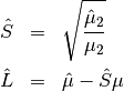
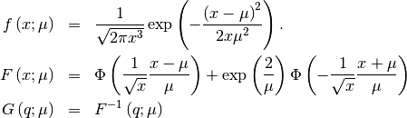
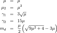
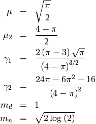
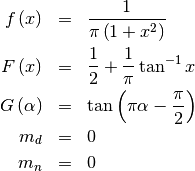
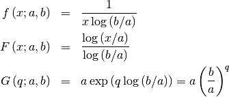
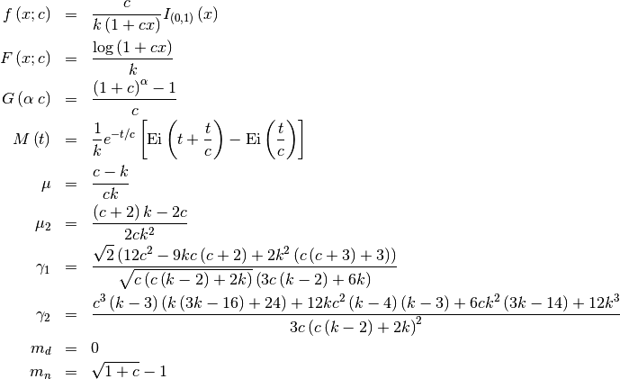
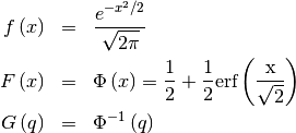
All distributions will have location (L) and Scale (S) parameters
along with any shape parameters needed, the names for the shape
parameters will vary. Standard form for the distributions will be
given where
and
The nonstandard forms can be obtained for the various functions using
(note
is a standard uniform random variate).
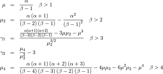
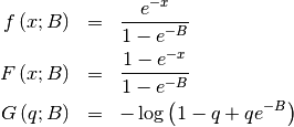
| Function Name | Standard Function | Transformation |
|---|---|---|
| Cumulative Distribution Function (CDF) | ![]() |
![]() |
| Probability Density Function (PDF) | ![]() |
![]() |
| Percent Point Function (PPF) | ![]() |
![]() |
| Probability Sparsity Function (PSF) | ![]() |
![]() |
| Hazard Function (HF) | ![]() |
![]() |
| Cumulative Hazard Functon (CHF) | ![]() |
![]() |
| Survival Function (SF) | ![]() |
![]() |
| Inverse Survival Function (ISF) | ![]() |
![]() |
| Moment Generating Function (MGF) | ![]() |
![]() |
| Random Variates | ![]() |
![]() |
| (Differential) Entropy | ![]() |
![]() |
| (Non-central) Moments | ![]() |
![]() |
| Central Moments | ![]() |
![]() |
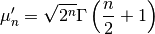
| mean (mode, median), var | ![]() |
![]() |
| skewness, kurtosis | ![]() |
![]() |
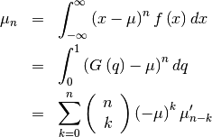
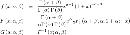
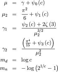
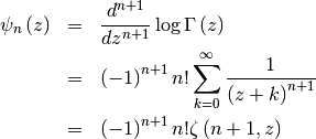
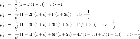
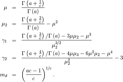
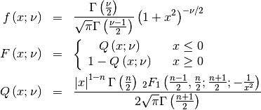
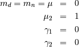
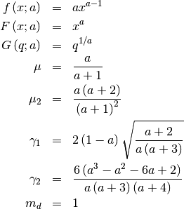
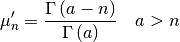
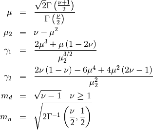
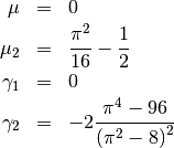
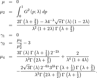
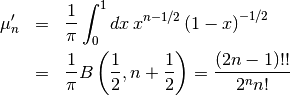
Non-central moments are defined using the PDF
![\[ \mu_{n}^{\prime}=\int_{-\infty}^{\infty}x^{n}f\left(x\right)dx.\]](../../_images/math/4ea1d22e41e892dac33bd74f0c259ff96246ec05.png)
Note, that these can always be computed using the PPF. Substitute
in the above equation and get
![\[ \mu_{n}^{\prime}=\int_{0}^{1}G^{n}\left(q\right)dq\]](../../_images/math/794cfa343bc61b8d06773553a665f811da9aec81.png)
which may be easier to compute numerically. Note that
so that
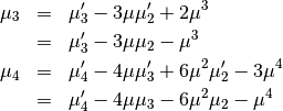
Central moments are computed similarly 

