.log.The standard form for the gamma distribution is
valid for
.

System Message: WARNING/2 ( M\left(t\right)=\frac{1}{\left(1-t\right)^{\alpha}})
latex exited with error: [stderr] [stdout] This is pdfTeX, Version 3.1415926-2.4-1.40.13 (TeX Live 2012/Debian) restricted \write18 enabled. entering extended mode (./math.tex LaTeX2e <2011/06/27> Babel <v3.8m> and hyphenation patterns for english, dumylang, nohyphenation, lo aded. (/usr/share/texlive/texmf-dist/tex/latex/base/article.cls Document Class: article 2007/10/19 v1.4h Standard LaTeX document class (/usr/share/texlive/texmf-dist/tex/latex/base/size12.clo)) (/usr/share/texlive/texmf-dist/tex/latex/base/inputenc.sty (/usr/share/texlive/texmf-dist/tex/latex/ucs/utf8x.def)) (/usr/share/texlive/texmf-dist/tex/latex/ucs/ucs.sty (/usr/share/texlive/texmf-dist/tex/latex/ucs/data/uni-global.def)) (/usr/share/texlive/texmf-dist/tex/latex/amsmath/amsmath.sty For additional information on amsmath, use the `?’ option. (/usr/share/texlive/texmf-dist/tex/latex/amsmath/amstext.sty (/usr/share/texlive/texmf-dist/tex/latex/amsmath/amsgen.sty)) (/usr/share/texlive/texmf-dist/tex/latex/amsmath/amsbsy.sty) (/usr/share/texlive/texmf-dist/tex/latex/amsmath/amsopn.sty)) (/usr/share/texlive/texmf-dist/tex/latex/amscls/amsthm.sty) (/usr/share/texlive/texmf-dist/tex/latex/amsfonts/amssymb.sty (/usr/share/texlive/texmf-dist/tex/latex/amsfonts/amsfonts.sty)) (/usr/share/texlive/texmf-dist/tex/latex/tools/bm.sty) (/usr/share/texmf/tex/latex/preview/preview.sty) (./math.aux) (/usr/share/texlive/texmf-dist/tex/latex/ucs/ucsencs.def) Preview: Fontsize 12pt ! Missing $ inserted. <inserted text> $ l.14 M\left (t\right)=\frac{1}{\left(1-t\right)^{\alpha}} (/usr/share/texlive/texmf-dist/tex/latex/amsfonts/umsa.fd) (/usr/share/texlive/texmf-dist/tex/latex/amsfonts/umsb.fd) ! Missing $ inserted. <inserted text> $ l.15 \end{preview} [1] (./math.aux) ) (see the transcript file for additional information) Output written on math.dvi (1 page, 476 bytes). Transcript written on math.log.
System Message: WARNING/2 ( h\left[X\right]=\Psi\left(a\right)\left[1-a\right]+a+\log\Gamma\left(a\right))
latex exited with error: [stderr] [stdout] This is pdfTeX, Version 3.1415926-2.4-1.40.13 (TeX Live 2012/Debian) restricted \write18 enabled. entering extended mode (./math.tex LaTeX2e <2011/06/27> Babel <v3.8m> and hyphenation patterns for english, dumylang, nohyphenation, lo aded. (/usr/share/texlive/texmf-dist/tex/latex/base/article.cls Document Class: article 2007/10/19 v1.4h Standard LaTeX document class (/usr/share/texlive/texmf-dist/tex/latex/base/size12.clo)) (/usr/share/texlive/texmf-dist/tex/latex/base/inputenc.sty (/usr/share/texlive/texmf-dist/tex/latex/ucs/utf8x.def)) (/usr/share/texlive/texmf-dist/tex/latex/ucs/ucs.sty (/usr/share/texlive/texmf-dist/tex/latex/ucs/data/uni-global.def)) (/usr/share/texlive/texmf-dist/tex/latex/amsmath/amsmath.sty For additional information on amsmath, use the `?’ option. (/usr/share/texlive/texmf-dist/tex/latex/amsmath/amstext.sty (/usr/share/texlive/texmf-dist/tex/latex/amsmath/amsgen.sty)) (/usr/share/texlive/texmf-dist/tex/latex/amsmath/amsbsy.sty) (/usr/share/texlive/texmf-dist/tex/latex/amsmath/amsopn.sty)) (/usr/share/texlive/texmf-dist/tex/latex/amscls/amsthm.sty) (/usr/share/texlive/texmf-dist/tex/latex/amsfonts/amssymb.sty (/usr/share/texlive/texmf-dist/tex/latex/amsfonts/amsfonts.sty)) (/usr/share/texlive/texmf-dist/tex/latex/tools/bm.sty) (/usr/share/texmf/tex/latex/preview/preview.sty) (./math.aux) (/usr/share/texlive/texmf-dist/tex/latex/ucs/ucsencs.def) Preview: Fontsize 12pt ! Missing $ inserted. <inserted text> $ l.14 h\left [X\right]=\Psi\left(a\right)\left[1-a\right]+a+\log\Gamma\left(... (/usr/share/texlive/texmf-dist/tex/latex/amsfonts/umsa.fd) (/usr/share/texlive/texmf-dist/tex/latex/amsfonts/umsb.fd) ! Missing $ inserted. <inserted text> $ l.15 \end{preview} [1] (./math.aux) ) (see the transcript file for additional information) Output written on math.dvi (1 page, 384 bytes). Transcript written on math.log.where
System Message: WARNING/2 ( \Psi\left(a\right)=\frac{\Gamma^{\prime}\left(a\right)}{\Gamma\left(a\right)}.)
latex exited with error: [stderr] [stdout] This is pdfTeX, Version 3.1415926-2.4-1.40.13 (TeX Live 2012/Debian) restricted \write18 enabled. entering extended mode (./math.tex LaTeX2e <2011/06/27> Babel <v3.8m> and hyphenation patterns for english, dumylang, nohyphenation, lo aded. (/usr/share/texlive/texmf-dist/tex/latex/base/article.cls Document Class: article 2007/10/19 v1.4h Standard LaTeX document class (/usr/share/texlive/texmf-dist/tex/latex/base/size12.clo)) (/usr/share/texlive/texmf-dist/tex/latex/base/inputenc.sty (/usr/share/texlive/texmf-dist/tex/latex/ucs/utf8x.def)) (/usr/share/texlive/texmf-dist/tex/latex/ucs/ucs.sty (/usr/share/texlive/texmf-dist/tex/latex/ucs/data/uni-global.def)) (/usr/share/texlive/texmf-dist/tex/latex/amsmath/amsmath.sty For additional information on amsmath, use the `?’ option. (/usr/share/texlive/texmf-dist/tex/latex/amsmath/amstext.sty (/usr/share/texlive/texmf-dist/tex/latex/amsmath/amsgen.sty)) (/usr/share/texlive/texmf-dist/tex/latex/amsmath/amsbsy.sty) (/usr/share/texlive/texmf-dist/tex/latex/amsmath/amsopn.sty)) (/usr/share/texlive/texmf-dist/tex/latex/amscls/amsthm.sty) (/usr/share/texlive/texmf-dist/tex/latex/amsfonts/amssymb.sty (/usr/share/texlive/texmf-dist/tex/latex/amsfonts/amsfonts.sty)) (/usr/share/texlive/texmf-dist/tex/latex/tools/bm.sty) (/usr/share/texmf/tex/latex/preview/preview.sty) (./math.aux) (/usr/share/texlive/texmf-dist/tex/latex/ucs/ucsencs.def) Preview: Fontsize 12pt ! Missing $ inserted. <inserted text> $ l.14 \Psi \left(a\right)=\frac{\Gamma^{\prime}\left(a\right)}{\Gamma\left(a... (/usr/share/texlive/texmf-dist/tex/latex/amsfonts/umsa.fd) (/usr/share/texlive/texmf-dist/tex/latex/amsfonts/umsb.fd) ! Missing $ inserted. <inserted text> $ l.15 \end{preview} [1] (./math.aux) ) (see the transcript file for additional information) Output written on math.dvi (1 page, 464 bytes). Transcript written on math.log.Has been used in the analysis of extreme values. Has one shape
parameter
And 
![\begin{eqnarray*} f\left(x;c\right) & = & \frac{c\exp\left(-x\right)}{\left[1+\exp\left(-x\right)\right]^{c+1}}\\ F\left(x;c\right) & = & \frac{1}{\left[1+\exp\left(-x\right)\right]^{c}}\\ G\left(q;c\right) & = & -\log\left(q^{-1/c}-1\right)\end{eqnarray*}](../../_images/math/0dbccb8d0941231f187ebfbd6afaf23def782b4a.png)
System Message: WARNING/2 ( M\left(t\right)=\frac{c}{1-t}\,_{2}F_{1}\left(1+c,\,1-t\,;\,2-t\,;-1\right))
latex exited with error: [stderr] [stdout] This is pdfTeX, Version 3.1415926-2.4-1.40.13 (TeX Live 2012/Debian) restricted \write18 enabled. entering extended mode (./math.tex LaTeX2e <2011/06/27> Babel <v3.8m> and hyphenation patterns for english, dumylang, nohyphenation, lo aded. (/usr/share/texlive/texmf-dist/tex/latex/base/article.cls Document Class: article 2007/10/19 v1.4h Standard LaTeX document class (/usr/share/texlive/texmf-dist/tex/latex/base/size12.clo)) (/usr/share/texlive/texmf-dist/tex/latex/base/inputenc.sty (/usr/share/texlive/texmf-dist/tex/latex/ucs/utf8x.def)) (/usr/share/texlive/texmf-dist/tex/latex/ucs/ucs.sty (/usr/share/texlive/texmf-dist/tex/latex/ucs/data/uni-global.def)) (/usr/share/texlive/texmf-dist/tex/latex/amsmath/amsmath.sty For additional information on amsmath, use the `?’ option. (/usr/share/texlive/texmf-dist/tex/latex/amsmath/amstext.sty (/usr/share/texlive/texmf-dist/tex/latex/amsmath/amsgen.sty)) (/usr/share/texlive/texmf-dist/tex/latex/amsmath/amsbsy.sty) (/usr/share/texlive/texmf-dist/tex/latex/amsmath/amsopn.sty)) (/usr/share/texlive/texmf-dist/tex/latex/amscls/amsthm.sty) (/usr/share/texlive/texmf-dist/tex/latex/amsfonts/amssymb.sty (/usr/share/texlive/texmf-dist/tex/latex/amsfonts/amsfonts.sty)) (/usr/share/texlive/texmf-dist/tex/latex/tools/bm.sty) (/usr/share/texmf/tex/latex/preview/preview.sty) (./math.aux) (/usr/share/texlive/texmf-dist/tex/latex/ucs/ucsencs.def) Preview: Fontsize 12pt ! Missing $ inserted. <inserted text> $ l.14 M\left (t\right)=\frac{c}{1-t}\,_{2}F_{1}\left(1+c,\,1-t\,;\,2-t\,;-1\... (/usr/share/texlive/texmf-dist/tex/latex/amsfonts/umsa.fd) (/usr/share/texlive/texmf-dist/tex/latex/amsfonts/umsb.fd) ! Missing $ inserted. <inserted text> $ l.15 \end{preview} [1] (./math.aux) ) (see the transcript file for additional information) Output written on math.dvi (1 page, 544 bytes). Transcript written on math.log.
Note that the polygamma function is

where
is a generalization of the Riemann zeta function called the Hurwitz
zeta function Note that 
Shape parameter
and defined for
for all
and
if
is negative.
![\begin{eqnarray*} f\left(x;c\right) & = & \left(1+cx\right)^{-1-\frac{1}{c}}\\ F\left(x;c\right) & = & 1-\frac{1}{\left(1+cx\right)^{1/c}}\\ G\left(q;c\right) & = & \frac{1}{c}\left[\left(\frac{1}{1-q}\right)^{c}-1\right]\end{eqnarray*}](../../_images/math/f6542b4b89d5c34f62698cdacd3dc726b2758720.png)
System Message: WARNING/2 ( M\left(t\right)=\left\{ \begin{array}{cc} \left(-\frac{t}{c}\right)^{\frac{1}{c}}e^{-\frac{t}{c}}\left[\Gamma\left(1-\frac{1}{c}\right)+\Gamma\left(-\frac{1}{c},-\frac{t}{c}\right)-\pi\csc\left(\frac{\pi}{c}\right)/\Gamma\left(\frac{1}{c}\right)\right] & c>0\\ \left(\frac{\left|c\right|}{t}\right)^{1/\left|c\right|}\Gamma\left[\frac{1}{\left|c\right|},\frac{t}{\left|c\right|}\right] & c<0\end{array}\right.)
latex exited with error: [stderr] [stdout] This is pdfTeX, Version 3.1415926-2.4-1.40.13 (TeX Live 2012/Debian) restricted \write18 enabled. entering extended mode (./math.tex LaTeX2e <2011/06/27> Babel <v3.8m> and hyphenation patterns for english, dumylang, nohyphenation, lo aded. (/usr/share/texlive/texmf-dist/tex/latex/base/article.cls Document Class: article 2007/10/19 v1.4h Standard LaTeX document class (/usr/share/texlive/texmf-dist/tex/latex/base/size12.clo)) (/usr/share/texlive/texmf-dist/tex/latex/base/inputenc.sty (/usr/share/texlive/texmf-dist/tex/latex/ucs/utf8x.def)) (/usr/share/texlive/texmf-dist/tex/latex/ucs/ucs.sty (/usr/share/texlive/texmf-dist/tex/latex/ucs/data/uni-global.def)) (/usr/share/texlive/texmf-dist/tex/latex/amsmath/amsmath.sty For additional information on amsmath, use the `?’ option. (/usr/share/texlive/texmf-dist/tex/latex/amsmath/amstext.sty (/usr/share/texlive/texmf-dist/tex/latex/amsmath/amsgen.sty)) (/usr/share/texlive/texmf-dist/tex/latex/amsmath/amsbsy.sty) (/usr/share/texlive/texmf-dist/tex/latex/amsmath/amsopn.sty)) (/usr/share/texlive/texmf-dist/tex/latex/amscls/amsthm.sty) (/usr/share/texlive/texmf-dist/tex/latex/amsfonts/amssymb.sty (/usr/share/texlive/texmf-dist/tex/latex/amsfonts/amsfonts.sty)) (/usr/share/texlive/texmf-dist/tex/latex/tools/bm.sty) (/usr/share/texmf/tex/latex/preview/preview.sty) (./math.aux) (/usr/share/texlive/texmf-dist/tex/latex/ucs/ucsencs.def) Preview: Fontsize 12pt ! Missing $ inserted. <inserted text> $ l.14 M\left (t\right)=\left\{ \begin{array}{cc} \left(-\frac{t}{c}\right)^{... (/usr/share/texlive/texmf-dist/tex/latex/amsfonts/umsa.fd) (/usr/share/texlive/texmf-dist/tex/latex/amsfonts/umsb.fd) ! Missing $ inserted. <inserted text> $ l.15 \end{preview} [1] (./math.aux) ) (see the transcript file for additional information) Output written on math.dvi (1 page, 1492 bytes). Transcript written on math.log.System Message: WARNING/2 ( \mu_{n}^{\prime}=\frac{\left(-1\right)^{n}}{c^{n}}\sum_{k=0}^{n}\left(\begin{array}{c} n\\ k\end{array}\right)\frac{\left(-1\right)^{k}}{1-ck}\quad cn<1)
latex exited with error: [stderr] [stdout] This is pdfTeX, Version 3.1415926-2.4-1.40.13 (TeX Live 2012/Debian) restricted \write18 enabled. entering extended mode (./math.tex LaTeX2e <2011/06/27> Babel <v3.8m> and hyphenation patterns for english, dumylang, nohyphenation, lo aded. (/usr/share/texlive/texmf-dist/tex/latex/base/article.cls Document Class: article 2007/10/19 v1.4h Standard LaTeX document class (/usr/share/texlive/texmf-dist/tex/latex/base/size12.clo)) (/usr/share/texlive/texmf-dist/tex/latex/base/inputenc.sty (/usr/share/texlive/texmf-dist/tex/latex/ucs/utf8x.def)) (/usr/share/texlive/texmf-dist/tex/latex/ucs/ucs.sty (/usr/share/texlive/texmf-dist/tex/latex/ucs/data/uni-global.def)) (/usr/share/texlive/texmf-dist/tex/latex/amsmath/amsmath.sty For additional information on amsmath, use the `?’ option. (/usr/share/texlive/texmf-dist/tex/latex/amsmath/amstext.sty (/usr/share/texlive/texmf-dist/tex/latex/amsmath/amsgen.sty)) (/usr/share/texlive/texmf-dist/tex/latex/amsmath/amsbsy.sty) (/usr/share/texlive/texmf-dist/tex/latex/amsmath/amsopn.sty)) (/usr/share/texlive/texmf-dist/tex/latex/amscls/amsthm.sty) (/usr/share/texlive/texmf-dist/tex/latex/amsfonts/amssymb.sty (/usr/share/texlive/texmf-dist/tex/latex/amsfonts/amsfonts.sty)) (/usr/share/texlive/texmf-dist/tex/latex/tools/bm.sty) (/usr/share/texmf/tex/latex/preview/preview.sty) (./math.aux) (/usr/share/texlive/texmf-dist/tex/latex/ucs/ucsencs.def) Preview: Fontsize 12pt ! Missing $ inserted. <inserted text> $ l.14 \mu _{n}^{\prime}=\frac{\left(-1\right)^{n}}{c^{n}}\sum_{k=0}^{n}\left... (/usr/share/texlive/texmf-dist/tex/latex/amsfonts/umsa.fd) (/usr/share/texlive/texmf-dist/tex/latex/amsfonts/umsb.fd) ! Missing $ inserted. <inserted text> $ l.15 \end{preview} [1] (./math.aux) ) (see the transcript file for additional information) Output written on math.dvi (1 page, 728 bytes). Transcript written on math.log.
Thus,

System Message: WARNING/2 ( h\left[X\right]=1+c\quad c>0)
latex exited with error: [stderr] [stdout] This is pdfTeX, Version 3.1415926-2.4-1.40.13 (TeX Live 2012/Debian) restricted \write18 enabled. entering extended mode (./math.tex LaTeX2e <2011/06/27> Babel <v3.8m> and hyphenation patterns for english, dumylang, nohyphenation, lo aded. (/usr/share/texlive/texmf-dist/tex/latex/base/article.cls Document Class: article 2007/10/19 v1.4h Standard LaTeX document class (/usr/share/texlive/texmf-dist/tex/latex/base/size12.clo)) (/usr/share/texlive/texmf-dist/tex/latex/base/inputenc.sty (/usr/share/texlive/texmf-dist/tex/latex/ucs/utf8x.def)) (/usr/share/texlive/texmf-dist/tex/latex/ucs/ucs.sty (/usr/share/texlive/texmf-dist/tex/latex/ucs/data/uni-global.def)) (/usr/share/texlive/texmf-dist/tex/latex/amsmath/amsmath.sty For additional information on amsmath, use the `?’ option. (/usr/share/texlive/texmf-dist/tex/latex/amsmath/amstext.sty (/usr/share/texlive/texmf-dist/tex/latex/amsmath/amsgen.sty)) (/usr/share/texlive/texmf-dist/tex/latex/amsmath/amsbsy.sty) (/usr/share/texlive/texmf-dist/tex/latex/amsmath/amsopn.sty)) (/usr/share/texlive/texmf-dist/tex/latex/amscls/amsthm.sty) (/usr/share/texlive/texmf-dist/tex/latex/amsfonts/amssymb.sty (/usr/share/texlive/texmf-dist/tex/latex/amsfonts/amsfonts.sty)) (/usr/share/texlive/texmf-dist/tex/latex/tools/bm.sty) (/usr/share/texmf/tex/latex/preview/preview.sty) (./math.aux) (/usr/share/texlive/texmf-dist/tex/latex/ucs/ucsencs.def) Preview: Fontsize 12pt ! Missing $ inserted. <inserted text> $ l.14 h\left [X\right]=1+c\quad c>0 (/usr/share/texlive/texmf-dist/tex/latex/amsfonts/umsa.fd) (/usr/share/texlive/texmf-dist/tex/latex/amsfonts/umsb.fd) ! Missing $ inserted. <inserted text> $ l.15 \end{preview} [1] (./math.aux) ) (see the transcript file for additional information) Output written on math.dvi (1 page, 268 bytes). Transcript written on math.log.Extreme value distributions with shape parameter
.
For
defined on 
![\begin{eqnarray*} f\left(x;c\right) & = & \exp\left[-\left(1-cx\right)^{1/c}\right]\left(1-cx\right)^{1/c-1}\\ F\left(x;c\right) & = & \exp\left[-\left(1-cx\right)^{1/c}\right]\\ G\left(q;c\right) & = & \frac{1}{c}\left[1-\left(-\log q\right)^{c}\right]\end{eqnarray*}](../../_images/math/252378299611e1f97e3b3c1ecb070451c5913e3c.png)
System Message: WARNING/2 ( \mu_{n}^{\prime}=\frac{1}{c^{n}}\sum_{k=0}^{n}\left(\begin{array}{c} n\\ k\end{array}\right)\left(-1\right)^{k}\Gamma\left(ck+1\right)\quad cn>-1)
latex exited with error: [stderr] [stdout] This is pdfTeX, Version 3.1415926-2.4-1.40.13 (TeX Live 2012/Debian) restricted \write18 enabled. entering extended mode (./math.tex LaTeX2e <2011/06/27> Babel <v3.8m> and hyphenation patterns for english, dumylang, nohyphenation, lo aded. (/usr/share/texlive/texmf-dist/tex/latex/base/article.cls Document Class: article 2007/10/19 v1.4h Standard LaTeX document class (/usr/share/texlive/texmf-dist/tex/latex/base/size12.clo)) (/usr/share/texlive/texmf-dist/tex/latex/base/inputenc.sty (/usr/share/texlive/texmf-dist/tex/latex/ucs/utf8x.def)) (/usr/share/texlive/texmf-dist/tex/latex/ucs/ucs.sty (/usr/share/texlive/texmf-dist/tex/latex/ucs/data/uni-global.def)) (/usr/share/texlive/texmf-dist/tex/latex/amsmath/amsmath.sty For additional information on amsmath, use the `?’ option. (/usr/share/texlive/texmf-dist/tex/latex/amsmath/amstext.sty (/usr/share/texlive/texmf-dist/tex/latex/amsmath/amsgen.sty)) (/usr/share/texlive/texmf-dist/tex/latex/amsmath/amsbsy.sty) (/usr/share/texlive/texmf-dist/tex/latex/amsmath/amsopn.sty)) (/usr/share/texlive/texmf-dist/tex/latex/amscls/amsthm.sty) (/usr/share/texlive/texmf-dist/tex/latex/amsfonts/amssymb.sty (/usr/share/texlive/texmf-dist/tex/latex/amsfonts/amsfonts.sty)) (/usr/share/texlive/texmf-dist/tex/latex/tools/bm.sty) (/usr/share/texmf/tex/latex/preview/preview.sty) (./math.aux) (/usr/share/texlive/texmf-dist/tex/latex/ucs/ucsencs.def) Preview: Fontsize 12pt ! Missing $ inserted. <inserted text> $ l.14 \mu _{n}^{\prime}=\frac{1}{c^{n}}\sum_{k=0}^{n}\left(\begin{array}{c} ... (/usr/share/texlive/texmf-dist/tex/latex/amsfonts/umsa.fd) (/usr/share/texlive/texmf-dist/tex/latex/amsfonts/umsb.fd) ! Missing $ inserted. <inserted text> $ l.15 \end{preview} [1] (./math.aux) ) (see the transcript file for additional information) Output written on math.dvi (1 page, 732 bytes). Transcript written on math.log.So,

For
defined on
For
defined over all space
![\begin{eqnarray*} f\left(x;0\right) & = & \exp\left[-e^{-x}\right]e^{-x}\\ F\left(x;0\right) & = & \exp\left[-e^{-x}\right]\\ G\left(q;0\right) & = & -\log\left(-\log q\right)\end{eqnarray*}](../../_images/math/6bfe973580fddd0f29536986733acba131d82365.png)
This is just the (left-skewed) Gumbel distribution for c=0.

