Contents
There are several general interpolation facilities available in SciPy, for data in 1, 2, and higher dimensions:
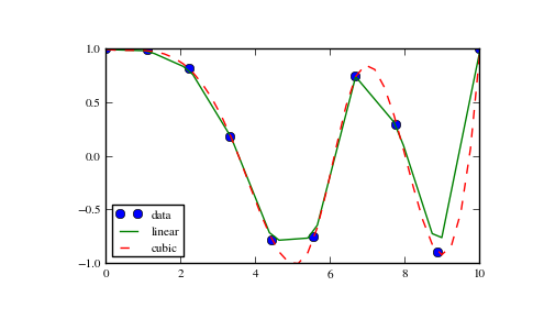
The interp1d class in scipy.interpolate is a convenient method to create a function based on fixed data points which can be evaluated anywhere within the domain defined by the given data using linear interpolation. An instance of this class is created by passing the 1-d vectors comprising the data. The instance of this class defines a __call__ method and can therefore by treated like a function which interpolates between known data values to obtain unknown values (it also has a docstring for help). Behavior at the boundary can be specified at instantiation time. The following example demonstrates its use, for linear and cubic spline interpolation:
>>> from scipy.interpolate import interp1d
>>> x = np.linspace(0, 10, 10)
>>> y = np.cos(-x**2/8.0)
>>> f = interp1d(x, y)
>>> f2 = interp1d(x, y, kind='cubic')
>>> xnew = np.linspace(0, 10, 40)
>>> import matplotlib.pyplot as plt
>>> plt.plot(x,y,'o',xnew,f(xnew),'-', xnew, f2(xnew),'--')
>>> plt.legend(['data', 'linear', 'cubic'], loc='best')
>>> plt.show()
Suppose you have multidimensional data, for instance for an underlying function f(x, y) you only know the values at points (x[i], y[i]) that do not form a regular grid.
Suppose we want to interpolate the 2-D function
>>> def func(x, y):
>>> return x*(1-x)*np.cos(4*np.pi*x) * np.sin(4*np.pi*y**2)**2
on a grid in [0, 1]x[0, 1]
>>> grid_x, grid_y = np.mgrid[0:1:100j, 0:1:200j]
but we only know its values at 1000 data points:
>>> points = np.random.rand(1000, 2)
>>> values = func(points[:,0], points[:,1])
This can be done with griddata – below we try out all of the interpolation methods:
>>> from scipy.interpolate import griddata
>>> grid_z0 = griddata(points, values, (grid_x, grid_y), method='nearest')
>>> grid_z1 = griddata(points, values, (grid_x, grid_y), method='linear')
>>> grid_z2 = griddata(points, values, (grid_x, grid_y), method='cubic')
One can see that the exact result is reproduced by all of the methods to some degree, but for this smooth function the piecewise cubic interpolant gives the best results:
>>> import matplotlib.pyplot as plt
>>> plt.subplot(221)
>>> plt.imshow(func(grid_x, grid_y).T, extent=(0,1,0,1), origin='lower')
>>> plt.plot(points[:,0], points[:,1], 'k.', ms=1)
>>> plt.title('Original')
>>> plt.subplot(222)
>>> plt.imshow(grid_z0.T, extent=(0,1,0,1), origin='lower')
>>> plt.title('Nearest')
>>> plt.subplot(223)
>>> plt.imshow(grid_z1.T, extent=(0,1,0,1), origin='lower')
>>> plt.title('Linear')
>>> plt.subplot(224)
>>> plt.imshow(grid_z2.T, extent=(0,1,0,1), origin='lower')
>>> plt.title('Cubic')
>>> plt.gcf().set_size_inches(6, 6)
>>> plt.show()
Spline interpolation requires two essential steps: (1) a spline
representation of the curve is computed, and (2) the spline is
evaluated at the desired points. In order to find the spline
representation, there are two different ways to represent a curve and
obtain (smoothing) spline coefficients: directly and parametrically.