In particular

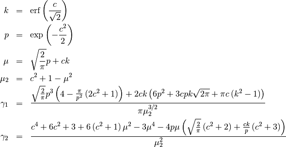
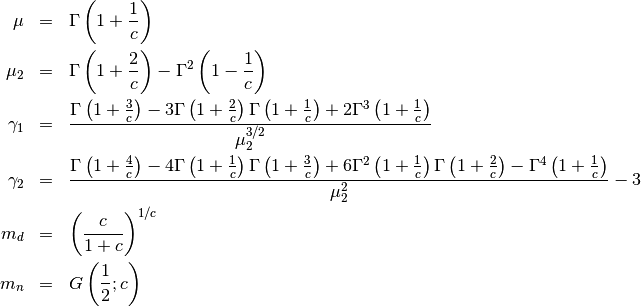
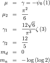
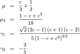
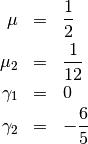
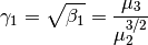
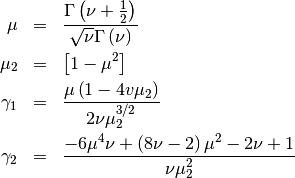
Skewness is defined as
![\[ \gamma_{1}=\sqrt{\beta_{1}}=\frac{\mu_{3}}{\mu_{2}^{3/2}}\]](../../_images/math/9ddccfc58c0701093eca1b1c2e430420cc5b56ae.png)
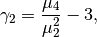
while (Fisher) kurtosis is
![\[ \gamma_{2}=\frac{\mu_{4}}{\mu_{2}^{2}}-3,\]](../../_images/math/346cb35b367ce64d9a77f072b450e58e6060b5fb.png)
so that a normal distribution has a kurtosis of zero.
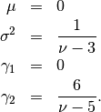
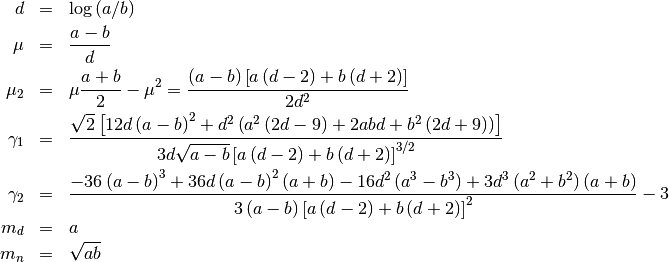
The median,
is defined as the point at which half of the density is on one side
and half on the other. In other words,
so that
![\[ m_{n}=G\left(\frac{1}{2}\right).\]](../../_images/math/439ebd3815eabf33688a1d37df1d8231ede4ca03.png)
In addition, the mode,
, is defined as the value for which the probability density function
reaches it’s peak
![\[ m_{d}=\arg\max_{x}f\left(x\right).\]](../../_images/math/dd3650d4deaad18a0c452308ce519c5da1905fae.png)
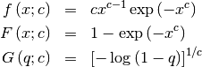
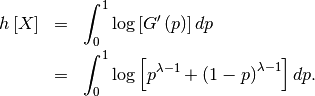
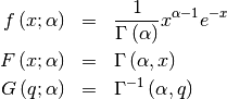
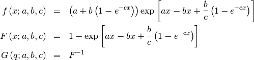
To fit data to a distribution, maximizing the likelihood function is common. Alternatively, some distributions have well-known minimum variance unbiased estimators. These will be chosen by default, but the likelihood function will always be available for minimizing.
If
is the PDF of a random-variable where
is a vector of parameters ( e.g.
and
), then for a collection of
independent samples from this distribution, the joint distribution the
random vector
is
![\[ f\left(\mathbf{x};\boldsymbol{\theta}\right)=\prod_{i=1}^{N}f\left(x_{i};\boldsymbol{\theta}\right).\]](../../_images/math/f8b58b72788c1450984bfb6515388e1ee69e25e7.png)
The maximum likelihood estimate of the parameters
are the parameters which maximize this function with
fixed and given by the data:

Where

Note that if
includes only shape parameters, the location and scale-parameters can
be fit by replacing
with
in the log-likelihood function adding
and minimizing, thus

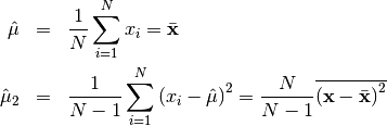
If desired, sample estimates for
and
(not necessarily maximum likelihood estimates) can be obtained from
samples estimates of the mean and variance using

where
and
are assumed known as the mean and variance of the untransformed distribution (when
and
) and

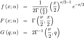
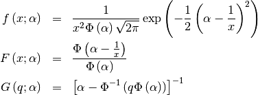
One shape parameters
(paramter
in DATAPLOT is a scale-parameter). Standard form is 
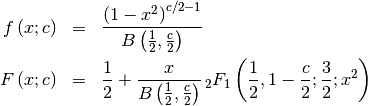
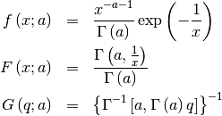
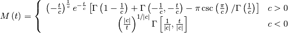
![\begin{eqnarray*} f\left(x;\alpha\right) & = & \frac{1}{x^{2}\Phi\left(\alpha\right)\sqrt{2\pi}}\exp\left(-\frac{1}{2}\left(\alpha-\frac{1}{x}\right)^{2}\right)\\ F\left(x;\alpha\right) & = & \frac{\Phi\left(\alpha-\frac{1}{x}\right)}{\Phi\left(\alpha\right)}\\ G\left(q;\alpha\right) & = & \left[\alpha-\Phi^{-1}\left(q\Phi\left(\alpha\right)\right)\right]^{-1}\end{eqnarray*}](../../_images/math/ef708cb0aeac51b3afc3a3051b612906e014cbfb.png)
![\[ M\left(t\right)=\frac{1}{\Phi\left(a\right)\sqrt{2\pi}}\int_{0}^{\infty}\frac{e^{xt}}{x^{2}}\exp\left(-\frac{1}{2}\left(\alpha-\frac{1}{x}\right)^{2}\right)dx\]](../../_images/math/0cc7a6dc6fdba28018d2599dd131825f9ad7f46d.png)
No moments?
![\[ l_{\mathbf{x}}\left(\alpha\right)=N\log\left[\Phi\left(\alpha\right)\sqrt{2\pi}\right]+2N\overline{\log\mathbf{x}}+\frac{N}{2}\alpha^{2}-\alpha\overline{\mathbf{x}^{-1}}+\frac{1}{2}\overline{\mathbf{x}^{-2}}\]](../../_images/math/c8196fd12882cb48838957f23cb6541bf0f34421.png)
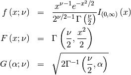
Defined over
(Note the CDF evaluation uses Eq. 3.194.1 on pg. 313 of Gradshteyn &
Ryzhik (sixth edition).