A general probability form that reduces to many common distributions:
and 
![\begin{eqnarray*} f\left(x;a,c\right) & = & \frac{\left|c\right|x^{ca-1}}{\Gamma\left(a\right)}\exp\left(-x^{c}\right)\\ F\left(x;a,c\right) & = & \begin{array}{cc} \frac{\Gamma\left(a,x^{c}\right)}{\Gamma\left(a\right)} & c>0\\ 1-\frac{\Gamma\left(a,x^{c}\right)}{\Gamma\left(a\right)} & c<0\end{array}\\ G\left(q;a,c\right) & = & \left\{ \Gamma^{-1}\left[a,\Gamma\left(a\right)q\right]\right\} ^{1/c}\quad c>0\\ & & \left\{ \Gamma^{-1}\left[a,\Gamma\left(a\right)\left(1-q\right)\right]\right\} ^{1/c}\quad c<0\end{eqnarray*}](../../_images/math/0312f7dff6300ac2ec5379ce61d5344c8b25d4b9.png)
System Message: WARNING/2 ( \mu_{n}^{\prime}=\frac{\Gamma\left(a+\frac{n}{c}\right)}{\Gamma\left(a\right)})
latex exited with error: [stderr] [stdout] This is pdfTeX, Version 3.1415926-2.4-1.40.13 (TeX Live 2012/Debian) restricted \write18 enabled. entering extended mode (./math.tex LaTeX2e <2011/06/27> Babel <v3.8m> and hyphenation patterns for english, dumylang, nohyphenation, lo aded. (/usr/share/texlive/texmf-dist/tex/latex/base/article.cls Document Class: article 2007/10/19 v1.4h Standard LaTeX document class (/usr/share/texlive/texmf-dist/tex/latex/base/size12.clo)) (/usr/share/texlive/texmf-dist/tex/latex/base/inputenc.sty (/usr/share/texlive/texmf-dist/tex/latex/ucs/utf8x.def)) (/usr/share/texlive/texmf-dist/tex/latex/ucs/ucs.sty (/usr/share/texlive/texmf-dist/tex/latex/ucs/data/uni-global.def)) (/usr/share/texlive/texmf-dist/tex/latex/amsmath/amsmath.sty For additional information on amsmath, use the `?’ option. (/usr/share/texlive/texmf-dist/tex/latex/amsmath/amstext.sty (/usr/share/texlive/texmf-dist/tex/latex/amsmath/amsgen.sty)) (/usr/share/texlive/texmf-dist/tex/latex/amsmath/amsbsy.sty) (/usr/share/texlive/texmf-dist/tex/latex/amsmath/amsopn.sty)) (/usr/share/texlive/texmf-dist/tex/latex/amscls/amsthm.sty) (/usr/share/texlive/texmf-dist/tex/latex/amsfonts/amssymb.sty (/usr/share/texlive/texmf-dist/tex/latex/amsfonts/amsfonts.sty)) (/usr/share/texlive/texmf-dist/tex/latex/tools/bm.sty) (/usr/share/texmf/tex/latex/preview/preview.sty) (./math.aux) (/usr/share/texlive/texmf-dist/tex/latex/ucs/ucsencs.def) Preview: Fontsize 12pt ! Missing $ inserted. <inserted text> $ l.14 \mu _{n}^{\prime}=\frac{\Gamma\left(a+\frac{n}{c}\right)}{\Gamma\left(... (/usr/share/texlive/texmf-dist/tex/latex/amsfonts/umsa.fd) (/usr/share/texlive/texmf-dist/tex/latex/amsfonts/umsb.fd) ! Missing $ inserted. <inserted text> $ l.15 \end{preview} [1] (./math.aux) ) (see the transcript file for additional information) Output written on math.dvi (1 page, 548 bytes). Transcript written on math.log.
Special cases are Weibull
, half-normal
and ordinary gamma distributions
If
then it is the inverted gamma distribution.
System Message: WARNING/2 ( h\left[X\right]=a-a\Psi\left(a\right)+\frac{1}{c}\Psi\left(a\right)+\log\Gamma\left(a\right)-\log\left|c\right|.)
latex exited with error: [stderr] [stdout] This is pdfTeX, Version 3.1415926-2.4-1.40.13 (TeX Live 2012/Debian) restricted \write18 enabled. entering extended mode (./math.tex LaTeX2e <2011/06/27> Babel <v3.8m> and hyphenation patterns for english, dumylang, nohyphenation, lo aded. (/usr/share/texlive/texmf-dist/tex/latex/base/article.cls Document Class: article 2007/10/19 v1.4h Standard LaTeX document class (/usr/share/texlive/texmf-dist/tex/latex/base/size12.clo)) (/usr/share/texlive/texmf-dist/tex/latex/base/inputenc.sty (/usr/share/texlive/texmf-dist/tex/latex/ucs/utf8x.def)) (/usr/share/texlive/texmf-dist/tex/latex/ucs/ucs.sty (/usr/share/texlive/texmf-dist/tex/latex/ucs/data/uni-global.def)) (/usr/share/texlive/texmf-dist/tex/latex/amsmath/amsmath.sty For additional information on amsmath, use the `?’ option. (/usr/share/texlive/texmf-dist/tex/latex/amsmath/amstext.sty (/usr/share/texlive/texmf-dist/tex/latex/amsmath/amsgen.sty)) (/usr/share/texlive/texmf-dist/tex/latex/amsmath/amsbsy.sty) (/usr/share/texlive/texmf-dist/tex/latex/amsmath/amsopn.sty)) (/usr/share/texlive/texmf-dist/tex/latex/amscls/amsthm.sty) (/usr/share/texlive/texmf-dist/tex/latex/amsfonts/amssymb.sty (/usr/share/texlive/texmf-dist/tex/latex/amsfonts/amsfonts.sty)) (/usr/share/texlive/texmf-dist/tex/latex/tools/bm.sty) (/usr/share/texmf/tex/latex/preview/preview.sty) (./math.aux) (/usr/share/texlive/texmf-dist/tex/latex/ucs/ucsencs.def) Preview: Fontsize 12pt ! Missing $ inserted. <inserted text> $ l.14 h\left [X\right]=a-a\Psi\left(a\right)+\frac{1}{c}\Psi\left(a\right)+\... (/usr/share/texlive/texmf-dist/tex/latex/amsfonts/umsa.fd) (/usr/share/texlive/texmf-dist/tex/latex/amsfonts/umsb.fd) ! Missing $ inserted. <inserted text> $ l.15 \end{preview} [1] (./math.aux) ) (see the transcript file for additional information) Output written on math.dvi (1 page, 552 bytes). Transcript written on math.log.For
and
. In JKB the two shape parameters
are reduced to the single shape-parameter
. As
is just a scale parameter when
. If
the distribution reduces to the exponential distribution scaled by
Thus, the standard form is given as
![\begin{eqnarray*} f\left(x;c\right) & = & ce^{x}\exp\left[-c\left(e^{x}-1\right)\right]\\ F\left(x;c\right) & = & 1-\exp\left[-c\left(e^{x}-1\right)\right]\\ G\left(q;c\right) & = & \log\left[1-\frac{1}{c}\log\left(1-q\right)\right]\end{eqnarray*}](../../_images/math/ed8e92f274ad030b6b37422c18a7e7784854b5ea.png)
System Message: WARNING/2 ( h\left[X\right]=1-\log\left(c\right)-e^{c}\textrm{Ei}\left(1,c\right),)
latex exited with error: [stderr] [stdout] This is pdfTeX, Version 3.1415926-2.4-1.40.13 (TeX Live 2012/Debian) restricted \write18 enabled. entering extended mode (./math.tex LaTeX2e <2011/06/27> Babel <v3.8m> and hyphenation patterns for english, dumylang, nohyphenation, lo aded. (/usr/share/texlive/texmf-dist/tex/latex/base/article.cls Document Class: article 2007/10/19 v1.4h Standard LaTeX document class (/usr/share/texlive/texmf-dist/tex/latex/base/size12.clo)) (/usr/share/texlive/texmf-dist/tex/latex/base/inputenc.sty (/usr/share/texlive/texmf-dist/tex/latex/ucs/utf8x.def)) (/usr/share/texlive/texmf-dist/tex/latex/ucs/ucs.sty (/usr/share/texlive/texmf-dist/tex/latex/ucs/data/uni-global.def)) (/usr/share/texlive/texmf-dist/tex/latex/amsmath/amsmath.sty For additional information on amsmath, use the `?’ option. (/usr/share/texlive/texmf-dist/tex/latex/amsmath/amstext.sty (/usr/share/texlive/texmf-dist/tex/latex/amsmath/amsgen.sty)) (/usr/share/texlive/texmf-dist/tex/latex/amsmath/amsbsy.sty) (/usr/share/texlive/texmf-dist/tex/latex/amsmath/amsopn.sty)) (/usr/share/texlive/texmf-dist/tex/latex/amscls/amsthm.sty) (/usr/share/texlive/texmf-dist/tex/latex/amsfonts/amssymb.sty (/usr/share/texlive/texmf-dist/tex/latex/amsfonts/amsfonts.sty)) (/usr/share/texlive/texmf-dist/tex/latex/tools/bm.sty) (/usr/share/texmf/tex/latex/preview/preview.sty) (./math.aux) (/usr/share/texlive/texmf-dist/tex/latex/ucs/ucsencs.def) Preview: Fontsize 12pt ! Missing $ inserted. <inserted text> $ l.14 h\left [X\right]=1-\log\left(c\right)-e^{c}\textrm{Ei}\left(1,c\right), (/usr/share/texlive/texmf-dist/tex/latex/amsfonts/umsa.fd) (/usr/share/texlive/texmf-dist/tex/latex/amsfonts/umsb.fd) ! Missing $ inserted. <inserted text> $ l.15 \end{preview} [1] (./math.aux) ) (see the transcript file for additional information) Output written on math.dvi (1 page, 428 bytes). Transcript written on math.log.where
System Message: WARNING/2 ( \textrm{Ei}\left(n,x\right)=\int_{1}^{\infty}t^{-n}\exp\left(-xt\right)dt)
latex exited with error: [stderr] [stdout] This is pdfTeX, Version 3.1415926-2.4-1.40.13 (TeX Live 2012/Debian) restricted \write18 enabled. entering extended mode (./math.tex LaTeX2e <2011/06/27> Babel <v3.8m> and hyphenation patterns for english, dumylang, nohyphenation, lo aded. (/usr/share/texlive/texmf-dist/tex/latex/base/article.cls Document Class: article 2007/10/19 v1.4h Standard LaTeX document class (/usr/share/texlive/texmf-dist/tex/latex/base/size12.clo)) (/usr/share/texlive/texmf-dist/tex/latex/base/inputenc.sty (/usr/share/texlive/texmf-dist/tex/latex/ucs/utf8x.def)) (/usr/share/texlive/texmf-dist/tex/latex/ucs/ucs.sty (/usr/share/texlive/texmf-dist/tex/latex/ucs/data/uni-global.def)) (/usr/share/texlive/texmf-dist/tex/latex/amsmath/amsmath.sty For additional information on amsmath, use the `?’ option. (/usr/share/texlive/texmf-dist/tex/latex/amsmath/amstext.sty (/usr/share/texlive/texmf-dist/tex/latex/amsmath/amsgen.sty)) (/usr/share/texlive/texmf-dist/tex/latex/amsmath/amsbsy.sty) (/usr/share/texlive/texmf-dist/tex/latex/amsmath/amsopn.sty)) (/usr/share/texlive/texmf-dist/tex/latex/amscls/amsthm.sty) (/usr/share/texlive/texmf-dist/tex/latex/amsfonts/amssymb.sty (/usr/share/texlive/texmf-dist/tex/latex/amsfonts/amsfonts.sty)) (/usr/share/texlive/texmf-dist/tex/latex/tools/bm.sty) (/usr/share/texmf/tex/latex/preview/preview.sty) (./math.aux) (/usr/share/texlive/texmf-dist/tex/latex/ucs/ucsencs.def) Preview: Fontsize 12pt ! Missing $ inserted. <inserted text> $ l.14 \textrm{Ei}\left (n,x\right)=\int_{1}^{\infty}t^{-n}\exp\left(-xt\righ... (/usr/share/texlive/texmf-dist/tex/latex/amsfonts/umsa.fd) (/usr/share/texlive/texmf-dist/tex/latex/amsfonts/umsb.fd) ! Missing $ inserted. <inserted text> $ l.15 \end{preview} [1] (./math.aux) ) (see the transcript file for additional information) Output written on math.dvi (1 page, 552 bytes). Transcript written on math.log.One of a clase of extreme value distributions (right-skewed).

System Message: WARNING/2 ( M\left(t\right)=\Gamma\left(1-t\right))
latex exited with error: [stderr] [stdout] This is pdfTeX, Version 3.1415926-2.4-1.40.13 (TeX Live 2012/Debian) restricted \write18 enabled. entering extended mode (./math.tex LaTeX2e <2011/06/27> Babel <v3.8m> and hyphenation patterns for english, dumylang, nohyphenation, lo aded. (/usr/share/texlive/texmf-dist/tex/latex/base/article.cls Document Class: article 2007/10/19 v1.4h Standard LaTeX document class (/usr/share/texlive/texmf-dist/tex/latex/base/size12.clo)) (/usr/share/texlive/texmf-dist/tex/latex/base/inputenc.sty (/usr/share/texlive/texmf-dist/tex/latex/ucs/utf8x.def)) (/usr/share/texlive/texmf-dist/tex/latex/ucs/ucs.sty (/usr/share/texlive/texmf-dist/tex/latex/ucs/data/uni-global.def)) (/usr/share/texlive/texmf-dist/tex/latex/amsmath/amsmath.sty For additional information on amsmath, use the `?’ option. (/usr/share/texlive/texmf-dist/tex/latex/amsmath/amstext.sty (/usr/share/texlive/texmf-dist/tex/latex/amsmath/amsgen.sty)) (/usr/share/texlive/texmf-dist/tex/latex/amsmath/amsbsy.sty) (/usr/share/texlive/texmf-dist/tex/latex/amsmath/amsopn.sty)) (/usr/share/texlive/texmf-dist/tex/latex/amscls/amsthm.sty) (/usr/share/texlive/texmf-dist/tex/latex/amsfonts/amssymb.sty (/usr/share/texlive/texmf-dist/tex/latex/amsfonts/amsfonts.sty)) (/usr/share/texlive/texmf-dist/tex/latex/tools/bm.sty) (/usr/share/texmf/tex/latex/preview/preview.sty) (./math.aux) (/usr/share/texlive/texmf-dist/tex/latex/ucs/ucsencs.def) Preview: Fontsize 12pt ! Missing $ inserted. <inserted text> $ l.14 M\left (t\right)=\Gamma\left(1-t\right) (/usr/share/texlive/texmf-dist/tex/latex/amsfonts/umsa.fd) (/usr/share/texlive/texmf-dist/tex/latex/amsfonts/umsb.fd) ! Missing $ inserted. <inserted text> $ l.15 \end{preview} [1] (./math.aux) ) (see the transcript file for additional information) Output written on math.dvi (1 page, 316 bytes). Transcript written on math.log.
System Message: WARNING/2 ( h\left[X\right]\approx1.0608407169541684911)
latex exited with error: [stderr] [stdout] This is pdfTeX, Version 3.1415926-2.4-1.40.13 (TeX Live 2012/Debian) restricted \write18 enabled. entering extended mode (./math.tex LaTeX2e <2011/06/27> Babel <v3.8m> and hyphenation patterns for english, dumylang, nohyphenation, lo aded. (/usr/share/texlive/texmf-dist/tex/latex/base/article.cls Document Class: article 2007/10/19 v1.4h Standard LaTeX document class (/usr/share/texlive/texmf-dist/tex/latex/base/size12.clo)) (/usr/share/texlive/texmf-dist/tex/latex/base/inputenc.sty (/usr/share/texlive/texmf-dist/tex/latex/ucs/utf8x.def)) (/usr/share/texlive/texmf-dist/tex/latex/ucs/ucs.sty (/usr/share/texlive/texmf-dist/tex/latex/ucs/data/uni-global.def)) (/usr/share/texlive/texmf-dist/tex/latex/amsmath/amsmath.sty For additional information on amsmath, use the `?’ option. (/usr/share/texlive/texmf-dist/tex/latex/amsmath/amstext.sty (/usr/share/texlive/texmf-dist/tex/latex/amsmath/amsgen.sty)) (/usr/share/texlive/texmf-dist/tex/latex/amsmath/amsbsy.sty) (/usr/share/texlive/texmf-dist/tex/latex/amsmath/amsopn.sty)) (/usr/share/texlive/texmf-dist/tex/latex/amscls/amsthm.sty) (/usr/share/texlive/texmf-dist/tex/latex/amsfonts/amssymb.sty (/usr/share/texlive/texmf-dist/tex/latex/amsfonts/amsfonts.sty)) (/usr/share/texlive/texmf-dist/tex/latex/tools/bm.sty) (/usr/share/texmf/tex/latex/preview/preview.sty) (./math.aux) (/usr/share/texlive/texmf-dist/tex/latex/ucs/ucsencs.def) Preview: Fontsize 12pt ! Missing $ inserted. <inserted text> $ l.14 h\left [X\right]\approx1.0608407169541684911 (/usr/share/texlive/texmf-dist/tex/latex/amsfonts/umsa.fd) (/usr/share/texlive/texmf-dist/tex/latex/amsfonts/umsb.fd) ! Missing $ inserted. <inserted text> $ l.15 \end{preview} [1] (./math.aux) ) (see the transcript file for additional information) Output written on math.dvi (1 page, 316 bytes). Transcript written on math.log.
System Message: WARNING/2 ( M\left(t\right)=\Gamma\left(1+t\right))
latex exited with error: [stderr] [stdout] This is pdfTeX, Version 3.1415926-2.4-1.40.13 (TeX Live 2012/Debian) restricted \write18 enabled. entering extended mode (./math.tex LaTeX2e <2011/06/27> Babel <v3.8m> and hyphenation patterns for english, dumylang, nohyphenation, lo aded. (/usr/share/texlive/texmf-dist/tex/latex/base/article.cls Document Class: article 2007/10/19 v1.4h Standard LaTeX document class (/usr/share/texlive/texmf-dist/tex/latex/base/size12.clo)) (/usr/share/texlive/texmf-dist/tex/latex/base/inputenc.sty (/usr/share/texlive/texmf-dist/tex/latex/ucs/utf8x.def)) (/usr/share/texlive/texmf-dist/tex/latex/ucs/ucs.sty (/usr/share/texlive/texmf-dist/tex/latex/ucs/data/uni-global.def)) (/usr/share/texlive/texmf-dist/tex/latex/amsmath/amsmath.sty For additional information on amsmath, use the `?’ option. (/usr/share/texlive/texmf-dist/tex/latex/amsmath/amstext.sty (/usr/share/texlive/texmf-dist/tex/latex/amsmath/amsgen.sty)) (/usr/share/texlive/texmf-dist/tex/latex/amsmath/amsbsy.sty) (/usr/share/texlive/texmf-dist/tex/latex/amsmath/amsopn.sty)) (/usr/share/texlive/texmf-dist/tex/latex/amscls/amsthm.sty) (/usr/share/texlive/texmf-dist/tex/latex/amsfonts/amssymb.sty (/usr/share/texlive/texmf-dist/tex/latex/amsfonts/amsfonts.sty)) (/usr/share/texlive/texmf-dist/tex/latex/tools/bm.sty) (/usr/share/texmf/tex/latex/preview/preview.sty) (./math.aux) (/usr/share/texlive/texmf-dist/tex/latex/ucs/ucsencs.def) Preview: Fontsize 12pt ! Missing $ inserted. <inserted text> $ l.14 M\left (t\right)=\Gamma\left(1+t\right) (/usr/share/texlive/texmf-dist/tex/latex/amsfonts/umsa.fd) (/usr/share/texlive/texmf-dist/tex/latex/amsfonts/umsb.fd) ! Missing $ inserted. <inserted text> $ l.15 \end{preview} [1] (./math.aux) ) (see the transcript file for additional information) Output written on math.dvi (1 page, 272 bytes). Transcript written on math.log.Note, that
is negative the mean for the right-skewed distribution. Similar for
median and mode. All other moments are the same.
System Message: WARNING/2 ( h\left[X\right]\approx1.0608407169541684911.)
latex exited with error: [stderr] [stdout] This is pdfTeX, Version 3.1415926-2.4-1.40.13 (TeX Live 2012/Debian) restricted \write18 enabled. entering extended mode (./math.tex LaTeX2e <2011/06/27> Babel <v3.8m> and hyphenation patterns for english, dumylang, nohyphenation, lo aded. (/usr/share/texlive/texmf-dist/tex/latex/base/article.cls Document Class: article 2007/10/19 v1.4h Standard LaTeX document class (/usr/share/texlive/texmf-dist/tex/latex/base/size12.clo)) (/usr/share/texlive/texmf-dist/tex/latex/base/inputenc.sty (/usr/share/texlive/texmf-dist/tex/latex/ucs/utf8x.def)) (/usr/share/texlive/texmf-dist/tex/latex/ucs/ucs.sty (/usr/share/texlive/texmf-dist/tex/latex/ucs/data/uni-global.def)) (/usr/share/texlive/texmf-dist/tex/latex/amsmath/amsmath.sty For additional information on amsmath, use the `?’ option. (/usr/share/texlive/texmf-dist/tex/latex/amsmath/amstext.sty (/usr/share/texlive/texmf-dist/tex/latex/amsmath/amsgen.sty)) (/usr/share/texlive/texmf-dist/tex/latex/amsmath/amsbsy.sty) (/usr/share/texlive/texmf-dist/tex/latex/amsmath/amsopn.sty)) (/usr/share/texlive/texmf-dist/tex/latex/amscls/amsthm.sty) (/usr/share/texlive/texmf-dist/tex/latex/amsfonts/amssymb.sty (/usr/share/texlive/texmf-dist/tex/latex/amsfonts/amsfonts.sty)) (/usr/share/texlive/texmf-dist/tex/latex/tools/bm.sty) (/usr/share/texmf/tex/latex/preview/preview.sty) (./math.aux) (/usr/share/texlive/texmf-dist/tex/latex/ucs/ucsencs.def) Preview: Fontsize 12pt ! Missing $ inserted. <inserted text> $ l.14 h\left [X\right]\approx1.0608407169541684911. (/usr/share/texlive/texmf-dist/tex/latex/amsfonts/umsa.fd) (/usr/share/texlive/texmf-dist/tex/latex/amsfonts/umsb.fd) ! Missing $ inserted. <inserted text> $ l.15 \end{preview} [1] (./math.aux) ) (see the transcript file for additional information) Output written on math.dvi (1 page, 320 bytes). Transcript written on math.log.If
is Hyperbolic Secant distributed then
is Half-Cauchy distributed. Also, if
is (standard) Cauchy distributed, then
is Half-Cauchy distributed. Special case of the Folded Cauchy
distribution with
The standard form is
![\begin{eqnarray*} f\left(x\right) & = & \frac{2}{\pi\left(1+x^{2}\right)}I_{[0,\infty)}\left(x\right)\\ F\left(x\right) & = & \frac{2}{\pi}\arctan\left(x\right)I_{\left[0,\infty\right]}\left(x\right)\\ G\left(q\right) & = & \tan\left(\frac{\pi}{2}q\right)\end{eqnarray*}](../../_images/math/19f0dd4515c8439696c28ed614dcf2d9b94e12ab.png)
System Message: WARNING/2 ( M\left(t\right)=\cos t+\frac{2}{\pi}\left[\textrm{Si}\left(t\right)\cos t-\textrm{Ci}\left(\textrm{-}t\right)\sin t\right])
latex exited with error: [stderr] [stdout] This is pdfTeX, Version 3.1415926-2.4-1.40.13 (TeX Live 2012/Debian) restricted \write18 enabled. entering extended mode (./math.tex LaTeX2e <2011/06/27> Babel <v3.8m> and hyphenation patterns for english, dumylang, nohyphenation, lo aded. (/usr/share/texlive/texmf-dist/tex/latex/base/article.cls Document Class: article 2007/10/19 v1.4h Standard LaTeX document class (/usr/share/texlive/texmf-dist/tex/latex/base/size12.clo)) (/usr/share/texlive/texmf-dist/tex/latex/base/inputenc.sty (/usr/share/texlive/texmf-dist/tex/latex/ucs/utf8x.def)) (/usr/share/texlive/texmf-dist/tex/latex/ucs/ucs.sty (/usr/share/texlive/texmf-dist/tex/latex/ucs/data/uni-global.def)) (/usr/share/texlive/texmf-dist/tex/latex/amsmath/amsmath.sty For additional information on amsmath, use the `?’ option. (/usr/share/texlive/texmf-dist/tex/latex/amsmath/amstext.sty (/usr/share/texlive/texmf-dist/tex/latex/amsmath/amsgen.sty)) (/usr/share/texlive/texmf-dist/tex/latex/amsmath/amsbsy.sty) (/usr/share/texlive/texmf-dist/tex/latex/amsmath/amsopn.sty)) (/usr/share/texlive/texmf-dist/tex/latex/amscls/amsthm.sty) (/usr/share/texlive/texmf-dist/tex/latex/amsfonts/amssymb.sty (/usr/share/texlive/texmf-dist/tex/latex/amsfonts/amsfonts.sty)) (/usr/share/texlive/texmf-dist/tex/latex/tools/bm.sty) (/usr/share/texmf/tex/latex/preview/preview.sty) (./math.aux) (/usr/share/texlive/texmf-dist/tex/latex/ucs/ucsencs.def) Preview: Fontsize 12pt ! Missing $ inserted. <inserted text> $ l.14 M\left (t\right)=\cos t+\frac{2}{\pi}\left[\textrm{Si}\left(t\right)\c... (/usr/share/texlive/texmf-dist/tex/latex/amsfonts/umsa.fd) (/usr/share/texlive/texmf-dist/tex/latex/amsfonts/umsb.fd) ! Missing $ inserted. <inserted text> $ l.15 \end{preview} [1] (./math.aux) ) (see the transcript file for additional information) Output written on math.dvi (1 page, 544 bytes). Transcript written on math.log.
No moments, as the integrals diverge.
![\begin{eqnarray*} h\left[X\right] & = & \log\left(2\pi\right)\\ & \approx & 1.8378770664093454836.\end{eqnarray*}](../../_images/math/93b5f371e94a7f6926bdf3740db13dc7f205eead.png)
This is a special case of the chi distribution with
and
and
This is also a special case of the folded normal with shape parameter
and
If
is (standard) normally distributed then,
is half-normal. The standard form is