The direct method finds the spline representation of a curve in a two-
dimensional plane using the function splrep. The
first two arguments are the only ones required, and these provide the
and
components of the curve. The normal output is
a 3-tuple,
, containing the knot-points,
, the coefficients
and the order
of the
spline. The default spline order is cubic, but this can be changed
with the input keyword, k.
For curves in
-dimensional space the function
splprep allows defining the curve
parametrically. For this function only 1 input argument is
required. This input is a list of
-arrays representing the
curve in
-dimensional space. The length of each array is the
number of curve points, and each array provides one component of the
-dimensional data point. The parameter variable is given
with the keword argument, u, which defaults to an equally-spaced
monotonic sequence between
and
. The default
output consists of two objects: a 3-tuple,
, containing the spline representation and the parameter variable

The keyword argument, s , is used to specify the amount of smoothing
to perform during the spline fit. The default value of
is
where
is the number of data-points
being fit. Therefore, if no smoothing is desired a value of
should be passed to the routines.
Once the spline representation of the data has been determined,
functions are available for evaluating the spline
(splev) and its derivatives
(splev, spalde) at any point
and the integral of the spline between any two points (
splint). In addition, for cubic splines (
) with 8 or more knots, the roots of the spline can be estimated (
sproot). These functions are demonstrated in the
example that follows.
>>> import numpy as np
>>> import matplotlib.pyplot as plt
>>> from scipy import interpolate
Cubic-spline
>>> x = np.arange(0,2*np.pi+np.pi/4,2*np.pi/8)
>>> y = np.sin(x)
>>> tck = interpolate.splrep(x,y,s=0)
>>> xnew = np.arange(0,2*np.pi,np.pi/50)
>>> ynew = interpolate.splev(xnew,tck,der=0)
>>> plt.figure()
>>> plt.plot(x,y,'x',xnew,ynew,xnew,np.sin(xnew),x,y,'b')
>>> plt.legend(['Linear','Cubic Spline', 'True'])
>>> plt.axis([-0.05,6.33,-1.05,1.05])
>>> plt.title('Cubic-spline interpolation')
>>> plt.show()
Derivative of spline
>>> yder = interpolate.splev(xnew,tck,der=1)
>>> plt.figure()
>>> plt.plot(xnew,yder,xnew,np.cos(xnew),'--')
>>> plt.legend(['Cubic Spline', 'True'])
>>> plt.axis([-0.05,6.33,-1.05,1.05])
>>> plt.title('Derivative estimation from spline')
>>> plt.show()
Integral of spline
>>> def integ(x,tck,constant=-1):
>>> x = np.atleast_1d(x)
>>> out = np.zeros(x.shape, dtype=x.dtype)
>>> for n in xrange(len(out)):
>>> out[n] = interpolate.splint(0,x[n],tck)
>>> out += constant
>>> return out
>>>
>>> yint = integ(xnew,tck)
>>> plt.figure()
>>> plt.plot(xnew,yint,xnew,-np.cos(xnew),'--')
>>> plt.legend(['Cubic Spline', 'True'])
>>> plt.axis([-0.05,6.33,-1.05,1.05])
>>> plt.title('Integral estimation from spline')
>>> plt.show()
Roots of spline
>>> print interpolate.sproot(tck)
[ 0. 3.1416]
Parametric spline
>>> t = np.arange(0,1.1,.1)
>>> x = np.sin(2*np.pi*t)
>>> y = np.cos(2*np.pi*t)
>>> tck,u = interpolate.splprep([x,y],s=0)
>>> unew = np.arange(0,1.01,0.01)
>>> out = interpolate.splev(unew,tck)
>>> plt.figure()
>>> plt.plot(x,y,'x',out[0],out[1],np.sin(2*np.pi*unew),np.cos(2*np.pi*unew),x,y,'b')
>>> plt.legend(['Linear','Cubic Spline', 'True'])
>>> plt.axis([-1.05,1.05,-1.05,1.05])
>>> plt.title('Spline of parametrically-defined curve')
>>> plt.show()
The spline-fitting capabilities described above are also available via
an objected-oriented interface. The one dimensional splines are
objects of the UnivariateSpline class, and are created with the
and
components of the curve provided as arguments
to the constructor. The class defines __call__, allowing the object
to be called with the x-axis values at which the spline should be
evaluated, returning the interpolated y-values. This is shown in
the example below for the subclass InterpolatedUnivariateSpline.
