Computes the correlation distance between two 1-D arrays.
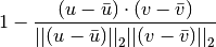
The correlation distance between u and v, is defined as

where
is the mean of the elements of u
and
is the dot product of
and
.
| Parameters : | u : (N,) array_like
v : (N,) array_like
|
|---|---|
| Returns : | correlation : double
|