System Message: WARNING/2 ( M\left(t\right)=\sqrt{2\pi}e^{t^{2}/2}\Phi\left(t\right))
latex exited with error: [stderr] [stdout] This is pdfTeX, Version 3.1415926-2.4-1.40.13 (TeX Live 2012/Debian) restricted \write18 enabled. entering extended mode (./math.tex LaTeX2e <2011/06/27> Babel <v3.8m> and hyphenation patterns for english, dumylang, nohyphenation, lo aded. (/usr/share/texlive/texmf-dist/tex/latex/base/article.cls Document Class: article 2007/10/19 v1.4h Standard LaTeX document class (/usr/share/texlive/texmf-dist/tex/latex/base/size12.clo)) (/usr/share/texlive/texmf-dist/tex/latex/base/inputenc.sty (/usr/share/texlive/texmf-dist/tex/latex/ucs/utf8x.def)) (/usr/share/texlive/texmf-dist/tex/latex/ucs/ucs.sty (/usr/share/texlive/texmf-dist/tex/latex/ucs/data/uni-global.def)) (/usr/share/texlive/texmf-dist/tex/latex/amsmath/amsmath.sty For additional information on amsmath, use the `?’ option. (/usr/share/texlive/texmf-dist/tex/latex/amsmath/amstext.sty (/usr/share/texlive/texmf-dist/tex/latex/amsmath/amsgen.sty)) (/usr/share/texlive/texmf-dist/tex/latex/amsmath/amsbsy.sty) (/usr/share/texlive/texmf-dist/tex/latex/amsmath/amsopn.sty)) (/usr/share/texlive/texmf-dist/tex/latex/amscls/amsthm.sty) (/usr/share/texlive/texmf-dist/tex/latex/amsfonts/amssymb.sty (/usr/share/texlive/texmf-dist/tex/latex/amsfonts/amsfonts.sty)) (/usr/share/texlive/texmf-dist/tex/latex/tools/bm.sty) (/usr/share/texmf/tex/latex/preview/preview.sty) (./math.aux) (/usr/share/texlive/texmf-dist/tex/latex/ucs/ucsencs.def) Preview: Fontsize 12pt ! Missing $ inserted. <inserted text> $ l.14 M\left (t\right)=\sqrt{2\pi}e^{t^{2}/2}\Phi\left(t\right) (/usr/share/texlive/texmf-dist/tex/latex/amsfonts/umsa.fd) (/usr/share/texlive/texmf-dist/tex/latex/amsfonts/umsb.fd) ! Missing $ inserted. <inserted text> $ l.15 \end{preview} [1] (./math.aux) ) (see the transcript file for additional information) Output written on math.dvi (1 page, 504 bytes). Transcript written on math.log.
![\begin{eqnarray*} h\left[X\right] & = & \log\left(\sqrt{\frac{\pi e}{2}}\right)\\ & \approx & 0.72579135264472743239.\end{eqnarray*}](../../_images/math/c7df8dba39140a78f0b7fd73c24e267c2354aea2.png)
In the limit as
for the generalized half-logistic we have the half-logistic defined
over
Also, the distribution of
where
has logistic distribtution.

System Message: WARNING/2 ( M\left(t\right)=1-t\psi_{0}\left(\frac{1}{2}-\frac{t}{2}\right)+t\psi_{0}\left(1-\frac{t}{2}\right))
latex exited with error: [stderr] [stdout] This is pdfTeX, Version 3.1415926-2.4-1.40.13 (TeX Live 2012/Debian) restricted \write18 enabled. entering extended mode (./math.tex LaTeX2e <2011/06/27> Babel <v3.8m> and hyphenation patterns for english, dumylang, nohyphenation, lo aded. (/usr/share/texlive/texmf-dist/tex/latex/base/article.cls Document Class: article 2007/10/19 v1.4h Standard LaTeX document class (/usr/share/texlive/texmf-dist/tex/latex/base/size12.clo)) (/usr/share/texlive/texmf-dist/tex/latex/base/inputenc.sty (/usr/share/texlive/texmf-dist/tex/latex/ucs/utf8x.def)) (/usr/share/texlive/texmf-dist/tex/latex/ucs/ucs.sty (/usr/share/texlive/texmf-dist/tex/latex/ucs/data/uni-global.def)) (/usr/share/texlive/texmf-dist/tex/latex/amsmath/amsmath.sty For additional information on amsmath, use the `?’ option. (/usr/share/texlive/texmf-dist/tex/latex/amsmath/amstext.sty (/usr/share/texlive/texmf-dist/tex/latex/amsmath/amsgen.sty)) (/usr/share/texlive/texmf-dist/tex/latex/amsmath/amsbsy.sty) (/usr/share/texlive/texmf-dist/tex/latex/amsmath/amsopn.sty)) (/usr/share/texlive/texmf-dist/tex/latex/amscls/amsthm.sty) (/usr/share/texlive/texmf-dist/tex/latex/amsfonts/amssymb.sty (/usr/share/texlive/texmf-dist/tex/latex/amsfonts/amsfonts.sty)) (/usr/share/texlive/texmf-dist/tex/latex/tools/bm.sty) (/usr/share/texmf/tex/latex/preview/preview.sty) (./math.aux) (/usr/share/texlive/texmf-dist/tex/latex/ucs/ucsencs.def) Preview: Fontsize 12pt ! Missing $ inserted. <inserted text> $ l.14 M\left (t\right)=1-t\psi_{0}\left(\frac{1}{2}-\frac{t}{2}\right)+t\psi... (/usr/share/texlive/texmf-dist/tex/latex/amsfonts/umsa.fd) (/usr/share/texlive/texmf-dist/tex/latex/amsfonts/umsb.fd) ! Missing $ inserted. <inserted text> $ l.15 \end{preview} [1] (./math.aux) ) (see the transcript file for additional information) Output written on math.dvi (1 page, 648 bytes). Transcript written on math.log.System Message: WARNING/2 ( \mu_{n}^{\prime}=2\left(1-2^{1-n}\right)n!\zeta\left(n\right)\quad n\neq1)
latex exited with error: [stderr] [stdout] This is pdfTeX, Version 3.1415926-2.4-1.40.13 (TeX Live 2012/Debian) restricted \write18 enabled. entering extended mode (./math.tex LaTeX2e <2011/06/27> Babel <v3.8m> and hyphenation patterns for english, dumylang, nohyphenation, lo aded. (/usr/share/texlive/texmf-dist/tex/latex/base/article.cls Document Class: article 2007/10/19 v1.4h Standard LaTeX document class (/usr/share/texlive/texmf-dist/tex/latex/base/size12.clo)) (/usr/share/texlive/texmf-dist/tex/latex/base/inputenc.sty (/usr/share/texlive/texmf-dist/tex/latex/ucs/utf8x.def)) (/usr/share/texlive/texmf-dist/tex/latex/ucs/ucs.sty (/usr/share/texlive/texmf-dist/tex/latex/ucs/data/uni-global.def)) (/usr/share/texlive/texmf-dist/tex/latex/amsmath/amsmath.sty For additional information on amsmath, use the `?’ option. (/usr/share/texlive/texmf-dist/tex/latex/amsmath/amstext.sty (/usr/share/texlive/texmf-dist/tex/latex/amsmath/amsgen.sty)) (/usr/share/texlive/texmf-dist/tex/latex/amsmath/amsbsy.sty) (/usr/share/texlive/texmf-dist/tex/latex/amsmath/amsopn.sty)) (/usr/share/texlive/texmf-dist/tex/latex/amscls/amsthm.sty) (/usr/share/texlive/texmf-dist/tex/latex/amsfonts/amssymb.sty (/usr/share/texlive/texmf-dist/tex/latex/amsfonts/amsfonts.sty)) (/usr/share/texlive/texmf-dist/tex/latex/tools/bm.sty) (/usr/share/texmf/tex/latex/preview/preview.sty) (./math.aux) (/usr/share/texlive/texmf-dist/tex/latex/ucs/ucsencs.def) Preview: Fontsize 12pt ! Missing $ inserted. <inserted text> $ l.14 \mu _{n}^{\prime}=2\left(1-2^{1-n}\right)n!\zeta\left(n\right)\quad n\... (/usr/share/texlive/texmf-dist/tex/latex/amsfonts/umsa.fd) (/usr/share/texlive/texmf-dist/tex/latex/amsfonts/umsb.fd) ! Missing $ inserted. <inserted text> $ l.15 \end{preview} [1] (./math.aux) ) (see the transcript file for additional information) Output written on math.dvi (1 page, 504 bytes). Transcript written on math.log.
![\begin{eqnarray*} h\left[X\right] & = & 2-\log\left(2\right)\\ & \approx & 1.3068528194400546906.\end{eqnarray*}](../../_images/math/491229de309be1729a7209647a5017f9fe37d0da.png)
Related to the logistic distribution and used in lifetime analysis.
Standard form is (defined over all
)