The methods integral,
derivatives, and
roots methods are also available
on UnivariateSpline objects, allowing definite integrals,
derivatives, and roots to be computed for the spline.
The UnivariateSpline class can also be used to smooth data by providing a non-zero value of the smoothing parameter s, with the same meaning as the s keyword of the splrep function described above. This results in a spline that has fewer knots than the number of data points, and hence is no longer strictly an interpolating spline, but rather a smoothing spline. If this is not desired, the InterpolatedUnivariateSpline class is available. It is a subclass of UnivariateSpline that always passes through all points (equivalent to forcing the smoothing parameter to 0). This class is demonstrated in the example below.
The LSQUnivarateSpline is the other subclass of UnivarateSpline. It allows the user to specify the number and location of internal knots as explicitly with the parameter t. This allows creation of customized splines with non-linear spacing, to interpolate in some domains and smooth in others, or change the character of the spline.
>>> import numpy as np
>>> import matplotlib.pyplot as plt
>>> from scipy import interpolate
InterpolatedUnivariateSpline
>>> x = np.arange(0,2*np.pi+np.pi/4,2*np.pi/8)
>>> y = np.sin(x)
>>> s = interpolate.InterpolatedUnivariateSpline(x,y)
>>> xnew = np.arange(0,2*np.pi,np.pi/50)
>>> ynew = s(xnew)
>>> plt.figure()
>>> plt.plot(x,y,'x',xnew,ynew,xnew,np.sin(xnew),x,y,'b')
>>> plt.legend(['Linear','InterpolatedUnivariateSpline', 'True'])
>>> plt.axis([-0.05,6.33,-1.05,1.05])
>>> plt.title('InterpolatedUnivariateSpline')
>>> plt.show()
LSQUnivarateSpline with non-uniform knots
>>> t = [np.pi/2-.1,np.pi/2+.1,3*np.pi/2-.1,3*np.pi/2+.1]
>>> s = interpolate.LSQUnivariateSpline(x,y,t,k=2)
>>> ynew = s(xnew)
>>> plt.figure()
>>> plt.plot(x,y,'x',xnew,ynew,xnew,np.sin(xnew),x,y,'b')
>>> plt.legend(['Linear','LSQUnivariateSpline', 'True'])
>>> plt.axis([-0.05,6.33,-1.05,1.05])
>>> plt.title('Spline with Specified Interior Knots')
>>> plt.show()
For (smooth) spline-fitting to a two dimensional surface, the function
bisplrep is available. This function takes as required inputs
the 1-D arrays x, y, and z which represent points on the
surface
The default output is a list
whose entries represent
respectively, the components of the knot positions, the coefficients
of the spline, and the order of the spline in each coordinate. It is
convenient to hold this list in a single object, tck, so that it can
be passed easily to the function bisplev. The
keyword, s , can be used to change the amount of smoothing performed
on the data while determining the appropriate spline. The default
value is
where
is the number of data
points in the x, y, and z vectors. As a result, if no smoothing is
desired, then
should be passed to
bisplrep .
To evaluate the two-dimensional spline and it’s partial derivatives
(up to the order of the spline), the function
bisplev is required. This function takes as the
first two arguments two 1-D arrays whose cross-product specifies
the domain over which to evaluate the spline. The third argument is
the tck list returned from bisplrep. If desired,
the fourth and fifth arguments provide the orders of the partial
derivative in the
and
direction respectively.