System Message: WARNING/2 ( M\left(t\right)=\sec\left(\frac{\pi}{2}t\right))
latex exited with error: [stderr] [stdout] This is pdfTeX, Version 3.1415926-2.4-1.40.13 (TeX Live 2012/Debian) restricted \write18 enabled. entering extended mode (./math.tex LaTeX2e <2011/06/27> Babel <v3.8m> and hyphenation patterns for english, dumylang, nohyphenation, lo aded. (/usr/share/texlive/texmf-dist/tex/latex/base/article.cls Document Class: article 2007/10/19 v1.4h Standard LaTeX document class (/usr/share/texlive/texmf-dist/tex/latex/base/size12.clo)) (/usr/share/texlive/texmf-dist/tex/latex/base/inputenc.sty (/usr/share/texlive/texmf-dist/tex/latex/ucs/utf8x.def)) (/usr/share/texlive/texmf-dist/tex/latex/ucs/ucs.sty (/usr/share/texlive/texmf-dist/tex/latex/ucs/data/uni-global.def)) (/usr/share/texlive/texmf-dist/tex/latex/amsmath/amsmath.sty For additional information on amsmath, use the `?’ option. (/usr/share/texlive/texmf-dist/tex/latex/amsmath/amstext.sty (/usr/share/texlive/texmf-dist/tex/latex/amsmath/amsgen.sty)) (/usr/share/texlive/texmf-dist/tex/latex/amsmath/amsbsy.sty) (/usr/share/texlive/texmf-dist/tex/latex/amsmath/amsopn.sty)) (/usr/share/texlive/texmf-dist/tex/latex/amscls/amsthm.sty) (/usr/share/texlive/texmf-dist/tex/latex/amsfonts/amssymb.sty (/usr/share/texlive/texmf-dist/tex/latex/amsfonts/amsfonts.sty)) (/usr/share/texlive/texmf-dist/tex/latex/tools/bm.sty) (/usr/share/texmf/tex/latex/preview/preview.sty) (./math.aux) (/usr/share/texlive/texmf-dist/tex/latex/ucs/ucsencs.def) Preview: Fontsize 12pt ! Missing $ inserted. <inserted text> $ l.14 M\left (t\right)=\sec\left(\frac{\pi}{2}t\right) (/usr/share/texlive/texmf-dist/tex/latex/amsfonts/umsa.fd) (/usr/share/texlive/texmf-dist/tex/latex/amsfonts/umsb.fd) ! Missing $ inserted. <inserted text> $ l.15 \end{preview} [1] (./math.aux) ) (see the transcript file for additional information) Output written on math.dvi (1 page, 448 bytes). Transcript written on math.log.![\begin{eqnarray*} \mu_{n}^{\prime} & = & \frac{1+\left(-1\right)^{n}}{2\pi2^{2n}}n!\left[\zeta\left(n+1,\frac{1}{4}\right)-\zeta\left(n+1,\frac{3}{4}\right)\right]\\ & = & \left\{ \begin{array}{cc} 0 & n\textrm{ odd}\\ C_{n/2}\frac{\pi^{n}}{2^{n}} & n\textrm{ even}\end{array}\right.\end{eqnarray*}](../../_images/math/fc112153541adf9d6cfb050e014d49aae45dbbbb.png)
where
is an integer given by
![\begin{eqnarray*} C_{m} & = & \frac{\left(2m\right)!\left[\zeta\left(2m+1,\frac{1}{4}\right)-\zeta\left(2m+1,\frac{3}{4}\right)\right]}{\pi^{2m+1}2^{2m}}\\ & = & 4\left(-1\right)^{m-1}\frac{16^{m}}{2m+1}B_{2m+1}\left(\frac{1}{4}\right)\end{eqnarray*}](../../_images/math/f1a8c23b0dca53c5a9697794d4bf6de9e1fa3454.png)
where
is the Bernoulli polynomial of order
evaluated at
Thus
System Message: WARNING/2 ( \mu_{n}^{\prime}=\left\{ \begin{array}{cc} 0 & n\textrm{ odd}\\ 4\left(-1\right)^{n/2-1}\frac{\left(2\pi\right)^{n}}{n+1}B_{n+1}\left(\frac{1}{4}\right) & n\textrm{ even}\end{array}\right.)
latex exited with error: [stderr] [stdout] This is pdfTeX, Version 3.1415926-2.4-1.40.13 (TeX Live 2012/Debian) restricted \write18 enabled. entering extended mode (./math.tex LaTeX2e <2011/06/27> Babel <v3.8m> and hyphenation patterns for english, dumylang, nohyphenation, lo aded. (/usr/share/texlive/texmf-dist/tex/latex/base/article.cls Document Class: article 2007/10/19 v1.4h Standard LaTeX document class (/usr/share/texlive/texmf-dist/tex/latex/base/size12.clo)) (/usr/share/texlive/texmf-dist/tex/latex/base/inputenc.sty (/usr/share/texlive/texmf-dist/tex/latex/ucs/utf8x.def)) (/usr/share/texlive/texmf-dist/tex/latex/ucs/ucs.sty (/usr/share/texlive/texmf-dist/tex/latex/ucs/data/uni-global.def)) (/usr/share/texlive/texmf-dist/tex/latex/amsmath/amsmath.sty For additional information on amsmath, use the `?’ option. (/usr/share/texlive/texmf-dist/tex/latex/amsmath/amstext.sty (/usr/share/texlive/texmf-dist/tex/latex/amsmath/amsgen.sty)) (/usr/share/texlive/texmf-dist/tex/latex/amsmath/amsbsy.sty) (/usr/share/texlive/texmf-dist/tex/latex/amsmath/amsopn.sty)) (/usr/share/texlive/texmf-dist/tex/latex/amscls/amsthm.sty) (/usr/share/texlive/texmf-dist/tex/latex/amsfonts/amssymb.sty (/usr/share/texlive/texmf-dist/tex/latex/amsfonts/amsfonts.sty)) (/usr/share/texlive/texmf-dist/tex/latex/tools/bm.sty) (/usr/share/texmf/tex/latex/preview/preview.sty) (./math.aux) (/usr/share/texlive/texmf-dist/tex/latex/ucs/ucsencs.def) Preview: Fontsize 12pt ! Missing $ inserted. <inserted text> $ l.14 \mu _{n}^{\prime}=\left\{ \begin{array}{cc} 0 & n\textrm{ odd}\\ 4\lef... (/usr/share/texlive/texmf-dist/tex/latex/amsfonts/umsa.fd) (/usr/share/texlive/texmf-dist/tex/latex/amsfonts/umsb.fd) ! Missing $ inserted. <inserted text> $ l.15 \end{preview} [1] (./math.aux) ) (see the transcript file for additional information) Output written on math.dvi (1 page, 792 bytes). Transcript written on math.log.
System Message: WARNING/2 ( h\left[X\right]=\log\left(2\pi\right).)
latex exited with error: [stderr] [stdout] This is pdfTeX, Version 3.1415926-2.4-1.40.13 (TeX Live 2012/Debian) restricted \write18 enabled. entering extended mode (./math.tex LaTeX2e <2011/06/27> Babel <v3.8m> and hyphenation patterns for english, dumylang, nohyphenation, lo aded. (/usr/share/texlive/texmf-dist/tex/latex/base/article.cls Document Class: article 2007/10/19 v1.4h Standard LaTeX document class (/usr/share/texlive/texmf-dist/tex/latex/base/size12.clo)) (/usr/share/texlive/texmf-dist/tex/latex/base/inputenc.sty (/usr/share/texlive/texmf-dist/tex/latex/ucs/utf8x.def)) (/usr/share/texlive/texmf-dist/tex/latex/ucs/ucs.sty (/usr/share/texlive/texmf-dist/tex/latex/ucs/data/uni-global.def)) (/usr/share/texlive/texmf-dist/tex/latex/amsmath/amsmath.sty For additional information on amsmath, use the `?’ option. (/usr/share/texlive/texmf-dist/tex/latex/amsmath/amstext.sty (/usr/share/texlive/texmf-dist/tex/latex/amsmath/amsgen.sty)) (/usr/share/texlive/texmf-dist/tex/latex/amsmath/amsbsy.sty) (/usr/share/texlive/texmf-dist/tex/latex/amsmath/amsopn.sty)) (/usr/share/texlive/texmf-dist/tex/latex/amscls/amsthm.sty) (/usr/share/texlive/texmf-dist/tex/latex/amsfonts/amssymb.sty (/usr/share/texlive/texmf-dist/tex/latex/amsfonts/amsfonts.sty)) (/usr/share/texlive/texmf-dist/tex/latex/tools/bm.sty) (/usr/share/texmf/tex/latex/preview/preview.sty) (./math.aux) (/usr/share/texlive/texmf-dist/tex/latex/ucs/ucsencs.def) Preview: Fontsize 12pt ! Missing $ inserted. <inserted text> $ l.14 h\left [X\right]=\log\left(2\pi\right). (/usr/share/texlive/texmf-dist/tex/latex/amsfonts/umsa.fd) (/usr/share/texlive/texmf-dist/tex/latex/amsfonts/umsb.fd) ! Missing $ inserted. <inserted text> $ l.15 \end{preview} [1] (./math.aux) ) (see the transcript file for additional information) Output written on math.dvi (1 page, 284 bytes). Transcript written on math.log.
, 
System Message: WARNING/2 ( C^{-1}=B\left(\alpha,\beta\right)\,_{2}F_{1}\left(\gamma,\alpha;\alpha+\beta;-z\right))
latex exited with error: [stderr] [stdout] This is pdfTeX, Version 3.1415926-2.4-1.40.13 (TeX Live 2012/Debian) restricted \write18 enabled. entering extended mode (./math.tex LaTeX2e <2011/06/27> Babel <v3.8m> and hyphenation patterns for english, dumylang, nohyphenation, lo aded. (/usr/share/texlive/texmf-dist/tex/latex/base/article.cls Document Class: article 2007/10/19 v1.4h Standard LaTeX document class (/usr/share/texlive/texmf-dist/tex/latex/base/size12.clo)) (/usr/share/texlive/texmf-dist/tex/latex/base/inputenc.sty (/usr/share/texlive/texmf-dist/tex/latex/ucs/utf8x.def)) (/usr/share/texlive/texmf-dist/tex/latex/ucs/ucs.sty (/usr/share/texlive/texmf-dist/tex/latex/ucs/data/uni-global.def)) (/usr/share/texlive/texmf-dist/tex/latex/amsmath/amsmath.sty For additional information on amsmath, use the `?’ option. (/usr/share/texlive/texmf-dist/tex/latex/amsmath/amstext.sty (/usr/share/texlive/texmf-dist/tex/latex/amsmath/amsgen.sty)) (/usr/share/texlive/texmf-dist/tex/latex/amsmath/amsbsy.sty) (/usr/share/texlive/texmf-dist/tex/latex/amsmath/amsopn.sty)) (/usr/share/texlive/texmf-dist/tex/latex/amscls/amsthm.sty) (/usr/share/texlive/texmf-dist/tex/latex/amsfonts/amssymb.sty (/usr/share/texlive/texmf-dist/tex/latex/amsfonts/amsfonts.sty)) (/usr/share/texlive/texmf-dist/tex/latex/tools/bm.sty) (/usr/share/texmf/tex/latex/preview/preview.sty) (./math.aux) (/usr/share/texlive/texmf-dist/tex/latex/ucs/ucsencs.def) Preview: Fontsize 12pt ! Missing $ inserted. <inserted text> $ l.14 C^ {-1}=B\left(\alpha,\beta\right)\,_{2}F_{1}\left(\gamma,\alpha;\alph... (/usr/share/texlive/texmf-dist/tex/latex/amsfonts/umsa.fd) (/usr/share/texlive/texmf-dist/tex/latex/amsfonts/umsb.fd) ! Missing $ inserted. <inserted text> $ l.15 \end{preview} [1] (./math.aux) ) (see the transcript file for additional information) Output written on math.dvi (1 page, 492 bytes). Transcript written on math.log.
Special case of the generalized Gamma distribution with
and
, 
![\begin{eqnarray*} f\left(x;a\right) & = & \frac{x^{-a-1}}{\Gamma\left(a\right)}\exp\left(-\frac{1}{x}\right)\\ F\left(x;a\right) & = & \frac{\Gamma\left(a,\frac{1}{x}\right)}{\Gamma\left(a\right)}\\ G\left(q;a\right) & = & \left\{ \Gamma^{-1}\left[a,\Gamma\left(a\right)q\right]\right\} ^{-1}\end{eqnarray*}](../../_images/math/12fc32069dada6768bc8b95fc755af108735db55.png)
System Message: WARNING/2 ( \mu_{n}^{\prime}=\frac{\Gamma\left(a-n\right)}{\Gamma\left(a\right)}\quad a>n)
latex exited with error: [stderr] [stdout] This is pdfTeX, Version 3.1415926-2.4-1.40.13 (TeX Live 2012/Debian) restricted \write18 enabled. entering extended mode (./math.tex LaTeX2e <2011/06/27> Babel <v3.8m> and hyphenation patterns for english, dumylang, nohyphenation, lo aded. (/usr/share/texlive/texmf-dist/tex/latex/base/article.cls Document Class: article 2007/10/19 v1.4h Standard LaTeX document class (/usr/share/texlive/texmf-dist/tex/latex/base/size12.clo)) (/usr/share/texlive/texmf-dist/tex/latex/base/inputenc.sty (/usr/share/texlive/texmf-dist/tex/latex/ucs/utf8x.def)) (/usr/share/texlive/texmf-dist/tex/latex/ucs/ucs.sty (/usr/share/texlive/texmf-dist/tex/latex/ucs/data/uni-global.def)) (/usr/share/texlive/texmf-dist/tex/latex/amsmath/amsmath.sty For additional information on amsmath, use the `?’ option. (/usr/share/texlive/texmf-dist/tex/latex/amsmath/amstext.sty (/usr/share/texlive/texmf-dist/tex/latex/amsmath/amsgen.sty)) (/usr/share/texlive/texmf-dist/tex/latex/amsmath/amsbsy.sty) (/usr/share/texlive/texmf-dist/tex/latex/amsmath/amsopn.sty)) (/usr/share/texlive/texmf-dist/tex/latex/amscls/amsthm.sty) (/usr/share/texlive/texmf-dist/tex/latex/amsfonts/amssymb.sty (/usr/share/texlive/texmf-dist/tex/latex/amsfonts/amsfonts.sty)) (/usr/share/texlive/texmf-dist/tex/latex/tools/bm.sty) (/usr/share/texmf/tex/latex/preview/preview.sty) (./math.aux) (/usr/share/texlive/texmf-dist/tex/latex/ucs/ucsencs.def) Preview: Fontsize 12pt ! Missing $ inserted. <inserted text> $ l.14 \mu _{n}^{\prime}=\frac{\Gamma\left(a-n\right)}{\Gamma\left(a\right)}\... (/usr/share/texlive/texmf-dist/tex/latex/amsfonts/umsa.fd) (/usr/share/texlive/texmf-dist/tex/latex/amsfonts/umsb.fd) ! Missing $ inserted. <inserted text> $ l.15 \end{preview} [1] (./math.aux) ) (see the transcript file for additional information) Output written on math.dvi (1 page, 460 bytes). Transcript written on math.log.
System Message: WARNING/2 ( m_{d}=\frac{1}{a+1})
latex exited with error: [stderr] [stdout] This is pdfTeX, Version 3.1415926-2.4-1.40.13 (TeX Live 2012/Debian) restricted \write18 enabled. entering extended mode (./math.tex LaTeX2e <2011/06/27> Babel <v3.8m> and hyphenation patterns for english, dumylang, nohyphenation, lo aded. (/usr/share/texlive/texmf-dist/tex/latex/base/article.cls Document Class: article 2007/10/19 v1.4h Standard LaTeX document class (/usr/share/texlive/texmf-dist/tex/latex/base/size12.clo)) (/usr/share/texlive/texmf-dist/tex/latex/base/inputenc.sty (/usr/share/texlive/texmf-dist/tex/latex/ucs/utf8x.def)) (/usr/share/texlive/texmf-dist/tex/latex/ucs/ucs.sty (/usr/share/texlive/texmf-dist/tex/latex/ucs/data/uni-global.def)) (/usr/share/texlive/texmf-dist/tex/latex/amsmath/amsmath.sty For additional information on amsmath, use the `?’ option. (/usr/share/texlive/texmf-dist/tex/latex/amsmath/amstext.sty (/usr/share/texlive/texmf-dist/tex/latex/amsmath/amsgen.sty)) (/usr/share/texlive/texmf-dist/tex/latex/amsmath/amsbsy.sty) (/usr/share/texlive/texmf-dist/tex/latex/amsmath/amsopn.sty)) (/usr/share/texlive/texmf-dist/tex/latex/amscls/amsthm.sty) (/usr/share/texlive/texmf-dist/tex/latex/amsfonts/amssymb.sty (/usr/share/texlive/texmf-dist/tex/latex/amsfonts/amsfonts.sty)) (/usr/share/texlive/texmf-dist/tex/latex/tools/bm.sty) (/usr/share/texmf/tex/latex/preview/preview.sty) (./math.aux) (/usr/share/texlive/texmf-dist/tex/latex/ucs/ucsencs.def) Preview: Fontsize 12pt ! Missing $ inserted. <inserted text> $ l.14 m_ {d}=\frac{1}{a+1} (/usr/share/texlive/texmf-dist/tex/latex/amsfonts/umsa.fd) (/usr/share/texlive/texmf-dist/tex/latex/amsfonts/umsb.fd) ! Missing $ inserted. <inserted text> $ l.15 \end{preview} [1] (./math.aux) ) (see the transcript file for additional information) Output written on math.dvi (1 page, 320 bytes). Transcript written on math.log.System Message: WARNING/2 ( h\left[X\right]=a-\left(a+1\right)\Psi\left(a\right)+\log\Gamma\left(a\right).)
latex exited with error: [stderr] [stdout] This is pdfTeX, Version 3.1415926-2.4-1.40.13 (TeX Live 2012/Debian) restricted \write18 enabled. entering extended mode (./math.tex LaTeX2e <2011/06/27> Babel <v3.8m> and hyphenation patterns for english, dumylang, nohyphenation, lo aded. (/usr/share/texlive/texmf-dist/tex/latex/base/article.cls Document Class: article 2007/10/19 v1.4h Standard LaTeX document class (/usr/share/texlive/texmf-dist/tex/latex/base/size12.clo)) (/usr/share/texlive/texmf-dist/tex/latex/base/inputenc.sty (/usr/share/texlive/texmf-dist/tex/latex/ucs/utf8x.def)) (/usr/share/texlive/texmf-dist/tex/latex/ucs/ucs.sty (/usr/share/texlive/texmf-dist/tex/latex/ucs/data/uni-global.def)) (/usr/share/texlive/texmf-dist/tex/latex/amsmath/amsmath.sty For additional information on amsmath, use the `?’ option. (/usr/share/texlive/texmf-dist/tex/latex/amsmath/amstext.sty (/usr/share/texlive/texmf-dist/tex/latex/amsmath/amsgen.sty)) (/usr/share/texlive/texmf-dist/tex/latex/amsmath/amsbsy.sty) (/usr/share/texlive/texmf-dist/tex/latex/amsmath/amsopn.sty)) (/usr/share/texlive/texmf-dist/tex/latex/amscls/amsthm.sty) (/usr/share/texlive/texmf-dist/tex/latex/amsfonts/amssymb.sty (/usr/share/texlive/texmf-dist/tex/latex/amsfonts/amsfonts.sty)) (/usr/share/texlive/texmf-dist/tex/latex/tools/bm.sty) (/usr/share/texmf/tex/latex/preview/preview.sty) (./math.aux) (/usr/share/texlive/texmf-dist/tex/latex/ucs/ucsencs.def) Preview: Fontsize 12pt ! Missing $ inserted. <inserted text> $ l.14 h\left [X\right]=a-\left(a+1\right)\Psi\left(a\right)+\log\Gamma\left(... (/usr/share/texlive/texmf-dist/tex/latex/amsfonts/umsa.fd) (/usr/share/texlive/texmf-dist/tex/latex/amsfonts/umsb.fd) ! Missing $ inserted. <inserted text> $ l.15 \end{preview} [1] (./math.aux) ) (see the transcript file for additional information) Output written on math.dvi (1 page, 388 bytes). Transcript written on math.log.The standard form involves the shape parameter
(in most definitions,
is used). (In terms of the regress documentation
) and
and
is not a parameter in that distribution. A standard form is 


This is related to the canonical form or JKB “two-parameter “inverse Gaussian when written in it’s full form with scale parameter
and location parameter
by taking
and
then
is equal to
where
is the parameter used by JKB. We prefer this form because of it’s
consistent use of the scale parameter. Notice that in JKB the skew
and the kurtosis (
) are both functions only of
as shown here, while the variance and mean of the standard form here
are transformed appropriately.
Shape parameter
and
. Then

System Message: WARNING/2 ( h\left[X\right]=1+\gamma+\frac{\gamma}{c}-\log\left(c\right))
latex exited with error: [stderr] [stdout] This is pdfTeX, Version 3.1415926-2.4-1.40.13 (TeX Live 2012/Debian) restricted \write18 enabled. entering extended mode (./math.tex LaTeX2e <2011/06/27> Babel <v3.8m> and hyphenation patterns for english, dumylang, nohyphenation, lo aded. (/usr/share/texlive/texmf-dist/tex/latex/base/article.cls Document Class: article 2007/10/19 v1.4h Standard LaTeX document class (/usr/share/texlive/texmf-dist/tex/latex/base/size12.clo)) (/usr/share/texlive/texmf-dist/tex/latex/base/inputenc.sty (/usr/share/texlive/texmf-dist/tex/latex/ucs/utf8x.def)) (/usr/share/texlive/texmf-dist/tex/latex/ucs/ucs.sty (/usr/share/texlive/texmf-dist/tex/latex/ucs/data/uni-global.def)) (/usr/share/texlive/texmf-dist/tex/latex/amsmath/amsmath.sty For additional information on amsmath, use the `?’ option. (/usr/share/texlive/texmf-dist/tex/latex/amsmath/amstext.sty (/usr/share/texlive/texmf-dist/tex/latex/amsmath/amsgen.sty)) (/usr/share/texlive/texmf-dist/tex/latex/amsmath/amsbsy.sty) (/usr/share/texlive/texmf-dist/tex/latex/amsmath/amsopn.sty)) (/usr/share/texlive/texmf-dist/tex/latex/amscls/amsthm.sty) (/usr/share/texlive/texmf-dist/tex/latex/amsfonts/amssymb.sty (/usr/share/texlive/texmf-dist/tex/latex/amsfonts/amsfonts.sty)) (/usr/share/texlive/texmf-dist/tex/latex/tools/bm.sty) (/usr/share/texmf/tex/latex/preview/preview.sty) (./math.aux) (/usr/share/texlive/texmf-dist/tex/latex/ucs/ucsencs.def) Preview: Fontsize 12pt ! Missing $ inserted. <inserted text> $ l.14 h\left [X\right]=1+\gamma+\frac{\gamma}{c}-\log\left(c\right) (/usr/share/texlive/texmf-dist/tex/latex/amsfonts/umsa.fd) (/usr/share/texlive/texmf-dist/tex/latex/amsfonts/umsb.fd) ! Missing $ inserted. <inserted text> $ l.15 \end{preview} [1] (./math.aux) ) (see the transcript file for additional information) Output written on math.dvi (1 page, 428 bytes). Transcript written on math.log.where
is Euler’s constant.


The ML estimator of the location parameter is
System Message: WARNING/2 ( \hat{L}=\textrm{median}\left(X_{i}\right))
latex exited with error: [stderr] [stdout] This is pdfTeX, Version 3.1415926-2.4-1.40.13 (TeX Live 2012/Debian) restricted \write18 enabled. entering extended mode (./math.tex LaTeX2e <2011/06/27> Babel <v3.8m> and hyphenation patterns for english, dumylang, nohyphenation, lo aded. (/usr/share/texlive/texmf-dist/tex/latex/base/article.cls Document Class: article 2007/10/19 v1.4h Standard LaTeX document class (/usr/share/texlive/texmf-dist/tex/latex/base/size12.clo)) (/usr/share/texlive/texmf-dist/tex/latex/base/inputenc.sty (/usr/share/texlive/texmf-dist/tex/latex/ucs/utf8x.def)) (/usr/share/texlive/texmf-dist/tex/latex/ucs/ucs.sty (/usr/share/texlive/texmf-dist/tex/latex/ucs/data/uni-global.def)) (/usr/share/texlive/texmf-dist/tex/latex/amsmath/amsmath.sty For additional information on amsmath, use the `?’ option. (/usr/share/texlive/texmf-dist/tex/latex/amsmath/amstext.sty (/usr/share/texlive/texmf-dist/tex/latex/amsmath/amsgen.sty)) (/usr/share/texlive/texmf-dist/tex/latex/amsmath/amsbsy.sty) (/usr/share/texlive/texmf-dist/tex/latex/amsmath/amsopn.sty)) (/usr/share/texlive/texmf-dist/tex/latex/amscls/amsthm.sty) (/usr/share/texlive/texmf-dist/tex/latex/amsfonts/amssymb.sty (/usr/share/texlive/texmf-dist/tex/latex/amsfonts/amsfonts.sty)) (/usr/share/texlive/texmf-dist/tex/latex/tools/bm.sty) (/usr/share/texmf/tex/latex/preview/preview.sty) (./math.aux) (/usr/share/texlive/texmf-dist/tex/latex/ucs/ucsencs.def) Preview: Fontsize 12pt ! Package amsmath Error: \hat allowed only in math mode. See the amsmath package documentation for explanation. Type H <return> for immediate help. ... l.14 \hat{L} =\textrm{median}\left(X_{i}\right) ! Missing $ inserted. <inserted text> $ l.14 \hat{L}=\textrm{median}\left (X_{i}\right) (/usr/share/texlive/texmf-dist/tex/latex/amsfonts/umsa.fd) (/usr/share/texlive/texmf-dist/tex/latex/amsfonts/umsb.fd) ! Missing $ inserted. <inserted text> $ l.15 \end{preview} [1] (./math.aux) ) (see the transcript file for additional information) Output written on math.dvi (1 page, 296 bytes). Transcript written on math.log.where
is a sequence of
mutually independent Laplace RV’s and the median is some number
between the
and the
order statistic ( e.g. take the average of these two) when
is even. Also,
System Message: WARNING/2 ( \hat{S}=\frac{1}{N}\sum_{j=1}^{N}\left|X_{j}-\hat{L}\right|.)
latex exited with error: [stderr] [stdout] This is pdfTeX, Version 3.1415926-2.4-1.40.13 (TeX Live 2012/Debian) restricted \write18 enabled. entering extended mode (./math.tex LaTeX2e <2011/06/27> Babel <v3.8m> and hyphenation patterns for english, dumylang, nohyphenation, lo aded. (/usr/share/texlive/texmf-dist/tex/latex/base/article.cls Document Class: article 2007/10/19 v1.4h Standard LaTeX document class (/usr/share/texlive/texmf-dist/tex/latex/base/size12.clo)) (/usr/share/texlive/texmf-dist/tex/latex/base/inputenc.sty (/usr/share/texlive/texmf-dist/tex/latex/ucs/utf8x.def)) (/usr/share/texlive/texmf-dist/tex/latex/ucs/ucs.sty (/usr/share/texlive/texmf-dist/tex/latex/ucs/data/uni-global.def)) (/usr/share/texlive/texmf-dist/tex/latex/amsmath/amsmath.sty For additional information on amsmath, use the `?’ option. (/usr/share/texlive/texmf-dist/tex/latex/amsmath/amstext.sty (/usr/share/texlive/texmf-dist/tex/latex/amsmath/amsgen.sty)) (/usr/share/texlive/texmf-dist/tex/latex/amsmath/amsbsy.sty) (/usr/share/texlive/texmf-dist/tex/latex/amsmath/amsopn.sty)) (/usr/share/texlive/texmf-dist/tex/latex/amscls/amsthm.sty) (/usr/share/texlive/texmf-dist/tex/latex/amsfonts/amssymb.sty (/usr/share/texlive/texmf-dist/tex/latex/amsfonts/amsfonts.sty)) (/usr/share/texlive/texmf-dist/tex/latex/tools/bm.sty) (/usr/share/texmf/tex/latex/preview/preview.sty) (./math.aux) (/usr/share/texlive/texmf-dist/tex/latex/ucs/ucsencs.def) Preview: Fontsize 12pt ! Package amsmath Error: \hat allowed only in math mode. See the amsmath package documentation for explanation. Type H <return> for immediate help. ... l.14 \hat{S} =\frac{1}{N}\sum_{j=1}^{N}\left|X_{j}-\hat{L}\right|. ! Missing $ inserted. <inserted text> $ l.14 \hat{S}=\frac{1}{N} \sum_{j=1}^{N}\left|X_{j}-\hat{L}\right|. (/usr/share/texlive/texmf-dist/tex/latex/amsfonts/umsa.fd) (/usr/share/texlive/texmf-dist/tex/latex/amsfonts/umsb.fd) ! Extra }, or forgotten $. \frac #1#2->{\begingroup #1\endgroup \@@over #2} l.14 \hat{S}=\frac{1}{N} \sum_{j=1}^{N}\left|X_{j}-\hat{L}\right|. ! Missing $ inserted. <inserted text> $ l.15 \end{preview} ! Missing } inserted. <inserted text> } l.15 \end{preview} [1] (./math.aux) ) (see the transcript file for additional information) Output written on math.dvi (1 page, 616 bytes). Transcript written on math.log.Replace
with
if it is known. If
is known then this estimator is distributed as
.
![\begin{eqnarray*} h\left[X\right] & = & \log\left(2e\right)\\ & \approx & 1.6931471805599453094.\end{eqnarray*}](../../_images/math/3b9054a673f5e40c30b2d7a517baab96a44a2235.png)
Special case of Lévy-stable distribution with
and
the support is
. In standard form
![\begin{eqnarray*} f\left(x\right) & = & \frac{1}{\left|x\right|\sqrt{2\pi\left|x\right|}}\exp\left(-\frac{1}{2\left|x\right|}\right)\\ F\left(x\right) & = & 2\Phi\left(\frac{1}{\sqrt{\left|x\right|}}\right)-1\\ G\left(q\right) & = & -\left[\Phi^{-1}\left(\frac{q+1}{2}\right)\right]^{-2}.\end{eqnarray*}](../../_images/math/b127493a251ea2ebf6c0b009f88bc57bfb1f08dd.png)
No moments.
A special case of Lévy-stable distributions with
and
. In standard form it is defined for
as
![\begin{eqnarray*} f\left(x\right) & = & \frac{1}{x\sqrt{2\pi x}}\exp\left(-\frac{1}{2x}\right)\\ F\left(x\right) & = & 2\left[1-\Phi\left(\frac{1}{\sqrt{x}}\right)\right]\\ G\left(q\right) & = & \left[\Phi^{-1}\left(1-\frac{q}{2}\right)\right]^{-2}.\end{eqnarray*}](../../_images/math/d9097f063e5a5fbd0b329c6dd2649e26a9c10c8a.png)
It has no finite moments.
A special case of the Generalized Logistic distribution with
Defined for 
![\begin{eqnarray*} f\left(x\right) & = & \frac{\exp\left(-x\right)}{\left[1+\exp\left(-x\right)\right]^{2}}\\ F\left(x\right) & = & \frac{1}{1+\exp\left(-x\right)}\\ G\left(q\right) & = & -\log\left(1/q-1\right)\end{eqnarray*}](../../_images/math/e6acbc13c4ec6978ffaf7c0a8cb0c4ad89845211.png)

System Message: WARNING/2 ( h\left[X\right]=1.)
latex exited with error: [stderr] [stdout] This is pdfTeX, Version 3.1415926-2.4-1.40.13 (TeX Live 2012/Debian) restricted \write18 enabled. entering extended mode (./math.tex LaTeX2e <2011/06/27> Babel <v3.8m> and hyphenation patterns for english, dumylang, nohyphenation, lo aded. (/usr/share/texlive/texmf-dist/tex/latex/base/article.cls Document Class: article 2007/10/19 v1.4h Standard LaTeX document class (/usr/share/texlive/texmf-dist/tex/latex/base/size12.clo)) (/usr/share/texlive/texmf-dist/tex/latex/base/inputenc.sty (/usr/share/texlive/texmf-dist/tex/latex/ucs/utf8x.def)) (/usr/share/texlive/texmf-dist/tex/latex/ucs/ucs.sty (/usr/share/texlive/texmf-dist/tex/latex/ucs/data/uni-global.def)) (/usr/share/texlive/texmf-dist/tex/latex/amsmath/amsmath.sty For additional information on amsmath, use the `?’ option. (/usr/share/texlive/texmf-dist/tex/latex/amsmath/amstext.sty (/usr/share/texlive/texmf-dist/tex/latex/amsmath/amsgen.sty)) (/usr/share/texlive/texmf-dist/tex/latex/amsmath/amsbsy.sty) (/usr/share/texlive/texmf-dist/tex/latex/amsmath/amsopn.sty)) (/usr/share/texlive/texmf-dist/tex/latex/amscls/amsthm.sty) (/usr/share/texlive/texmf-dist/tex/latex/amsfonts/amssymb.sty (/usr/share/texlive/texmf-dist/tex/latex/amsfonts/amsfonts.sty)) (/usr/share/texlive/texmf-dist/tex/latex/tools/bm.sty) (/usr/share/texmf/tex/latex/preview/preview.sty) (./math.aux) (/usr/share/texlive/texmf-dist/tex/latex/ucs/ucsencs.def) Preview: Fontsize 12pt ! Missing $ inserted. <inserted text> $ l.14 h\left [X\right]=1. (/usr/share/texlive/texmf-dist/tex/latex/amsfonts/umsa.fd) (/usr/share/texlive/texmf-dist/tex/latex/amsfonts/umsb.fd) ! Missing $ inserted. <inserted text> $ l.15 \end{preview} [1] (./math.aux) ) (see the transcript file for additional information) Output written on math.dvi (1 page, 252 bytes). Transcript written on math.log.Defined over
with 

System Message: WARNING/2 ( h\left[X\right]=\log\left(\frac{2e}{c}\right))
latex exited with error: [stderr] [stdout] This is pdfTeX, Version 3.1415926-2.4-1.40.13 (TeX Live 2012/Debian) restricted \write18 enabled. entering extended mode (./math.tex LaTeX2e <2011/06/27> Babel <v3.8m> and hyphenation patterns for english, dumylang, nohyphenation, lo aded. (/usr/share/texlive/texmf-dist/tex/latex/base/article.cls Document Class: article 2007/10/19 v1.4h Standard LaTeX document class (/usr/share/texlive/texmf-dist/tex/latex/base/size12.clo)) (/usr/share/texlive/texmf-dist/tex/latex/base/inputenc.sty (/usr/share/texlive/texmf-dist/tex/latex/ucs/utf8x.def)) (/usr/share/texlive/texmf-dist/tex/latex/ucs/ucs.sty (/usr/share/texlive/texmf-dist/tex/latex/ucs/data/uni-global.def)) (/usr/share/texlive/texmf-dist/tex/latex/amsmath/amsmath.sty For additional information on amsmath, use the `?’ option. (/usr/share/texlive/texmf-dist/tex/latex/amsmath/amstext.sty (/usr/share/texlive/texmf-dist/tex/latex/amsmath/amsgen.sty)) (/usr/share/texlive/texmf-dist/tex/latex/amsmath/amsbsy.sty) (/usr/share/texlive/texmf-dist/tex/latex/amsmath/amsopn.sty)) (/usr/share/texlive/texmf-dist/tex/latex/amscls/amsthm.sty) (/usr/share/texlive/texmf-dist/tex/latex/amsfonts/amssymb.sty (/usr/share/texlive/texmf-dist/tex/latex/amsfonts/amsfonts.sty)) (/usr/share/texlive/texmf-dist/tex/latex/tools/bm.sty) (/usr/share/texmf/tex/latex/preview/preview.sty) (./math.aux) (/usr/share/texlive/texmf-dist/tex/latex/ucs/ucsencs.def) Preview: Fontsize 12pt ! Missing $ inserted. <inserted text> $ l.14 h\left [X\right]=\log\left(\frac{2e}{c}\right) (/usr/share/texlive/texmf-dist/tex/latex/amsfonts/umsa.fd) (/usr/share/texlive/texmf-dist/tex/latex/amsfonts/umsb.fd) ! Missing $ inserted. <inserted text> $ l.15 \end{preview} [1] (./math.aux) ) (see the transcript file for additional information) Output written on math.dvi (1 page, 452 bytes). Transcript written on math.log.A single shape parameter
(Defined for all
)
![\begin{eqnarray*} f\left(x;c\right) & = & \frac{\exp\left(cx-e^{x}\right)}{\Gamma\left(c\right)}\\ F\left(x;c\right) & = & \frac{\Gamma\left(c,e^{x}\right)}{\Gamma\left(c\right)}\\ G\left(q;c\right) & = & \log\left[\Gamma^{-1}\left[c,q\Gamma\left(c\right)\right]\right]\end{eqnarray*}](../../_images/math/eb664bf5c717019229e558f3a0086c7ebd3c51a3.png)
System Message: WARNING/2 ( \mu_{n}^{\prime}=\int_{0}^{\infty}\left[\log y\right]^{n}y^{c-1}\exp\left(-y\right)dy.)
latex exited with error: [stderr] [stdout] This is pdfTeX, Version 3.1415926-2.4-1.40.13 (TeX Live 2012/Debian) restricted \write18 enabled. entering extended mode (./math.tex LaTeX2e <2011/06/27> Babel <v3.8m> and hyphenation patterns for english, dumylang, nohyphenation, lo aded. (/usr/share/texlive/texmf-dist/tex/latex/base/article.cls Document Class: article 2007/10/19 v1.4h Standard LaTeX document class (/usr/share/texlive/texmf-dist/tex/latex/base/size12.clo)) (/usr/share/texlive/texmf-dist/tex/latex/base/inputenc.sty (/usr/share/texlive/texmf-dist/tex/latex/ucs/utf8x.def)) (/usr/share/texlive/texmf-dist/tex/latex/ucs/ucs.sty (/usr/share/texlive/texmf-dist/tex/latex/ucs/data/uni-global.def)) (/usr/share/texlive/texmf-dist/tex/latex/amsmath/amsmath.sty For additional information on amsmath, use the `?’ option. (/usr/share/texlive/texmf-dist/tex/latex/amsmath/amstext.sty (/usr/share/texlive/texmf-dist/tex/latex/amsmath/amsgen.sty)) (/usr/share/texlive/texmf-dist/tex/latex/amsmath/amsbsy.sty) (/usr/share/texlive/texmf-dist/tex/latex/amsmath/amsopn.sty)) (/usr/share/texlive/texmf-dist/tex/latex/amscls/amsthm.sty) (/usr/share/texlive/texmf-dist/tex/latex/amsfonts/amssymb.sty (/usr/share/texlive/texmf-dist/tex/latex/amsfonts/amsfonts.sty)) (/usr/share/texlive/texmf-dist/tex/latex/tools/bm.sty) (/usr/share/texmf/tex/latex/preview/preview.sty) (./math.aux) (/usr/share/texlive/texmf-dist/tex/latex/ucs/ucsencs.def) Preview: Fontsize 12pt ! Missing $ inserted. <inserted text> $ l.14 \mu _{n}^{\prime}=\int_{0}^{\infty}\left[\log y\right]^{n}y^{c-1}\exp\... (/usr/share/texlive/texmf-dist/tex/latex/amsfonts/umsa.fd) (/usr/share/texlive/texmf-dist/tex/latex/amsfonts/umsb.fd) ! Missing $ inserted. <inserted text> $ l.15 \end{preview} [1] (./math.aux) ) (see the transcript file for additional information) Output written on math.dvi (1 page, 604 bytes). Transcript written on math.log.
Has one shape parameter
>0. (Notice that the “Regress “
where
is the scale parameter and
is the mean of the underlying normal distribution). The standard form
is 
![\begin{eqnarray*} f\left(x;\sigma\right) & = & \frac{1}{\sigma x\sqrt{2\pi}}\exp\left[-\frac{1}{2}\left(\frac{\log x}{\sigma}\right)^{2}\right]\\ F\left(x;\sigma\right) & = & \Phi\left(\frac{\log x}{\sigma}\right)\\ G\left(q;\sigma\right) & = & \exp\left\{ \sigma\Phi^{-1}\left(q\right)\right\} \end{eqnarray*}](../../_images/math/5a600331b51896858c67071c356343c33a2ef4ab.png)
![\begin{eqnarray*} \mu & = & \exp\left(\sigma^{2}/2\right)\\ \mu_{2} & = & \exp\left(\sigma^{2}\right)\left[\exp\left(\sigma^{2}\right)-1\right]\\ \gamma_{1} & = & \sqrt{p-1}\left(2+p\right)\\ \gamma_{2} & = & p^{4}+2p^{3}+3p^{2}-6\quad\quad p=e^{\sigma^{2}}\end{eqnarray*}](../../_images/math/943a869c7cddfa0714d8f5647fc63a42b9bdabd6.png)
Notice that using JKB notation we have
and we have given the so-called antilognormal form of the
distribution. This is more consistent with the location, scale
parameter description of general probability distributions.
System Message: WARNING/2 ( h\left[X\right]=\frac{1}{2}\left[1+\log\left(2\pi\right)+2\log\left(\sigma\right)\right].)
latex exited with error: [stderr] [stdout] This is pdfTeX, Version 3.1415926-2.4-1.40.13 (TeX Live 2012/Debian) restricted \write18 enabled. entering extended mode (./math.tex LaTeX2e <2011/06/27> Babel <v3.8m> and hyphenation patterns for english, dumylang, nohyphenation, lo aded. (/usr/share/texlive/texmf-dist/tex/latex/base/article.cls Document Class: article 2007/10/19 v1.4h Standard LaTeX document class (/usr/share/texlive/texmf-dist/tex/latex/base/size12.clo)) (/usr/share/texlive/texmf-dist/tex/latex/base/inputenc.sty (/usr/share/texlive/texmf-dist/tex/latex/ucs/utf8x.def)) (/usr/share/texlive/texmf-dist/tex/latex/ucs/ucs.sty (/usr/share/texlive/texmf-dist/tex/latex/ucs/data/uni-global.def)) (/usr/share/texlive/texmf-dist/tex/latex/amsmath/amsmath.sty For additional information on amsmath, use the `?’ option. (/usr/share/texlive/texmf-dist/tex/latex/amsmath/amstext.sty (/usr/share/texlive/texmf-dist/tex/latex/amsmath/amsgen.sty)) (/usr/share/texlive/texmf-dist/tex/latex/amsmath/amsbsy.sty) (/usr/share/texlive/texmf-dist/tex/latex/amsmath/amsopn.sty)) (/usr/share/texlive/texmf-dist/tex/latex/amscls/amsthm.sty) (/usr/share/texlive/texmf-dist/tex/latex/amsfonts/amssymb.sty (/usr/share/texlive/texmf-dist/tex/latex/amsfonts/amsfonts.sty)) (/usr/share/texlive/texmf-dist/tex/latex/tools/bm.sty) (/usr/share/texmf/tex/latex/preview/preview.sty) (./math.aux) (/usr/share/texlive/texmf-dist/tex/latex/ucs/ucsencs.def) Preview: Fontsize 12pt ! Missing $ inserted. <inserted text> $ l.14 h\left [X\right]=\frac{1}{2}\left[1+\log\left(2\pi\right)+2\log\left(\... (/usr/share/texlive/texmf-dist/tex/latex/amsfonts/umsa.fd) (/usr/share/texlive/texmf-dist/tex/latex/amsfonts/umsb.fd) ! Missing $ inserted. <inserted text> $ l.15 \end{preview} [1] (./math.aux) ) (see the transcript file for additional information) Output written on math.dvi (1 page, 428 bytes). Transcript written on math.log.Also, note that if
is a log-normally distributed random-variable with
and
and shape parameter
Then,
is normally distributed with variance
and mean 
Defined over
with
and
and 
System Message: WARNING/2 ( F\left(x;a,b,c\right)=\sum_{j=0}^{\infty}\frac{e^{-c/2}\left(\frac{c}{2}\right)^{j}}{j!}I_{B}\left(a+j,b;0\right))
latex exited with error: [stderr] [stdout] This is pdfTeX, Version 3.1415926-2.4-1.40.13 (TeX Live 2012/Debian) restricted \write18 enabled. entering extended mode (./math.tex LaTeX2e <2011/06/27> Babel <v3.8m> and hyphenation patterns for english, dumylang, nohyphenation, lo aded. (/usr/share/texlive/texmf-dist/tex/latex/base/article.cls Document Class: article 2007/10/19 v1.4h Standard LaTeX document class (/usr/share/texlive/texmf-dist/tex/latex/base/size12.clo)) (/usr/share/texlive/texmf-dist/tex/latex/base/inputenc.sty (/usr/share/texlive/texmf-dist/tex/latex/ucs/utf8x.def)) (/usr/share/texlive/texmf-dist/tex/latex/ucs/ucs.sty (/usr/share/texlive/texmf-dist/tex/latex/ucs/data/uni-global.def)) (/usr/share/texlive/texmf-dist/tex/latex/amsmath/amsmath.sty For additional information on amsmath, use the `?’ option. (/usr/share/texlive/texmf-dist/tex/latex/amsmath/amstext.sty (/usr/share/texlive/texmf-dist/tex/latex/amsmath/amsgen.sty)) (/usr/share/texlive/texmf-dist/tex/latex/amsmath/amsbsy.sty) (/usr/share/texlive/texmf-dist/tex/latex/amsmath/amsopn.sty)) (/usr/share/texlive/texmf-dist/tex/latex/amscls/amsthm.sty) (/usr/share/texlive/texmf-dist/tex/latex/amsfonts/amssymb.sty (/usr/share/texlive/texmf-dist/tex/latex/amsfonts/amsfonts.sty)) (/usr/share/texlive/texmf-dist/tex/latex/tools/bm.sty) (/usr/share/texmf/tex/latex/preview/preview.sty) (./math.aux) (/usr/share/texlive/texmf-dist/tex/latex/ucs/ucsencs.def) Preview: Fontsize 12pt ! Missing $ inserted. <inserted text> $ l.14 F\left (x;a,b,c\right)=\sum_{j=0}^{\infty}\frac{e^{-c/2}\left(\frac{c}... (/usr/share/texlive/texmf-dist/tex/latex/amsfonts/umsa.fd) (/usr/share/texlive/texmf-dist/tex/latex/amsfonts/umsb.fd) ! Missing $ inserted. <inserted text> $ l.15 \end{preview} [1] (./math.aux) ) (see the transcript file for additional information) Output written on math.dvi (1 page, 792 bytes). Transcript written on math.log.The distribution of
where
are independent standard normal variables and
are constants.
(In communications it is called the Marcum-Q function). Can be thought
of as a Generalized Rayleigh-Rice distribution. For 
![\begin{eqnarray*} f\left(x;\nu,\lambda\right) & = & e^{-\left(\lambda+x\right)/2}\frac{1}{2}\left(\frac{x}{\lambda}\right)^{\left(\nu-2\right)/4}I_{\left(\nu-2\right)/2}\left(\sqrt{\lambda x}\right)\\ F\left(x;\nu,\lambda\right) & = & \sum_{j=0}^{\infty}\left\{ \frac{\left(\lambda/2\right)^{j}}{j!}e^{-\lambda/2}\right\} \textrm{Pr}\left[\chi_{\nu+2j}^{2}\leq x\right]\\ G\left(q;\nu,\lambda\right) & = & F^{-1}\left(x;\nu,\lambda\right)\end{eqnarray*}](../../_images/math/0e5134d7ee37a25a67aa89c44dd52edfd4dd9d6b.png)

The distribution of the ratio
System Message: WARNING/2 ( \frac{U+\lambda}{\chi_{\nu}/\sqrt{\nu}})
latex exited with error: [stderr] [stdout] This is pdfTeX, Version 3.1415926-2.4-1.40.13 (TeX Live 2012/Debian) restricted \write18 enabled. entering extended mode (./math.tex LaTeX2e <2011/06/27> Babel <v3.8m> and hyphenation patterns for english, dumylang, nohyphenation, lo aded. (/usr/share/texlive/texmf-dist/tex/latex/base/article.cls Document Class: article 2007/10/19 v1.4h Standard LaTeX document class (/usr/share/texlive/texmf-dist/tex/latex/base/size12.clo)) (/usr/share/texlive/texmf-dist/tex/latex/base/inputenc.sty (/usr/share/texlive/texmf-dist/tex/latex/ucs/utf8x.def)) (/usr/share/texlive/texmf-dist/tex/latex/ucs/ucs.sty (/usr/share/texlive/texmf-dist/tex/latex/ucs/data/uni-global.def)) (/usr/share/texlive/texmf-dist/tex/latex/amsmath/amsmath.sty For additional information on amsmath, use the `?’ option. (/usr/share/texlive/texmf-dist/tex/latex/amsmath/amstext.sty (/usr/share/texlive/texmf-dist/tex/latex/amsmath/amsgen.sty)) (/usr/share/texlive/texmf-dist/tex/latex/amsmath/amsbsy.sty) (/usr/share/texlive/texmf-dist/tex/latex/amsmath/amsopn.sty)) (/usr/share/texlive/texmf-dist/tex/latex/amscls/amsthm.sty) (/usr/share/texlive/texmf-dist/tex/latex/amsfonts/amssymb.sty (/usr/share/texlive/texmf-dist/tex/latex/amsfonts/amsfonts.sty)) (/usr/share/texlive/texmf-dist/tex/latex/tools/bm.sty) (/usr/share/texmf/tex/latex/preview/preview.sty) (./math.aux) (/usr/share/texlive/texmf-dist/tex/latex/ucs/ucsencs.def) Preview: Fontsize 12pt ! Missing $ inserted. <inserted text> $ l.14 \frac{U+\lambda}{\chi_{\nu}/\sqrt{\nu}} (/usr/share/texlive/texmf-dist/tex/latex/amsfonts/umsa.fd) (/usr/share/texlive/texmf-dist/tex/latex/amsfonts/umsb.fd) ! Missing $ inserted. <inserted text> $ l.14 \frac{U+\lambda}{\chi_{\nu}/\sqrt{\nu}} ! Missing $ inserted. <inserted text> $ l.14 \frac{U+\lambda}{\chi_{\nu}/\sqrt{\nu}} ! Extra }, or forgotten $. \frac #1#2->{\begingroup #1\endgroup \@@over #2} l.14 \frac{U+\lambda}{\chi_{\nu}/\sqrt{\nu}} ! Missing $ inserted. <inserted text> $ l.15 \end{preview} ! Missing } inserted. <inserted text> } l.15 \end{preview} [1] (./math.aux) ) (see the transcript file for additional information) Output written on math.dvi (1 page, 428 bytes). Transcript written on math.log.where
and
are independent and distributed as a standard normal and chi with
degrees of freedom. Note
and
.
![\begin{eqnarray*} f\left(x;\lambda,\nu\right) & = & \frac{\nu^{\nu/2}\Gamma\left(\nu+1\right)}{2^{\nu}e^{\lambda^{2}/2}\left(\nu+x^{2}\right)^{\nu/2}\Gamma\left(\nu/2\right)}\\ & & \times\left\{ \frac{\sqrt{2}\lambda x\,_{1}F_{1}\left(\frac{\nu}{2}+1;\frac{3}{2};\frac{\lambda^{2}x^{2}}{2\left(\nu+x^{2}\right)}\right)}{\left(\nu+x^{2}\right)\Gamma\left(\frac{\nu+1}{2}\right)}\right.\\ & & -\left.\frac{\,_{1}F_{1}\left(\frac{\nu+1}{2};\frac{1}{2};\frac{\lambda^{2}x^{2}}{2\left(\nu+x^{2}\right)}\right)}{\sqrt{\nu+x^{2}}\Gamma\left(\frac{\nu}{2}+1\right)}\right\} \\ & = & \frac{\Gamma\left(\nu+1\right)}{2^{\left(\nu-1\right)/2}\sqrt{\pi\nu}\Gamma\left(\nu/2\right)}\exp\left[-\frac{\nu\lambda^{2}}{\nu+x^{2}}\right]\\ & & \times\left(\frac{\nu}{\nu+x^{2}}\right)^{\left(\nu-1\right)/2}Hh_{\nu}\left(-\frac{\lambda x}{\sqrt{\nu+x^{2}}}\right)\\ F\left(x;\lambda,\nu\right) & =\end{eqnarray*}](../../_images/math/5b84101fdcf93f6ca9e97371dc44c76305cac979.png)
This is a special case of the Chi distribution with
and
and 


System Message: WARNING/2 ( h\left[X\right]=\log\left(\sqrt{\frac{2\pi}{e}}\right)+\gamma.)
latex exited with error: [stderr] [stdout] This is pdfTeX, Version 3.1415926-2.4-1.40.13 (TeX Live 2012/Debian) restricted \write18 enabled. entering extended mode (./math.tex LaTeX2e <2011/06/27> Babel <v3.8m> and hyphenation patterns for english, dumylang, nohyphenation, lo aded. (/usr/share/texlive/texmf-dist/tex/latex/base/article.cls Document Class: article 2007/10/19 v1.4h Standard LaTeX document class (/usr/share/texlive/texmf-dist/tex/latex/base/size12.clo)) (/usr/share/texlive/texmf-dist/tex/latex/base/inputenc.sty (/usr/share/texlive/texmf-dist/tex/latex/ucs/utf8x.def)) (/usr/share/texlive/texmf-dist/tex/latex/ucs/ucs.sty (/usr/share/texlive/texmf-dist/tex/latex/ucs/data/uni-global.def)) (/usr/share/texlive/texmf-dist/tex/latex/amsmath/amsmath.sty For additional information on amsmath, use the `?’ option. (/usr/share/texlive/texmf-dist/tex/latex/amsmath/amstext.sty (/usr/share/texlive/texmf-dist/tex/latex/amsmath/amsgen.sty)) (/usr/share/texlive/texmf-dist/tex/latex/amsmath/amsbsy.sty) (/usr/share/texlive/texmf-dist/tex/latex/amsmath/amsopn.sty)) (/usr/share/texlive/texmf-dist/tex/latex/amscls/amsthm.sty) (/usr/share/texlive/texmf-dist/tex/latex/amsfonts/amssymb.sty (/usr/share/texlive/texmf-dist/tex/latex/amsfonts/amsfonts.sty)) (/usr/share/texlive/texmf-dist/tex/latex/tools/bm.sty) (/usr/share/texmf/tex/latex/preview/preview.sty) (./math.aux) (/usr/share/texlive/texmf-dist/tex/latex/ucs/ucsencs.def) Preview: Fontsize 12pt ! Missing $ inserted. <inserted text> $ l.14 h\left [X\right]=\log\left(\sqrt{\frac{2\pi}{e}}\right)+\gamma. (/usr/share/texlive/texmf-dist/tex/latex/amsfonts/umsa.fd) (/usr/share/texlive/texmf-dist/tex/latex/amsfonts/umsb.fd) ! Missing $ inserted. <inserted text> $ l.15 \end{preview} [1] (./math.aux) ) (see the transcript file for additional information) Output written on math.dvi (1 page, 504 bytes). Transcript written on math.log.A generalized F distribution. Two shape parameters
and
, and
. The
in the DATAPLOT reference is a scale parameter.