It is important to note that two dimensional interpolation should not be used to find the spline representation of images. The algorithm used is not amenable to large numbers of input points. The signal processing toolbox contains more appropriate algorithms for finding the spline representation of an image. The two dimensional interpolation commands are intended for use when interpolating a two dimensional function as shown in the example that follows. This example uses the mgrid command in SciPy which is useful for defining a “mesh-grid “in many dimensions. (See also the ogrid command if the full-mesh is not needed). The number of output arguments and the number of dimensions of each argument is determined by the number of indexing objects passed in mgrid.
>>> import numpy as np
>>> from scipy import interpolate
>>> import matplotlib.pyplot as plt
Define function over sparse 20x20 grid
>>> x,y = np.mgrid[-1:1:20j,-1:1:20j]
>>> z = (x+y)*np.exp(-6.0*(x*x+y*y))
>>> plt.figure()
>>> plt.pcolor(x,y,z)
>>> plt.colorbar()
>>> plt.title("Sparsely sampled function.")
>>> plt.show()
Interpolate function over new 70x70 grid
>>> xnew,ynew = np.mgrid[-1:1:70j,-1:1:70j]
>>> tck = interpolate.bisplrep(x,y,z,s=0)
>>> znew = interpolate.bisplev(xnew[:,0],ynew[0,:],tck)
>>> plt.figure()
>>> plt.pcolor(xnew,ynew,znew)
>>> plt.colorbar()
>>> plt.title("Interpolated function.")
>>> plt.show()
The BivariateSpline class is the 2-dimensional analog of the UnivariateSpline class. It and its subclasses implement the FITPACK functions described above in an object oriented fashion, allowing objects to be instantiated that can be called to compute the spline value by passing in the two coordinates as the two arguments.
Radial basis functions can be used for smoothing/interpolating scattered data in n-dimensions, but should be used with caution for extrapolation outside of the observed data range.
This example compares the usage of the Rbf and UnivariateSpline classes from the scipy.interpolate module.
>>> import numpy as np
>>> from scipy.interpolate import Rbf, InterpolatedUnivariateSpline
>>> import matplotlib.pyplot as plt
>>> # setup data
>>> x = np.linspace(0, 10, 9)
>>> y = np.sin(x)
>>> xi = np.linspace(0, 10, 101)
>>> # use fitpack2 method
>>> ius = InterpolatedUnivariateSpline(x, y)
>>> yi = ius(xi)
>>> plt.subplot(2, 1, 1)
>>> plt.plot(x, y, 'bo')
>>> plt.plot(xi, yi, 'g')
>>> plt.plot(xi, np.sin(xi), 'r')
>>> plt.title('Interpolation using univariate spline')
>>> # use RBF method
>>> rbf = Rbf(x, y)
>>> fi = rbf(xi)
>>> plt.subplot(2, 1, 2)
>>> plt.plot(x, y, 'bo')
>>> plt.plot(xi, fi, 'g')
>>> plt.plot(xi, np.sin(xi), 'r')
>>> plt.title('Interpolation using RBF - multiquadrics')
>>> plt.show()
This example shows how to interpolate scattered 2d data.
>>> import numpy as np
>>> from scipy.interpolate import Rbf
>>> import matplotlib.pyplot as plt
>>> from matplotlib import cm
>>> # 2-d tests - setup scattered data
>>> x = np.random.rand(100)*4.0-2.0
>>> y = np.random.rand(100)*4.0-2.0
>>> z = x*np.exp(-x**2-y**2)
>>> ti = np.linspace(-2.0, 2.0, 100)
>>> XI, YI = np.meshgrid(ti, ti)
>>> # use RBF
>>> rbf = Rbf(x, y, z, epsilon=2)
>>> ZI = rbf(XI, YI)
>>> # plot the result
>>> n = plt.normalize(-2., 2.)
>>> plt.subplot(1, 1, 1)
>>> plt.pcolor(XI, YI, ZI, cmap=cm.jet)
>>> plt.scatter(x, y, 100, z, cmap=cm.jet)
>>> plt.title('RBF interpolation - multiquadrics')
>>> plt.xlim(-2, 2)
>>> plt.ylim(-2, 2)
>>> plt.colorbar()