For
and
. Standard form is


System Message: WARNING/2 ( h\left(X\right)=\frac{1}{c}+1-\log\left(c\right))
latex exited with error: [stderr] [stdout] This is pdfTeX, Version 3.1415926-2.4-1.40.13 (TeX Live 2012/Debian) restricted \write18 enabled. entering extended mode (./math.tex LaTeX2e <2011/06/27> Babel <v3.8m> and hyphenation patterns for english, dumylang, nohyphenation, lo aded. (/usr/share/texlive/texmf-dist/tex/latex/base/article.cls Document Class: article 2007/10/19 v1.4h Standard LaTeX document class (/usr/share/texlive/texmf-dist/tex/latex/base/size12.clo)) (/usr/share/texlive/texmf-dist/tex/latex/base/inputenc.sty (/usr/share/texlive/texmf-dist/tex/latex/ucs/utf8x.def)) (/usr/share/texlive/texmf-dist/tex/latex/ucs/ucs.sty (/usr/share/texlive/texmf-dist/tex/latex/ucs/data/uni-global.def)) (/usr/share/texlive/texmf-dist/tex/latex/amsmath/amsmath.sty For additional information on amsmath, use the `?’ option. (/usr/share/texlive/texmf-dist/tex/latex/amsmath/amstext.sty (/usr/share/texlive/texmf-dist/tex/latex/amsmath/amsgen.sty)) (/usr/share/texlive/texmf-dist/tex/latex/amsmath/amsbsy.sty) (/usr/share/texlive/texmf-dist/tex/latex/amsmath/amsopn.sty)) (/usr/share/texlive/texmf-dist/tex/latex/amscls/amsthm.sty) (/usr/share/texlive/texmf-dist/tex/latex/amsfonts/amssymb.sty (/usr/share/texlive/texmf-dist/tex/latex/amsfonts/amsfonts.sty)) (/usr/share/texlive/texmf-dist/tex/latex/tools/bm.sty) (/usr/share/texmf/tex/latex/preview/preview.sty) (./math.aux) (/usr/share/texlive/texmf-dist/tex/latex/ucs/ucsencs.def) Preview: Fontsize 12pt ! Missing $ inserted. <inserted text> $ l.14 h\left (X\right)=\frac{1}{c}+1-\log\left(c\right) (/usr/share/texlive/texmf-dist/tex/latex/amsfonts/umsa.fd) (/usr/share/texlive/texmf-dist/tex/latex/amsfonts/umsb.fd) ! Missing $ inserted. <inserted text> $ l.15 \end{preview} [1] (./math.aux) ) (see the transcript file for additional information) Output written on math.dvi (1 page, 456 bytes). Transcript written on math.log.
This is Pareto of the first kind with
so 

System Message: WARNING/2 ( h\left[X\right]=\frac{1}{c}+1-\log\left(c\right).)
latex exited with error: [stderr] [stdout] This is pdfTeX, Version 3.1415926-2.4-1.40.13 (TeX Live 2012/Debian) restricted \write18 enabled. entering extended mode (./math.tex LaTeX2e <2011/06/27> Babel <v3.8m> and hyphenation patterns for english, dumylang, nohyphenation, lo aded. (/usr/share/texlive/texmf-dist/tex/latex/base/article.cls Document Class: article 2007/10/19 v1.4h Standard LaTeX document class (/usr/share/texlive/texmf-dist/tex/latex/base/size12.clo)) (/usr/share/texlive/texmf-dist/tex/latex/base/inputenc.sty (/usr/share/texlive/texmf-dist/tex/latex/ucs/utf8x.def)) (/usr/share/texlive/texmf-dist/tex/latex/ucs/ucs.sty (/usr/share/texlive/texmf-dist/tex/latex/ucs/data/uni-global.def)) (/usr/share/texlive/texmf-dist/tex/latex/amsmath/amsmath.sty For additional information on amsmath, use the `?’ option. (/usr/share/texlive/texmf-dist/tex/latex/amsmath/amstext.sty (/usr/share/texlive/texmf-dist/tex/latex/amsmath/amsgen.sty)) (/usr/share/texlive/texmf-dist/tex/latex/amsmath/amsbsy.sty) (/usr/share/texlive/texmf-dist/tex/latex/amsmath/amsopn.sty)) (/usr/share/texlive/texmf-dist/tex/latex/amscls/amsthm.sty) (/usr/share/texlive/texmf-dist/tex/latex/amsfonts/amssymb.sty (/usr/share/texlive/texmf-dist/tex/latex/amsfonts/amsfonts.sty)) (/usr/share/texlive/texmf-dist/tex/latex/tools/bm.sty) (/usr/share/texmf/tex/latex/preview/preview.sty) (./math.aux) (/usr/share/texlive/texmf-dist/tex/latex/ucs/ucsencs.def) Preview: Fontsize 12pt ! Missing $ inserted. <inserted text> $ l.14 h\left [X\right]=\frac{1}{c}+1-\log\left(c\right). (/usr/share/texlive/texmf-dist/tex/latex/amsfonts/umsa.fd) (/usr/share/texlive/texmf-dist/tex/latex/amsfonts/umsb.fd) ! Missing $ inserted. <inserted text> $ l.15 \end{preview} [1] (./math.aux) ) (see the transcript file for additional information) Output written on math.dvi (1 page, 464 bytes). Transcript written on math.log.A generalization of the log-normal distribution
and
and 
![\begin{eqnarray*} f\left(x;\sigma,c\right) & = & \frac{c}{x\sigma}\phi\left(\frac{\log x}{\sigma}\right)\left(\Phi\left(-\frac{\log x}{\sigma}\right)\right)^{c-1}\\ F\left(x;\sigma,c\right) & = & 1-\left(\Phi\left(-\frac{\log x}{\sigma}\right)\right)^{c}\\ G\left(q;\sigma,c\right) & = & \exp\left[-\sigma\Phi^{-1}\left[\left(1-q\right)^{1/c}\right]\right]\end{eqnarray*}](../../_images/math/2c7a857eb26f937c3f07e0d16c5117b68375f504.png)
System Message: WARNING/2 ( \mu_{n}^{\prime}=\int_{0}^{1}\exp\left[-n\sigma\Phi^{-1}\left(y^{1/c}\right)\right]dy)
latex exited with error: [stderr] [stdout] This is pdfTeX, Version 3.1415926-2.4-1.40.13 (TeX Live 2012/Debian) restricted \write18 enabled. entering extended mode (./math.tex LaTeX2e <2011/06/27> Babel <v3.8m> and hyphenation patterns for english, dumylang, nohyphenation, lo aded. (/usr/share/texlive/texmf-dist/tex/latex/base/article.cls Document Class: article 2007/10/19 v1.4h Standard LaTeX document class (/usr/share/texlive/texmf-dist/tex/latex/base/size12.clo)) (/usr/share/texlive/texmf-dist/tex/latex/base/inputenc.sty (/usr/share/texlive/texmf-dist/tex/latex/ucs/utf8x.def)) (/usr/share/texlive/texmf-dist/tex/latex/ucs/ucs.sty (/usr/share/texlive/texmf-dist/tex/latex/ucs/data/uni-global.def)) (/usr/share/texlive/texmf-dist/tex/latex/amsmath/amsmath.sty For additional information on amsmath, use the `?’ option. (/usr/share/texlive/texmf-dist/tex/latex/amsmath/amstext.sty (/usr/share/texlive/texmf-dist/tex/latex/amsmath/amsgen.sty)) (/usr/share/texlive/texmf-dist/tex/latex/amsmath/amsbsy.sty) (/usr/share/texlive/texmf-dist/tex/latex/amsmath/amsopn.sty)) (/usr/share/texlive/texmf-dist/tex/latex/amscls/amsthm.sty) (/usr/share/texlive/texmf-dist/tex/latex/amsfonts/amssymb.sty (/usr/share/texlive/texmf-dist/tex/latex/amsfonts/amsfonts.sty)) (/usr/share/texlive/texmf-dist/tex/latex/tools/bm.sty) (/usr/share/texmf/tex/latex/preview/preview.sty) (./math.aux) (/usr/share/texlive/texmf-dist/tex/latex/ucs/ucsencs.def) Preview: Fontsize 12pt ! Missing $ inserted. <inserted text> $ l.14 \mu _{n}^{\prime}=\int_{0}^{1}\exp\left[-n\sigma\Phi^{-1}\left(y^{1/c}... (/usr/share/texlive/texmf-dist/tex/latex/amsfonts/umsa.fd) (/usr/share/texlive/texmf-dist/tex/latex/amsfonts/umsb.fd) ! Missing $ inserted. <inserted text> $ l.15 \end{preview} [1] (./math.aux) ) (see the transcript file for additional information) Output written on math.dvi (1 page, 604 bytes). Transcript written on math.log.
This distribution reduces to the log-normal distribution when 
A generalization of the normal distribution,
for
![\begin{eqnarray*} f\left(x;c\right) & = & c\phi\left(x\right)\left(\Phi\left(-x\right)\right)^{c-1}\\ F\left(x;c\right) & = & 1-\left(\Phi\left(-x\right)\right)^{c}\\ G\left(q;c\right) & = & -\Phi^{-1}\left[\left(1-q\right)^{1/c}\right]\end{eqnarray*}](../../_images/math/7e841f3dc819b417c232414286bd788188b16075.png)
System Message: WARNING/2 ( \mu_{n}^{\prime}=\left(-1\right)^{n}\int_{0}^{1}\left[\Phi^{-1}\left(y^{1/c}\right)\right]^{n}dy)
latex exited with error: [stderr] [stdout] This is pdfTeX, Version 3.1415926-2.4-1.40.13 (TeX Live 2012/Debian) restricted \write18 enabled. entering extended mode (./math.tex LaTeX2e <2011/06/27> Babel <v3.8m> and hyphenation patterns for english, dumylang, nohyphenation, lo aded. (/usr/share/texlive/texmf-dist/tex/latex/base/article.cls Document Class: article 2007/10/19 v1.4h Standard LaTeX document class (/usr/share/texlive/texmf-dist/tex/latex/base/size12.clo)) (/usr/share/texlive/texmf-dist/tex/latex/base/inputenc.sty (/usr/share/texlive/texmf-dist/tex/latex/ucs/utf8x.def)) (/usr/share/texlive/texmf-dist/tex/latex/ucs/ucs.sty (/usr/share/texlive/texmf-dist/tex/latex/ucs/data/uni-global.def)) (/usr/share/texlive/texmf-dist/tex/latex/amsmath/amsmath.sty For additional information on amsmath, use the `?’ option. (/usr/share/texlive/texmf-dist/tex/latex/amsmath/amstext.sty (/usr/share/texlive/texmf-dist/tex/latex/amsmath/amsgen.sty)) (/usr/share/texlive/texmf-dist/tex/latex/amsmath/amsbsy.sty) (/usr/share/texlive/texmf-dist/tex/latex/amsmath/amsopn.sty)) (/usr/share/texlive/texmf-dist/tex/latex/amscls/amsthm.sty) (/usr/share/texlive/texmf-dist/tex/latex/amsfonts/amssymb.sty (/usr/share/texlive/texmf-dist/tex/latex/amsfonts/amsfonts.sty)) (/usr/share/texlive/texmf-dist/tex/latex/tools/bm.sty) (/usr/share/texmf/tex/latex/preview/preview.sty) (./math.aux) (/usr/share/texlive/texmf-dist/tex/latex/ucs/ucsencs.def) Preview: Fontsize 12pt ! Missing $ inserted. <inserted text> $ l.14 \mu _{n}^{\prime}=\left(-1\right)^{n}\int_{0}^{1}\left[\Phi^{-1}\left(... (/usr/share/texlive/texmf-dist/tex/latex/amsfonts/umsa.fd) (/usr/share/texlive/texmf-dist/tex/latex/amsfonts/umsb.fd) ! Missing $ inserted. <inserted text> $ l.15 \end{preview} [1] (./math.aux) ) (see the transcript file for additional information) Output written on math.dvi (1 page, 632 bytes). Transcript written on math.log.
For
this reduces to the normal distribution.
A special case of the beta distribution with
: defined for ![x\in\left[0,1\right]](../../_images/math/ede0b6618d567a0e7c9598b5a94ec4590e6a225c.png)


System Message: WARNING/2 ( h\left[X\right]=1-\frac{1}{a}-\log\left(a\right))
latex exited with error: [stderr] [stdout] This is pdfTeX, Version 3.1415926-2.4-1.40.13 (TeX Live 2012/Debian) restricted \write18 enabled. entering extended mode (./math.tex LaTeX2e <2011/06/27> Babel <v3.8m> and hyphenation patterns for english, dumylang, nohyphenation, lo aded. (/usr/share/texlive/texmf-dist/tex/latex/base/article.cls Document Class: article 2007/10/19 v1.4h Standard LaTeX document class (/usr/share/texlive/texmf-dist/tex/latex/base/size12.clo)) (/usr/share/texlive/texmf-dist/tex/latex/base/inputenc.sty (/usr/share/texlive/texmf-dist/tex/latex/ucs/utf8x.def)) (/usr/share/texlive/texmf-dist/tex/latex/ucs/ucs.sty (/usr/share/texlive/texmf-dist/tex/latex/ucs/data/uni-global.def)) (/usr/share/texlive/texmf-dist/tex/latex/amsmath/amsmath.sty For additional information on amsmath, use the `?’ option. (/usr/share/texlive/texmf-dist/tex/latex/amsmath/amstext.sty (/usr/share/texlive/texmf-dist/tex/latex/amsmath/amsgen.sty)) (/usr/share/texlive/texmf-dist/tex/latex/amsmath/amsbsy.sty) (/usr/share/texlive/texmf-dist/tex/latex/amsmath/amsopn.sty)) (/usr/share/texlive/texmf-dist/tex/latex/amscls/amsthm.sty) (/usr/share/texlive/texmf-dist/tex/latex/amsfonts/amssymb.sty (/usr/share/texlive/texmf-dist/tex/latex/amsfonts/amsfonts.sty)) (/usr/share/texlive/texmf-dist/tex/latex/tools/bm.sty) (/usr/share/texmf/tex/latex/preview/preview.sty) (./math.aux) (/usr/share/texlive/texmf-dist/tex/latex/ucs/ucsencs.def) Preview: Fontsize 12pt ! Missing $ inserted. <inserted text> $ l.14 h\left [X\right]=1-\frac{1}{a}-\log\left(a\right) (/usr/share/texlive/texmf-dist/tex/latex/amsfonts/umsa.fd) (/usr/share/texlive/texmf-dist/tex/latex/amsfonts/umsb.fd) ! Missing $ inserted. <inserted text> $ l.15 \end{preview} [1] (./math.aux) ) (see the transcript file for additional information) Output written on math.dvi (1 page, 456 bytes). Transcript written on math.log.A general-purpose distribution with a variety of shapes controlled by
Range of standard distribution is ![x\in\left[-1,1\right]](../../_images/math/aac9c0ae9a862cfe45205524ee5ccc8000faa7ff.png)

System Message: WARNING/2 ( \mu_{n}^{\prime}=\frac{\left(1+\left(-1\right)^{n}\right)}{2}B\left(\frac{n+1}{2},\frac{c}{2}\right))
latex exited with error: [stderr] [stdout] This is pdfTeX, Version 3.1415926-2.4-1.40.13 (TeX Live 2012/Debian) restricted \write18 enabled. entering extended mode (./math.tex LaTeX2e <2011/06/27> Babel <v3.8m> and hyphenation patterns for english, dumylang, nohyphenation, lo aded. (/usr/share/texlive/texmf-dist/tex/latex/base/article.cls Document Class: article 2007/10/19 v1.4h Standard LaTeX document class (/usr/share/texlive/texmf-dist/tex/latex/base/size12.clo)) (/usr/share/texlive/texmf-dist/tex/latex/base/inputenc.sty (/usr/share/texlive/texmf-dist/tex/latex/ucs/utf8x.def)) (/usr/share/texlive/texmf-dist/tex/latex/ucs/ucs.sty (/usr/share/texlive/texmf-dist/tex/latex/ucs/data/uni-global.def)) (/usr/share/texlive/texmf-dist/tex/latex/amsmath/amsmath.sty For additional information on amsmath, use the `?’ option. (/usr/share/texlive/texmf-dist/tex/latex/amsmath/amstext.sty (/usr/share/texlive/texmf-dist/tex/latex/amsmath/amsgen.sty)) (/usr/share/texlive/texmf-dist/tex/latex/amsmath/amsbsy.sty) (/usr/share/texlive/texmf-dist/tex/latex/amsmath/amsopn.sty)) (/usr/share/texlive/texmf-dist/tex/latex/amscls/amsthm.sty) (/usr/share/texlive/texmf-dist/tex/latex/amsfonts/amssymb.sty (/usr/share/texlive/texmf-dist/tex/latex/amsfonts/amsfonts.sty)) (/usr/share/texlive/texmf-dist/tex/latex/tools/bm.sty) (/usr/share/texmf/tex/latex/preview/preview.sty) (./math.aux) (/usr/share/texlive/texmf-dist/tex/latex/ucs/ucsencs.def) Preview: Fontsize 12pt ! Missing $ inserted. <inserted text> $ l.14 \mu _{n}^{\prime}=\frac{\left(1+\left(-1\right)^{n}\right)}{2}B\left(\... (/usr/share/texlive/texmf-dist/tex/latex/amsfonts/umsa.fd) (/usr/share/texlive/texmf-dist/tex/latex/amsfonts/umsb.fd) ! Missing $ inserted. <inserted text> $ l.15 \end{preview} [1] (./math.aux) ) (see the transcript file for additional information) Output written on math.dvi (1 page, 676 bytes). Transcript written on math.log.The R-distribution with parameter
is the distribution of the correlation coefficient of a random sample
of size
drawn from a bivariate normal distribution with
The mean of the standard distribution is always zero and as the sample
size grows, the distribution’s mass concentrates more closely about
this mean.
This is Chi distribution with
and
and
(no location parameter is generally used), the mode of the
distribution is 


System Message: WARNING/2 ( h\left[X\right]=\frac{\gamma}{2}+\log\left(\frac{e}{\sqrt{2}}\right).)
latex exited with error: [stderr] [stdout] This is pdfTeX, Version 3.1415926-2.4-1.40.13 (TeX Live 2012/Debian) restricted \write18 enabled. entering extended mode (./math.tex LaTeX2e <2011/06/27> Babel <v3.8m> and hyphenation patterns for english, dumylang, nohyphenation, lo aded. (/usr/share/texlive/texmf-dist/tex/latex/base/article.cls Document Class: article 2007/10/19 v1.4h Standard LaTeX document class (/usr/share/texlive/texmf-dist/tex/latex/base/size12.clo)) (/usr/share/texlive/texmf-dist/tex/latex/base/inputenc.sty (/usr/share/texlive/texmf-dist/tex/latex/ucs/utf8x.def)) (/usr/share/texlive/texmf-dist/tex/latex/ucs/ucs.sty (/usr/share/texlive/texmf-dist/tex/latex/ucs/data/uni-global.def)) (/usr/share/texlive/texmf-dist/tex/latex/amsmath/amsmath.sty For additional information on amsmath, use the `?’ option. (/usr/share/texlive/texmf-dist/tex/latex/amsmath/amstext.sty (/usr/share/texlive/texmf-dist/tex/latex/amsmath/amsgen.sty)) (/usr/share/texlive/texmf-dist/tex/latex/amsmath/amsbsy.sty) (/usr/share/texlive/texmf-dist/tex/latex/amsmath/amsopn.sty)) (/usr/share/texlive/texmf-dist/tex/latex/amscls/amsthm.sty) (/usr/share/texlive/texmf-dist/tex/latex/amsfonts/amssymb.sty (/usr/share/texlive/texmf-dist/tex/latex/amsfonts/amsfonts.sty)) (/usr/share/texlive/texmf-dist/tex/latex/tools/bm.sty) (/usr/share/texmf/tex/latex/preview/preview.sty) (./math.aux) (/usr/share/texlive/texmf-dist/tex/latex/ucs/ucsencs.def) Preview: Fontsize 12pt ! Missing $ inserted. <inserted text> $ l.14 h\left [X\right]=\frac{\gamma}{2}+\log\left(\frac{e}{\sqrt{2}}\right). (/usr/share/texlive/texmf-dist/tex/latex/amsfonts/umsa.fd) (/usr/share/texlive/texmf-dist/tex/latex/amsfonts/umsb.fd) ! Missing $ inserted. <inserted text> $ l.15 \end{preview} [1] (./math.aux) ) (see the transcript file for additional information) Output written on math.dvi (1 page, 580 bytes). Transcript written on math.log.System Message: WARNING/2 ( \mu_{n}^{\prime}=\sqrt{2^{n}}\Gamma\left(\frac{n}{2}+1\right))
latex exited with error: [stderr] [stdout] This is pdfTeX, Version 3.1415926-2.4-1.40.13 (TeX Live 2012/Debian) restricted \write18 enabled. entering extended mode (./math.tex LaTeX2e <2011/06/27> Babel <v3.8m> and hyphenation patterns for english, dumylang, nohyphenation, lo aded. (/usr/share/texlive/texmf-dist/tex/latex/base/article.cls Document Class: article 2007/10/19 v1.4h Standard LaTeX document class (/usr/share/texlive/texmf-dist/tex/latex/base/size12.clo)) (/usr/share/texlive/texmf-dist/tex/latex/base/inputenc.sty (/usr/share/texlive/texmf-dist/tex/latex/ucs/utf8x.def)) (/usr/share/texlive/texmf-dist/tex/latex/ucs/ucs.sty (/usr/share/texlive/texmf-dist/tex/latex/ucs/data/uni-global.def)) (/usr/share/texlive/texmf-dist/tex/latex/amsmath/amsmath.sty For additional information on amsmath, use the `?’ option. (/usr/share/texlive/texmf-dist/tex/latex/amsmath/amstext.sty (/usr/share/texlive/texmf-dist/tex/latex/amsmath/amsgen.sty)) (/usr/share/texlive/texmf-dist/tex/latex/amsmath/amsbsy.sty) (/usr/share/texlive/texmf-dist/tex/latex/amsmath/amsopn.sty)) (/usr/share/texlive/texmf-dist/tex/latex/amscls/amsthm.sty) (/usr/share/texlive/texmf-dist/tex/latex/amsfonts/amssymb.sty (/usr/share/texlive/texmf-dist/tex/latex/amsfonts/amsfonts.sty)) (/usr/share/texlive/texmf-dist/tex/latex/tools/bm.sty) (/usr/share/texmf/tex/latex/preview/preview.sty) (./math.aux) (/usr/share/texlive/texmf-dist/tex/latex/ucs/ucsencs.def) Preview: Fontsize 12pt ! Missing $ inserted. <inserted text> $ l.14 \mu _{n}^{\prime}=\sqrt{2^{n}}\Gamma\left(\frac{n}{2}+1\right) (/usr/share/texlive/texmf-dist/tex/latex/amsfonts/umsa.fd) (/usr/share/texlive/texmf-dist/tex/latex/amsfonts/umsb.fd) ! Missing $ inserted. <inserted text> $ l.15 \end{preview} [1] (./math.aux) ) (see the transcript file for additional information) Output written on math.dvi (1 page, 592 bytes). Transcript written on math.log.Defined for
and 

System Message: WARNING/2 ( \mu_{n}^{\prime}=\sqrt{2^{n}}\Gamma\left(1+\frac{n}{2}\right)\,_{1}F_{1}\left(-\frac{n}{2};1;-\frac{b^{2}}{2}\right))
latex exited with error: [stderr] [stdout] This is pdfTeX, Version 3.1415926-2.4-1.40.13 (TeX Live 2012/Debian) restricted \write18 enabled. entering extended mode (./math.tex LaTeX2e <2011/06/27> Babel <v3.8m> and hyphenation patterns for english, dumylang, nohyphenation, lo aded. (/usr/share/texlive/texmf-dist/tex/latex/base/article.cls Document Class: article 2007/10/19 v1.4h Standard LaTeX document class (/usr/share/texlive/texmf-dist/tex/latex/base/size12.clo)) (/usr/share/texlive/texmf-dist/tex/latex/base/inputenc.sty (/usr/share/texlive/texmf-dist/tex/latex/ucs/utf8x.def)) (/usr/share/texlive/texmf-dist/tex/latex/ucs/ucs.sty (/usr/share/texlive/texmf-dist/tex/latex/ucs/data/uni-global.def)) (/usr/share/texlive/texmf-dist/tex/latex/amsmath/amsmath.sty For additional information on amsmath, use the `?’ option. (/usr/share/texlive/texmf-dist/tex/latex/amsmath/amstext.sty (/usr/share/texlive/texmf-dist/tex/latex/amsmath/amsgen.sty)) (/usr/share/texlive/texmf-dist/tex/latex/amsmath/amsbsy.sty) (/usr/share/texlive/texmf-dist/tex/latex/amsmath/amsopn.sty)) (/usr/share/texlive/texmf-dist/tex/latex/amscls/amsthm.sty) (/usr/share/texlive/texmf-dist/tex/latex/amsfonts/amssymb.sty (/usr/share/texlive/texmf-dist/tex/latex/amsfonts/amsfonts.sty)) (/usr/share/texlive/texmf-dist/tex/latex/tools/bm.sty) (/usr/share/texmf/tex/latex/preview/preview.sty) (./math.aux) (/usr/share/texlive/texmf-dist/tex/latex/ucs/ucsencs.def) Preview: Fontsize 12pt ! Missing $ inserted. <inserted text> $ l.14 \mu _{n}^{\prime}=\sqrt{2^{n}}\Gamma\left(1+\frac{n}{2}\right)\,_{1}F_... (/usr/share/texlive/texmf-dist/tex/latex/amsfonts/umsa.fd) (/usr/share/texlive/texmf-dist/tex/latex/amsfonts/umsb.fd) ! Missing $ inserted. <inserted text> $ l.15 \end{preview} [1] (./math.aux) ) (see the transcript file for additional information) Output written on math.dvi (1 page, 808 bytes). Transcript written on math.log.Shape parameters
![x\in\left[a,b\right]](../../_images/math/11aff69069272c126f4f82f4aae9910257394a76.png)

![\begin{eqnarray*} d & = & \log\left(a/b\right)\\ \mu & = & \frac{a-b}{d}\\ \mu_{2} & = & \mu\frac{a+b}{2}-\mu^{2}=\frac{\left(a-b\right)\left[a\left(d-2\right)+b\left(d+2\right)\right]}{2d^{2}}\\ \gamma_{1} & = & \frac{\sqrt{2}\left[12d\left(a-b\right)^{2}+d^{2}\left(a^{2}\left(2d-9\right)+2abd+b^{2}\left(2d+9\right)\right)\right]}{3d\sqrt{a-b}\left[a\left(d-2\right)+b\left(d+2\right)\right]^{3/2}}\\ \gamma_{2} & = & \frac{-36\left(a-b\right)^{3}+36d\left(a-b\right)^{2}\left(a+b\right)-16d^{2}\left(a^{3}-b^{3}\right)+3d^{3}\left(a^{2}+b^{2}\right)\left(a+b\right)}{3\left(a-b\right)\left[a\left(d-2\right)+b\left(d+2\right)\right]^{2}}-3\\ m_{d} & = & a\\ m_{n} & = & \sqrt{ab}\end{eqnarray*}](../../_images/math/2a18d34c5dfe31509333a99e3e4f89f26c3691bf.png)
System Message: WARNING/2 ( h\left[X\right]=\frac{1}{2}\log\left(ab\right)+\log\left[\log\left(\frac{b}{a}\right)\right].)
latex exited with error: [stderr] [stdout] This is pdfTeX, Version 3.1415926-2.4-1.40.13 (TeX Live 2012/Debian) restricted \write18 enabled. entering extended mode (./math.tex LaTeX2e <2011/06/27> Babel <v3.8m> and hyphenation patterns for english, dumylang, nohyphenation, lo aded. (/usr/share/texlive/texmf-dist/tex/latex/base/article.cls Document Class: article 2007/10/19 v1.4h Standard LaTeX document class (/usr/share/texlive/texmf-dist/tex/latex/base/size12.clo)) (/usr/share/texlive/texmf-dist/tex/latex/base/inputenc.sty (/usr/share/texlive/texmf-dist/tex/latex/ucs/utf8x.def)) (/usr/share/texlive/texmf-dist/tex/latex/ucs/ucs.sty (/usr/share/texlive/texmf-dist/tex/latex/ucs/data/uni-global.def)) (/usr/share/texlive/texmf-dist/tex/latex/amsmath/amsmath.sty For additional information on amsmath, use the `?’ option. (/usr/share/texlive/texmf-dist/tex/latex/amsmath/amstext.sty (/usr/share/texlive/texmf-dist/tex/latex/amsmath/amsgen.sty)) (/usr/share/texlive/texmf-dist/tex/latex/amsmath/amsbsy.sty) (/usr/share/texlive/texmf-dist/tex/latex/amsmath/amsopn.sty)) (/usr/share/texlive/texmf-dist/tex/latex/amscls/amsthm.sty) (/usr/share/texlive/texmf-dist/tex/latex/amsfonts/amssymb.sty (/usr/share/texlive/texmf-dist/tex/latex/amsfonts/amsfonts.sty)) (/usr/share/texlive/texmf-dist/tex/latex/tools/bm.sty) (/usr/share/texmf/tex/latex/preview/preview.sty) (./math.aux) (/usr/share/texlive/texmf-dist/tex/latex/ucs/ucsencs.def) Preview: Fontsize 12pt ! Missing $ inserted. <inserted text> $ l.14 h\left [X\right]=\frac{1}{2}\log\left(ab\right)+\log\left[\log\left(\f... (/usr/share/texlive/texmf-dist/tex/latex/amsfonts/umsa.fd) (/usr/share/texlive/texmf-dist/tex/latex/amsfonts/umsb.fd) ! Missing $ inserted. <inserted text> $ l.15 \end{preview} [1] (./math.aux) ) (see the transcript file for additional information) Output written on math.dvi (1 page, 564 bytes). Transcript written on math.log.Defined on ![x\in\left[-1,1\right]](../../_images/math/aac9c0ae9a862cfe45205524ee5ccc8000faa7ff.png)
![\begin{eqnarray*} f\left(x\right) & = & \frac{2}{\pi}\sqrt{1-x^{2}}\\ F\left(x\right) & = & \frac{1}{2}+\frac{1}{\pi}\left[x\sqrt{1-x^{2}}+\arcsin x\right]\\ G\left(q\right) & = & F^{-1}\left(q\right)\end{eqnarray*}](../../_images/math/a9008bc02e8f46201e787d6025ef0a79a5fa1fbb.png)

System Message: WARNING/2 ( h\left[X\right]=0.64472988584940017414.)
latex exited with error: [stderr] [stdout] This is pdfTeX, Version 3.1415926-2.4-1.40.13 (TeX Live 2012/Debian) restricted \write18 enabled. entering extended mode (./math.tex LaTeX2e <2011/06/27> Babel <v3.8m> and hyphenation patterns for english, dumylang, nohyphenation, lo aded. (/usr/share/texlive/texmf-dist/tex/latex/base/article.cls Document Class: article 2007/10/19 v1.4h Standard LaTeX document class (/usr/share/texlive/texmf-dist/tex/latex/base/size12.clo)) (/usr/share/texlive/texmf-dist/tex/latex/base/inputenc.sty (/usr/share/texlive/texmf-dist/tex/latex/ucs/utf8x.def)) (/usr/share/texlive/texmf-dist/tex/latex/ucs/ucs.sty (/usr/share/texlive/texmf-dist/tex/latex/ucs/data/uni-global.def)) (/usr/share/texlive/texmf-dist/tex/latex/amsmath/amsmath.sty For additional information on amsmath, use the `?’ option. (/usr/share/texlive/texmf-dist/tex/latex/amsmath/amstext.sty (/usr/share/texlive/texmf-dist/tex/latex/amsmath/amsgen.sty)) (/usr/share/texlive/texmf-dist/tex/latex/amsmath/amsbsy.sty) (/usr/share/texlive/texmf-dist/tex/latex/amsmath/amsopn.sty)) (/usr/share/texlive/texmf-dist/tex/latex/amscls/amsthm.sty) (/usr/share/texlive/texmf-dist/tex/latex/amsfonts/amssymb.sty (/usr/share/texlive/texmf-dist/tex/latex/amsfonts/amsfonts.sty)) (/usr/share/texlive/texmf-dist/tex/latex/tools/bm.sty) (/usr/share/texmf/tex/latex/preview/preview.sty) (./math.aux) (/usr/share/texlive/texmf-dist/tex/latex/ucs/ucsencs.def) Preview: Fontsize 12pt ! Missing $ inserted. <inserted text> $ l.14 h\left [X\right]=0.64472988584940017414. (/usr/share/texlive/texmf-dist/tex/latex/amsfonts/umsa.fd) (/usr/share/texlive/texmf-dist/tex/latex/amsfonts/umsb.fd) ! Missing $ inserted. <inserted text> $ l.15 \end{preview} [1] (./math.aux) ) (see the transcript file for additional information) Output written on math.dvi (1 page, 276 bytes). Transcript written on math.log.Shape parameter
is the incomplete beta integral and 
![\begin{eqnarray*} f\left(x;\nu\right) & = & \frac{\Gamma\left(\frac{\nu+1}{2}\right)}{\sqrt{\pi\nu}\Gamma\left(\frac{\nu}{2}\right)\left[1+\frac{x^{2}}{\nu}\right]^{\frac{\nu+1}{2}}}\\ F\left(x;\nu\right) & = & \left\{ \begin{array}{ccc} \frac{1}{2}I\left(\frac{\nu}{2},\frac{1}{2},\frac{\nu}{\nu+x^{2}}\right) & & x\leq0\\ 1-\frac{1}{2}I\left(\frac{\nu}{2},\frac{1}{2},\frac{\nu}{\nu+x^{2}}\right) & & x\geq0\end{array}\right.\\ G\left(q;\nu\right) & = & \left\{ \begin{array}{ccc} -\sqrt{\frac{\nu}{I^{-1}\left(\frac{\nu}{2},\frac{1}{2},2q\right)}-\nu} & & q\leq\frac{1}{2}\\ \sqrt{\frac{\nu}{I^{-1}\left(\frac{\nu}{2},\frac{1}{2},2-2q\right)}-\nu} & & q\geq\frac{1}{2}\end{array}\right.\end{eqnarray*}](../../_images/math/5cb4f75fdfa84acbc3ffb77c121ffd718f0a94bf.png)

As
this distribution approaches the standard normal distribution.
System Message: WARNING/2 ( h\left[X\right]=\frac{1}{4}\log\left(\frac{\pi c\Gamma^{2}\left(\frac{c}{2}\right)}{\Gamma^{2}\left(\frac{c+1}{2}\right)}\right)-\frac{\left(c+1\right)}{4}\left[\Psi\left(\frac{c}{2}\right)-cZ\left(c\right)+\pi\tan\left(\frac{\pi c}{2}\right)+\gamma+2\log2\right])
latex exited with error: [stderr] [stdout] This is pdfTeX, Version 3.1415926-2.4-1.40.13 (TeX Live 2012/Debian) restricted \write18 enabled. entering extended mode (./math.tex LaTeX2e <2011/06/27> Babel <v3.8m> and hyphenation patterns for english, dumylang, nohyphenation, lo aded. (/usr/share/texlive/texmf-dist/tex/latex/base/article.cls Document Class: article 2007/10/19 v1.4h Standard LaTeX document class (/usr/share/texlive/texmf-dist/tex/latex/base/size12.clo)) (/usr/share/texlive/texmf-dist/tex/latex/base/inputenc.sty (/usr/share/texlive/texmf-dist/tex/latex/ucs/utf8x.def)) (/usr/share/texlive/texmf-dist/tex/latex/ucs/ucs.sty (/usr/share/texlive/texmf-dist/tex/latex/ucs/data/uni-global.def)) (/usr/share/texlive/texmf-dist/tex/latex/amsmath/amsmath.sty For additional information on amsmath, use the `?’ option. (/usr/share/texlive/texmf-dist/tex/latex/amsmath/amstext.sty (/usr/share/texlive/texmf-dist/tex/latex/amsmath/amsgen.sty)) (/usr/share/texlive/texmf-dist/tex/latex/amsmath/amsbsy.sty) (/usr/share/texlive/texmf-dist/tex/latex/amsmath/amsopn.sty)) (/usr/share/texlive/texmf-dist/tex/latex/amscls/amsthm.sty) (/usr/share/texlive/texmf-dist/tex/latex/amsfonts/amssymb.sty (/usr/share/texlive/texmf-dist/tex/latex/amsfonts/amsfonts.sty)) (/usr/share/texlive/texmf-dist/tex/latex/tools/bm.sty) (/usr/share/texmf/tex/latex/preview/preview.sty) (./math.aux) (/usr/share/texlive/texmf-dist/tex/latex/ucs/ucsencs.def) Preview: Fontsize 12pt ! Missing $ inserted. <inserted text> $ l.14 h\left [X\right]=\frac{1}{4}\log\left(\frac{\pi c\Gamma^{2}\left(\frac... (/usr/share/texlive/texmf-dist/tex/latex/amsfonts/umsa.fd) (/usr/share/texlive/texmf-dist/tex/latex/amsfonts/umsb.fd) ! Missing $ inserted. <inserted text> $ l.15 \end{preview} [1] (./math.aux) ) (see the transcript file for additional information) Output written on math.dvi (1 page, 1104 bytes). Transcript written on math.log.where
System Message: WARNING/2 ( Z\left(c\right)=\,_{3}F_{2}\left(1,1,1+\frac{c}{2};\frac{3}{2},2;1\right)=\sum_{k=0}^{\infty}\frac{k!}{k+1}\frac{\Gamma\left(\frac{c}{2}+1+k\right)}{\Gamma\left(\frac{c}{2}+1\right)}\frac{\Gamma\left(\frac{3}{2}\right)}{\Gamma\left(\frac{3}{2}+k\right)})
latex exited with error: [stderr] [stdout] This is pdfTeX, Version 3.1415926-2.4-1.40.13 (TeX Live 2012/Debian) restricted \write18 enabled. entering extended mode (./math.tex LaTeX2e <2011/06/27> Babel <v3.8m> and hyphenation patterns for english, dumylang, nohyphenation, lo aded. (/usr/share/texlive/texmf-dist/tex/latex/base/article.cls Document Class: article 2007/10/19 v1.4h Standard LaTeX document class (/usr/share/texlive/texmf-dist/tex/latex/base/size12.clo)) (/usr/share/texlive/texmf-dist/tex/latex/base/inputenc.sty (/usr/share/texlive/texmf-dist/tex/latex/ucs/utf8x.def)) (/usr/share/texlive/texmf-dist/tex/latex/ucs/ucs.sty (/usr/share/texlive/texmf-dist/tex/latex/ucs/data/uni-global.def)) (/usr/share/texlive/texmf-dist/tex/latex/amsmath/amsmath.sty For additional information on amsmath, use the `?’ option. (/usr/share/texlive/texmf-dist/tex/latex/amsmath/amstext.sty (/usr/share/texlive/texmf-dist/tex/latex/amsmath/amsgen.sty)) (/usr/share/texlive/texmf-dist/tex/latex/amsmath/amsbsy.sty) (/usr/share/texlive/texmf-dist/tex/latex/amsmath/amsopn.sty)) (/usr/share/texlive/texmf-dist/tex/latex/amscls/amsthm.sty) (/usr/share/texlive/texmf-dist/tex/latex/amsfonts/amssymb.sty (/usr/share/texlive/texmf-dist/tex/latex/amsfonts/amsfonts.sty)) (/usr/share/texlive/texmf-dist/tex/latex/tools/bm.sty) (/usr/share/texmf/tex/latex/preview/preview.sty) (./math.aux) (/usr/share/texlive/texmf-dist/tex/latex/ucs/ucsencs.def) Preview: Fontsize 12pt ! Missing $ inserted. <inserted text> $ l.14 Z\left (c\right)=\,_{3}F_{2}\left(1,1,1+\frac{c}{2};\frac{3}{2},2;1\ri... (/usr/share/texlive/texmf-dist/tex/latex/amsfonts/umsa.fd) (/usr/share/texlive/texmf-dist/tex/latex/amsfonts/umsb.fd) ! Missing $ inserted. <inserted text> $ l.15 \end{preview} [1] (./math.aux) ) (see the transcript file for additional information) Output written on math.dvi (1 page, 1136 bytes). Transcript written on math.log.The student Z distriubtion is defined over all space with one shape
parameter 

Interesting moments are

The moment generating function is
System Message: WARNING/2 ( \theta\left(t\right)=2\sqrt{\left|\frac{t}{2}\right|^{\nu-1}}\frac{K_{\left(n-1\right)/2}\left(\left|t\right|\right)}{\Gamma\left(\frac{\nu-1}{2}\right)}.)
latex exited with error: [stderr] [stdout] This is pdfTeX, Version 3.1415926-2.4-1.40.13 (TeX Live 2012/Debian) restricted \write18 enabled. entering extended mode (./math.tex LaTeX2e <2011/06/27> Babel <v3.8m> and hyphenation patterns for english, dumylang, nohyphenation, lo aded. (/usr/share/texlive/texmf-dist/tex/latex/base/article.cls Document Class: article 2007/10/19 v1.4h Standard LaTeX document class (/usr/share/texlive/texmf-dist/tex/latex/base/size12.clo)) (/usr/share/texlive/texmf-dist/tex/latex/base/inputenc.sty (/usr/share/texlive/texmf-dist/tex/latex/ucs/utf8x.def)) (/usr/share/texlive/texmf-dist/tex/latex/ucs/ucs.sty (/usr/share/texlive/texmf-dist/tex/latex/ucs/data/uni-global.def)) (/usr/share/texlive/texmf-dist/tex/latex/amsmath/amsmath.sty For additional information on amsmath, use the `?’ option. (/usr/share/texlive/texmf-dist/tex/latex/amsmath/amstext.sty (/usr/share/texlive/texmf-dist/tex/latex/amsmath/amsgen.sty)) (/usr/share/texlive/texmf-dist/tex/latex/amsmath/amsbsy.sty) (/usr/share/texlive/texmf-dist/tex/latex/amsmath/amsopn.sty)) (/usr/share/texlive/texmf-dist/tex/latex/amscls/amsthm.sty) (/usr/share/texlive/texmf-dist/tex/latex/amsfonts/amssymb.sty (/usr/share/texlive/texmf-dist/tex/latex/amsfonts/amsfonts.sty)) (/usr/share/texlive/texmf-dist/tex/latex/tools/bm.sty) (/usr/share/texmf/tex/latex/preview/preview.sty) (./math.aux) (/usr/share/texlive/texmf-dist/tex/latex/ucs/ucsencs.def) Preview: Fontsize 12pt ! Missing $ inserted. <inserted text> $ l.14 \theta \left(t\right)=2\sqrt{\left|\frac{t}{2}\right|^{\nu-1}}\frac{K_... (/usr/share/texlive/texmf-dist/tex/latex/amsfonts/umsa.fd) (/usr/share/texlive/texmf-dist/tex/latex/amsfonts/umsb.fd) ! Missing $ inserted. <inserted text> $ l.15 \end{preview} [1] (./math.aux) ) (see the transcript file for additional information) Output written on math.dvi (1 page, 888 bytes). Transcript written on math.log.One shape parameter
giving the distance to the peak as a percentage of the total extent of
the non-zero portion. The location parameter is the start of the non-
zero portion, and the scale-parameter is the width of the non-zero
portion. In standard form we have ![x\in\left[0,1\right].](../../_images/math/5f91dd2cc45a717059f916dd5857a1679738460b.png)



This is an exponential distribution defined only over a certain region
. In standard form this is

System Message: WARNING/2 ( \mu_{n}^{\prime}=\Gamma\left(1+n\right)-\Gamma\left(1+n,B\right))
latex exited with error: [stderr] [stdout] This is pdfTeX, Version 3.1415926-2.4-1.40.13 (TeX Live 2012/Debian) restricted \write18 enabled. entering extended mode (./math.tex LaTeX2e <2011/06/27> Babel <v3.8m> and hyphenation patterns for english, dumylang, nohyphenation, lo aded. (/usr/share/texlive/texmf-dist/tex/latex/base/article.cls Document Class: article 2007/10/19 v1.4h Standard LaTeX document class (/usr/share/texlive/texmf-dist/tex/latex/base/size12.clo)) (/usr/share/texlive/texmf-dist/tex/latex/base/inputenc.sty (/usr/share/texlive/texmf-dist/tex/latex/ucs/utf8x.def)) (/usr/share/texlive/texmf-dist/tex/latex/ucs/ucs.sty (/usr/share/texlive/texmf-dist/tex/latex/ucs/data/uni-global.def)) (/usr/share/texlive/texmf-dist/tex/latex/amsmath/amsmath.sty For additional information on amsmath, use the `?’ option. (/usr/share/texlive/texmf-dist/tex/latex/amsmath/amstext.sty (/usr/share/texlive/texmf-dist/tex/latex/amsmath/amsgen.sty)) (/usr/share/texlive/texmf-dist/tex/latex/amsmath/amsbsy.sty) (/usr/share/texlive/texmf-dist/tex/latex/amsmath/amsopn.sty)) (/usr/share/texlive/texmf-dist/tex/latex/amscls/amsthm.sty) (/usr/share/texlive/texmf-dist/tex/latex/amsfonts/amssymb.sty (/usr/share/texlive/texmf-dist/tex/latex/amsfonts/amsfonts.sty)) (/usr/share/texlive/texmf-dist/tex/latex/tools/bm.sty) (/usr/share/texmf/tex/latex/preview/preview.sty) (./math.aux) (/usr/share/texlive/texmf-dist/tex/latex/ucs/ucsencs.def) Preview: Fontsize 12pt ! Missing $ inserted. <inserted text> $ l.14 \mu _{n}^{\prime}=\Gamma\left(1+n\right)-\Gamma\left(1+n,B\right) (/usr/share/texlive/texmf-dist/tex/latex/amsfonts/umsa.fd) (/usr/share/texlive/texmf-dist/tex/latex/amsfonts/umsb.fd) ! Missing $ inserted. <inserted text> $ l.15 \end{preview} [1] (./math.aux) ) (see the transcript file for additional information) Output written on math.dvi (1 page, 448 bytes). Transcript written on math.log.System Message: WARNING/2 ( h\left[X\right]=\log\left(e^{B}-1\right)+\frac{1+e^{B}\left(B-1\right)}{1-e^{B}}.)
latex exited with error: [stderr] [stdout] This is pdfTeX, Version 3.1415926-2.4-1.40.13 (TeX Live 2012/Debian) restricted \write18 enabled. entering extended mode (./math.tex LaTeX2e <2011/06/27> Babel <v3.8m> and hyphenation patterns for english, dumylang, nohyphenation, lo aded. (/usr/share/texlive/texmf-dist/tex/latex/base/article.cls Document Class: article 2007/10/19 v1.4h Standard LaTeX document class (/usr/share/texlive/texmf-dist/tex/latex/base/size12.clo)) (/usr/share/texlive/texmf-dist/tex/latex/base/inputenc.sty (/usr/share/texlive/texmf-dist/tex/latex/ucs/utf8x.def)) (/usr/share/texlive/texmf-dist/tex/latex/ucs/ucs.sty (/usr/share/texlive/texmf-dist/tex/latex/ucs/data/uni-global.def)) (/usr/share/texlive/texmf-dist/tex/latex/amsmath/amsmath.sty For additional information on amsmath, use the `?’ option. (/usr/share/texlive/texmf-dist/tex/latex/amsmath/amstext.sty (/usr/share/texlive/texmf-dist/tex/latex/amsmath/amsgen.sty)) (/usr/share/texlive/texmf-dist/tex/latex/amsmath/amsbsy.sty) (/usr/share/texlive/texmf-dist/tex/latex/amsmath/amsopn.sty)) (/usr/share/texlive/texmf-dist/tex/latex/amscls/amsthm.sty) (/usr/share/texlive/texmf-dist/tex/latex/amsfonts/amssymb.sty (/usr/share/texlive/texmf-dist/tex/latex/amsfonts/amsfonts.sty)) (/usr/share/texlive/texmf-dist/tex/latex/tools/bm.sty) (/usr/share/texmf/tex/latex/preview/preview.sty) (./math.aux) (/usr/share/texlive/texmf-dist/tex/latex/ucs/ucsencs.def) Preview: Fontsize 12pt ! Missing $ inserted. <inserted text> $ l.14 h\left [X\right]=\log\left(e^{B}-1\right)+\frac{1+e^{B}\left(B-1\right... (/usr/share/texlive/texmf-dist/tex/latex/amsfonts/umsa.fd) (/usr/share/texlive/texmf-dist/tex/latex/amsfonts/umsb.fd) ! Missing $ inserted. <inserted text> $ l.15 \end{preview} [1] (./math.aux) ) (see the transcript file for additional information) Output written on math.dvi (1 page, 664 bytes). Transcript written on math.log.A normal distribution restricted to lie within a certain range given
by two parameters
and
. Notice that this
and
correspond to the bounds on
in standard form. For
we get
![\begin{eqnarray*} f\left(x;A,B\right) & = & \frac{\phi\left(x\right)}{\Phi\left(B\right)-\Phi\left(A\right)}\\ F\left(x;A,B\right) & = & \frac{\Phi\left(x\right)-\Phi\left(A\right)}{\Phi\left(B\right)-\Phi\left(A\right)}\\ G\left(q;A,B\right) & = & \Phi^{-1}\left[q\Phi\left(B\right)+\Phi\left(A\right)\left(1-q\right)\right]\end{eqnarray*}](../../_images/math/aae3641756dcc925f89ddbb5c2d1a6c20fab5830.png)
where


Standard form
In general form, the lower limit is
the upper limit is 


System Message: WARNING/2 ( h\left[X\right]=0)
latex exited with error: [stderr] [stdout] This is pdfTeX, Version 3.1415926-2.4-1.40.13 (TeX Live 2012/Debian) restricted \write18 enabled. entering extended mode (./math.tex LaTeX2e <2011/06/27> Babel <v3.8m> and hyphenation patterns for english, dumylang, nohyphenation, lo aded. (/usr/share/texlive/texmf-dist/tex/latex/base/article.cls Document Class: article 2007/10/19 v1.4h Standard LaTeX document class (/usr/share/texlive/texmf-dist/tex/latex/base/size12.clo)) (/usr/share/texlive/texmf-dist/tex/latex/base/inputenc.sty (/usr/share/texlive/texmf-dist/tex/latex/ucs/utf8x.def)) (/usr/share/texlive/texmf-dist/tex/latex/ucs/ucs.sty (/usr/share/texlive/texmf-dist/tex/latex/ucs/data/uni-global.def)) (/usr/share/texlive/texmf-dist/tex/latex/amsmath/amsmath.sty For additional information on amsmath, use the `?’ option. (/usr/share/texlive/texmf-dist/tex/latex/amsmath/amstext.sty (/usr/share/texlive/texmf-dist/tex/latex/amsmath/amsgen.sty)) (/usr/share/texlive/texmf-dist/tex/latex/amsmath/amsbsy.sty) (/usr/share/texlive/texmf-dist/tex/latex/amsmath/amsopn.sty)) (/usr/share/texlive/texmf-dist/tex/latex/amscls/amsthm.sty) (/usr/share/texlive/texmf-dist/tex/latex/amsfonts/amssymb.sty (/usr/share/texlive/texmf-dist/tex/latex/amsfonts/amsfonts.sty)) (/usr/share/texlive/texmf-dist/tex/latex/tools/bm.sty) (/usr/share/texmf/tex/latex/preview/preview.sty) (./math.aux) (/usr/share/texlive/texmf-dist/tex/latex/ucs/ucsencs.def) Preview: Fontsize 12pt ! Missing $ inserted. <inserted text> $ l.14 h\left [X\right]=0 (/usr/share/texlive/texmf-dist/tex/latex/amsfonts/umsa.fd) (/usr/share/texlive/texmf-dist/tex/latex/amsfonts/umsb.fd) ! Missing $ inserted. <inserted text> $ l.15 \end{preview} [1] (./math.aux) ) (see the transcript file for additional information) Output written on math.dvi (1 page, 248 bytes). Transcript written on math.log.Defined for
with shape parameter
. Note, the PDF and CDF functions are periodic and are always defined
over
regardless of the location parameter. Thus, if an input beyond this
range is given, it is converted to the equivalent angle in this range.
For values of
the PDF and CDF formulas below are used. Otherwise, a normal
approximation with variance
is used.


This can be used for defining circular variance.
For

![\begin{eqnarray*} f\left(x;c\right) & = & \frac{1-c^{2}}{2\pi\left(1+c^{2}-2c\cos x\right)}\\ g_{c}\left(x\right) & = & \frac{1}{\pi}\arctan\left[\frac{1+c}{1-c}\tan\left(\frac{x}{2}\right)\right]\\ r_{c}\left(q\right) & = & 2\arctan\left[\frac{1-c}{1+c}\tan\left(\pi q\right)\right]\\ F\left(x;c\right) & = & \left\{ \begin{array}{ccc} g_{c}\left(x\right) & & 0\leq x<\pi\\ 1-g_{c}\left(2\pi-x\right) & & \pi\leq x\leq2\pi\end{array}\right.\\ G\left(q;c\right) & = & \left\{ \begin{array}{ccc} r_{c}\left(q\right) & & 0\leq q<\frac{1}{2}\\ 2\pi-r_{c}\left(1-q\right) & & \frac{1}{2}\leq q\leq1\end{array}\right.\end{eqnarray*}](../../_images/math/5b0d1fd5bb3418f6fa1dca9d0585ff0116443616.png)

System Message: WARNING/2 ( h\left[X\right]=\log\left(2\pi\left(1-c^{2}\right)\right).)
latex exited with error: [stderr] [stdout] This is pdfTeX, Version 3.1415926-2.4-1.40.13 (TeX Live 2012/Debian) restricted \write18 enabled. entering extended mode (./math.tex LaTeX2e <2011/06/27> Babel <v3.8m> and hyphenation patterns for english, dumylang, nohyphenation, lo aded. (/usr/share/texlive/texmf-dist/tex/latex/base/article.cls Document Class: article 2007/10/19 v1.4h Standard LaTeX document class (/usr/share/texlive/texmf-dist/tex/latex/base/size12.clo)) (/usr/share/texlive/texmf-dist/tex/latex/base/inputenc.sty (/usr/share/texlive/texmf-dist/tex/latex/ucs/utf8x.def)) (/usr/share/texlive/texmf-dist/tex/latex/ucs/ucs.sty (/usr/share/texlive/texmf-dist/tex/latex/ucs/data/uni-global.def)) (/usr/share/texlive/texmf-dist/tex/latex/amsmath/amsmath.sty For additional information on amsmath, use the `?’ option. (/usr/share/texlive/texmf-dist/tex/latex/amsmath/amstext.sty (/usr/share/texlive/texmf-dist/tex/latex/amsmath/amsgen.sty)) (/usr/share/texlive/texmf-dist/tex/latex/amsmath/amsbsy.sty) (/usr/share/texlive/texmf-dist/tex/latex/amsmath/amsopn.sty)) (/usr/share/texlive/texmf-dist/tex/latex/amscls/amsthm.sty) (/usr/share/texlive/texmf-dist/tex/latex/amsfonts/amssymb.sty (/usr/share/texlive/texmf-dist/tex/latex/amsfonts/amsfonts.sty)) (/usr/share/texlive/texmf-dist/tex/latex/tools/bm.sty) (/usr/share/texmf/tex/latex/preview/preview.sty) (./math.aux) (/usr/share/texlive/texmf-dist/tex/latex/ucs/ucsencs.def) Preview: Fontsize 12pt ! Missing $ inserted. <inserted text> $ l.14 h\left [X\right]=\log\left(2\pi\left(1-c^{2}\right)\right). (/usr/share/texlive/texmf-dist/tex/latex/amsfonts/umsa.fd) (/usr/share/texlive/texmf-dist/tex/latex/amsfonts/umsb.fd) ! Missing $ inserted. <inserted text> $ l.15 \end{preview} [1] (./math.aux) ) (see the transcript file for additional information) Output written on math.dvi (1 page, 408 bytes). Transcript written on math.log.Enter search terms or a module, class or function name.
















![M_{Y}\left(t\right)=E\left[e^{Yt}\right]](../../_images/math/633cb572f59446d2f720d80f647eb393aa3a9294.png)



![h\left[Y\right]=-\int f\left(y\right)\log f\left(y\right)dy](../../_images/math/152fec670a4351b800367bf33253e1a974fda139.png)
![h\left[X\right]=h\left[Y\right]+\log S](../../_images/math/74f7333b632c7fcbd636382c65f958f0c37139dc.png)
![\mu_{n}^{\prime}=E\left[Y^{n}\right]](../../_images/math/a1b7747dff6611eb46b5314e72b042ac9d42b711.png)
![E\left[X^{n}\right]=L^{n}\sum_{k=0}^{N}\left(\begin{array}{c} n\\ k\end{array}\right)\left(\frac{S}{L}\right)^{k}\mu_{k}^{\prime}](../../_images/math/e2a343b5608ae448e4ec7f8dcc52167674cfa00a.png)
![\mu_{n}=E\left[\left(Y-\mu\right)^{n}\right]](../../_images/math/ae9b03a7d7ebeac6657d47066cdb60811f823db2.png)
![E\left[\left(X-\mu_{X}\right)^{n}\right]=S^{n}\mu_{n}](../../_images/math/8102f1d4323f40b5ed02b6bb183add9ee877a624.png)





![\begin{eqnarray*} f\left(x;c,d\right) & = & \frac{cd}{x^{c+1}\left(1+x^{-c}\right)^{d+1}}I_{\left(0,\infty\right)}\left(x\right)\\ F\left(x;c,d\right) & = & \left(1+x^{-c}\right)^{-d}\\ G\left(\alpha;c,d\right) & = & \left(\alpha^{-1/d}-1\right)^{-1/c}\\ \mu & = & \frac{\Gamma\left(1-\frac{1}{c}\right)\Gamma\left(\frac{1}{c}+d\right)}{\Gamma\left(d\right)}\\ \mu_{2} & = & \frac{k}{\Gamma^{2}\left(d\right)}\\ \gamma_{1} & = & \frac{1}{\sqrt{k^{3}}}\left[2\Gamma^{3}\left(1-\frac{1}{c}\right)\Gamma^{3}\left(\frac{1}{c}+d\right)+\Gamma^{2}\left(d\right)\Gamma\left(1-\frac{3}{c}\right)\Gamma\left(\frac{3}{c}+d\right)\right.\\ & & \left.-3\Gamma\left(d\right)\Gamma\left(1-\frac{2}{c}\right)\Gamma\left(1-\frac{1}{c}\right)\Gamma\left(\frac{1}{c}+d\right)\Gamma\left(\frac{2}{c}+d\right)\right]\\ \gamma_{2} & = & -3+\frac{1}{k^{2}}\left[6\Gamma\left(d\right)\Gamma\left(1-\frac{2}{c}\right)\Gamma^{2}\left(1-\frac{1}{c}\right)\Gamma^{2}\left(\frac{1}{c}+d\right)\Gamma\left(\frac{2}{c}+d\right)\right.\\ & & -3\Gamma^{4}\left(1-\frac{1}{c}\right)\Gamma^{4}\left(\frac{1}{c}+d\right)+\Gamma^{3}\left(d\right)\Gamma\left(1-\frac{4}{c}\right)\Gamma\left(\frac{4}{c}+d\right)\\ & & \left.-4\Gamma^{2}\left(d\right)\Gamma\left(1-\frac{3}{c}\right)\Gamma\left(1-\frac{1}{c}\right)\Gamma\left(\frac{1}{c}+d\right)\Gamma\left(\frac{3}{c}+d\right)\right]\\ m_{d} & = & \left(\frac{cd-1}{c+1}\right)^{1/c}\,\textrm{if }cd>1\,\textrm{otherwise }0\\ m_{n} & = & \left(2^{1/d}-1\right)^{-1/c}\end{eqnarray*}](../../_images/math/0deef801a9ddacefa2015b315cd3030288e46a9d.png)

![\begin{eqnarray*} h\left[X\right] & = & \log\left(4\pi\right)\\ & \approx & 2.5310242469692907930.\end{eqnarray*}](../../_images/math/e7e39900c90cc12d561d156325eaad0c94a0df95.png)
![\begin{eqnarray*} f\left(x\right) & = & \frac{1}{2\pi}\left[1+\cos x\right]I_{\left[-\pi,\pi\right]}\left(x\right)\\ F\left(x\right) & = & \frac{1}{2\pi}\left[\pi+x+\sin x\right]I_{\left[-\pi,\pi\right]}\left(x\right)+I_{\left(\pi,\infty\right)}\left(x\right)\\ G\left(\alpha\right) & = & F^{-1}\left(\alpha\right)\\ M\left(t\right) & = & \frac{\sinh\left(\pi t\right)}{\pi t\left(1+t^{2}\right)}\\ \mu=m_{d}=m_{n} & = & 0\\ \mu_{2} & = & \frac{\pi^{2}}{3}-2\\ \gamma_{1} & = & 0\\ \gamma_{2} & = & \frac{-6\left(\pi^{4}-90\right)}{5\left(\pi^{2}-6\right)^{2}}\end{eqnarray*}](../../_images/math/72fd6a314049df8cfbfc6d49a334f19f7a213f69.png)
![\begin{eqnarray*} h\left[X\right] & = & \log\left(4\pi\right)-1\\ & \approx & 1.5310242469692907930.\end{eqnarray*}](../../_images/math/f16cc447c8174eccf67005303aecaf411689b0eb.png)

![\begin{eqnarray*} f\left(x;a,c\right) & = & ac\left[1-\exp\left(-x^{c}\right)\right]^{a-1}\exp\left(-x^{c}\right)x^{c-1}\\ F\left(x;a,c\right) & = & \left[1-\exp\left(-x^{c}\right)\right]^{a}\\ G\left(q;a,c\right) & = & \left[-\log\left(1-q^{1/a}\right)\right]^{1/c}\end{eqnarray*}](../../_images/math/067375df988b9e46953783f3979505884636685f.png)
. Defined for ![\begin{eqnarray*} f\left(x;b\right) & = & ebx^{b-1}\exp\left[x^{b}-e^{x^{b}}\right]\\ F\left(x;b\right) & = & 1-\exp\left[1-e^{x^{b}}\right]\\ G\left(q;b\right) & = & \log^{1/b}\left[1-\log\left(1-q\right)\right]\end{eqnarray*}](../../_images/math/90ee36dde65dcda32b0164661bacd280e27cebe7.png)
and 
![\begin{eqnarray*} f\left(x;a,b,c\right) & = & \left(a+b\left(1-e^{-cx}\right)\right)\exp\left[ax-bx+\frac{b}{c}\left(1-e^{-cx}\right)\right]\\ F\left(x;a,b,c\right) & = & 1-\exp\left[ax-bx+\frac{b}{c}\left(1-e^{-cx}\right)\right]\\ G\left(q;a,b,c\right) & = & F^{-1}\end{eqnarray*}](../../_images/math/fa0e37e70be205218dd96be47c6842e0f429025f.png)
and ![\begin{eqnarray*} f\left(x;c\right) & = & \frac{2\left(1-cx\right)^{\frac{1}{c}-1}}{\left(1+\left(1-cx\right)^{1/c}\right)^{2}}\\ F\left(x;c\right) & = & \frac{1-\left(1-cx\right)^{1/c}}{1+\left(1-cx\right)^{1/c}}\\ G\left(q;c\right) & = & \frac{1}{c}\left[1-\left(\frac{1-q}{1+q}\right)^{c}\right]\end{eqnarray*}](../../_images/math/fcc0e3b804a61ed527bc0c90cdf90369c39963fb.png)
![\begin{eqnarray*} h\left[X\right] & = & 2-\left(2c+1\right)\log2.\end{eqnarray*}](../../_images/math/71ce94ec1c39350c4eb90a52a6b6b67d84d2a0c0.png)
and
(typically also ![\begin{eqnarray*} f\left(x;\sigma\right) & = & \frac{1}{x\sqrt{2\pi}}\exp\left[-\frac{1}{2}\left(\log x\right)^{2}\right]\\ F\left(x;\sigma\right) & = & \Phi\left(\log x\right)=\frac{1}{2}\left[1+\textrm{erf}\left(\frac{\log x}{\sqrt{2}}\right)\right]\\ G\left(q;\sigma\right) & = & \exp\left\{ \Phi^{-1}\left(q\right)\right\} \end{eqnarray*}](../../_images/math/79ab2696e82b81ee68d57000813a6126c470eb6e.png)
![\begin{eqnarray*} \mu & = & \sqrt{e}\\ \mu_{2} & = & e\left[e-1\right]\\ \gamma_{1} & = & \sqrt{e-1}\left(2+e\right)\\ \gamma_{2} & = & e^{4}+2e^{3}+3e^{2}-6\end{eqnarray*}](../../_images/math/71829159ae306dbb02086e45437bb7d86050c418.png)
![\begin{eqnarray*} h\left[X\right] & = & \log\left(\sqrt{2\pi e}\right)\\ & \approx & 1.4189385332046727418\end{eqnarray*}](../../_images/math/e4bc890de1e5599c4a0d6d718d9b9c13365877e9.png)

![\begin{eqnarray*} f\left(x;a,b\right) & = & \frac{b}{x\left(1-x\right)}\phi\left(a+b\log\frac{x}{1-x}\right)\\ F\left(x;a,b\right) & = & \Phi\left(a+b\log\frac{x}{1-x}\right)\\ G\left(q;a,b\right) & = & \frac{1}{1+\exp\left[-\frac{1}{b}\left(\Phi^{-1}\left(q\right)-a\right)\right]}\end{eqnarray*}](../../_images/math/f75dc7a22852c1aab8a1d27ebd25b083d4ec7e7c.png)
![\begin{eqnarray*} f\left(x;a,b\right) & = & \frac{b}{\sqrt{x^{2}+1}}\phi\left(a+b\log\left(x+\sqrt{x^{2}+1}\right)\right)\\ F\left(x;a,b\right) & = & \Phi\left(a+b\log\left(x+\sqrt{x^{2}+1}\right)\right)\\ G\left(q;a,b\right) & = & \sinh\left[\frac{\Phi^{-1}\left(q\right)-a}{b}\right]\end{eqnarray*}](../../_images/math/ad1bb15ab1e014bd8d8d847551bf10f509076aed.png)


![\begin{eqnarray*} \mu & = & \frac{\Gamma\left(\nu+\frac{1}{2}\right)}{\sqrt{\nu}\Gamma\left(\nu\right)}\\ \mu_{2} & = & \left[1-\mu^{2}\right]\\ \gamma_{1} & = & \frac{\mu\left(1-4v\mu_{2}\right)}{2\nu\mu_{2}^{3/2}}\\ \gamma_{2} & = & \frac{-6\mu^{4}\nu+\left(8\nu-2\right)\mu^{2}-2\nu+1}{\nu\mu_{2}^{2}}\end{eqnarray*}](../../_images/math/5a309de46723228c9ee6082c19f72c02db2b0bf0.png)
and 
![\begin{eqnarray*} f\left(x;\lambda,\nu_{1},\nu_{2}\right) & = & \exp\left[\frac{\lambda}{2}+\frac{\left(\lambda\nu_{1}x\right)}{2\left(\nu_{1}x+\nu_{2}\right)}\right]\nu_{1}^{\nu_{1}/2}\nu_{2}^{\nu_{2}/2}x^{\nu_{1}/2-1}\\ & & \times\left(\nu_{2}+\nu_{1}x\right)^{-\left(\nu_{1}+\nu_{2}\right)/2}\frac{\Gamma\left(\frac{\nu_{1}}{2}\right)\Gamma\left(1+\frac{\nu_{2}}{2}\right)L_{\nu_{2}/2}^{\nu_{1}/2-1}\left(-\frac{\lambda\nu_{1}x}{2\left(\nu_{1}x+\nu_{2}\right)}\right)}{B\left(\frac{\nu_{1}}{2},\frac{\nu_{2}}{2}\right)\Gamma\left(\frac{\nu_{1}+\nu_{2}}{2}\right)}\end{eqnarray*}](../../_images/math/1976b7450fa7fca3dc33f32ed2b71e659dcfbbb3.png)


defined for 

![\begin{eqnarray*} f\left(x;\lambda\right) & = & F^{\prime}\left(x;\lambda\right)=\frac{1}{G^{\prime}\left(F\left(x;\lambda\right);\lambda\right)}=\frac{1}{F^{\lambda-1}\left(x;\lambda\right)+\left[1-F\left(x;\lambda\right)\right]^{\lambda-1}}\\ F\left(x;\lambda\right) & = & G^{-1}\left(x;\lambda\right)\\ G\left(p;\lambda\right) & = & \frac{p^{\lambda}-\left(1-p\right)^{\lambda}}{\lambda}\end{eqnarray*}](../../_images/math/55222d78416bedd8404fbc7b3d96e4a730495772.png)


![\begin{eqnarray*} h\left[X\right] & = & \int_{0}^{1}\log\left[G^{\prime}\left(p\right)\right]dp\\ & = & \int_{0}^{1}\log\left[p^{\lambda-1}+\left(1-p\right)^{\lambda-1}\right]dp.\end{eqnarray*}](../../_images/math/4d92321b6da576fd396d3e15c6c897cf4ed2bd32.png)
. Defined for 