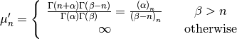
![\[ \mu_{n}^{\prime}=\left\{ \begin{array}{ccc} \frac{\Gamma\left(n+\alpha\right)\Gamma\left(\beta-n\right)}{\Gamma\left(\alpha\right)\Gamma\left(\beta\right)}=\frac{\left(\alpha\right)_{n}}{\left(\beta-n\right)_{n}} & & \beta>n\\ \infty & & \textrm{otherwise}\end{array}\right.\]](../../_images/math/d880f9bc2ae83a94a467f50d93c423f60f60fe66.png)
Therefore,

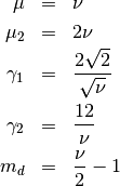
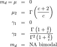
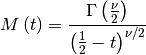
This is the gamma distribution with
and
and
where
is called the degrees of freedom. If
are all standard normal distributions, then
has (standard) chi-square distribution with
degrees of freedom.
The standard form (most often used in standard form only) is 

![\[ M\left(t\right)=\frac{\Gamma\left(\frac{\nu}{2}\right)}{\left(\frac{1}{2}-t\right)^{\nu/2}}\]](../../_images/math/5c42df031fa8524695863ab867942e2316a46a4c.png)

This is just the Gamma distribution with shape parameter
an integer.
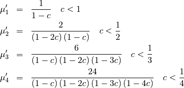
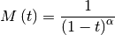
This is a special case of the Gamma (and Erlang) distributions with
shape parameter
and the same location and scale parameters. The standard form is
therefore (
)

![\[ \mu_{n}^{\prime}=n!\]](../../_images/math/ecb15fe33884a3d33f1c34752d862b00441a1280.png)
![\[ M\left(t\right)=\frac{1}{1-t}\]](../../_images/math/c028591aa7ce239cdb2ff662d8a8759829f18ae0.png)

![\[ h\left[X\right]=1.\]](../../_images/math/8ed8cecb0903d816c1df3685d45fd307e57d452f.png)
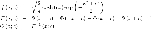
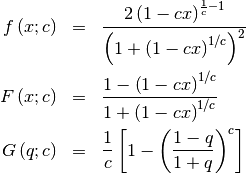
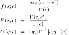
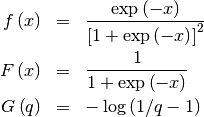
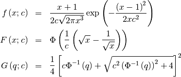
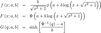
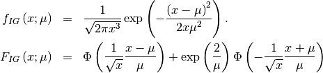
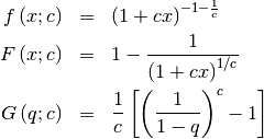
This distribution’s pdf is the average of the inverse-Gaussian
and reciprocal inverse-Gaussian pdf
. We follow the notation of JKB here with
for 
![\begin{eqnarray*} f\left(x;c\right) & = & \frac{x+1}{2c\sqrt{2\pi x^{3}}}\exp\left(-\frac{\left(x-1\right)^{2}}{2xc^{2}}\right)\\ F\left(x;c\right) & = & \Phi\left(\frac{1}{c}\left(\sqrt{x}-\frac{1}{\sqrt{x}}\right)\right)\\ G\left(q;c\right) & = & \frac{1}{4}\left[c\Phi^{-1}\left(q\right)+\sqrt{c^{2}\left(\Phi^{-1}\left(q\right)\right)^{2}+4}\right]^{2}\end{eqnarray*}](../../_images/math/a12e448600dd3cdb4e4d53a4f55bc55b87777f0e.png)
![\[ M\left(t\right)=c\sqrt{2\pi}\exp\left[\frac{1}{c^{2}}\left(1-\sqrt{1-2c^{2}t}\right)\right]\left(1+\frac{1}{\sqrt{1-2c^{2}t}}\right)\]](../../_images/math/04711a1c6b20ca63a536b75701963f95c03fd9da.png)

This formula can be expressed in terms of the standard formulas for
the Cauchy distribution (call the cdf
and the pdf
). if
is cauchy then
is folded cauchy. Note that 

No moments
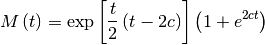
If
is Normal with mean
and
, then
is a folded normal with shape parameter
, location parameter
and scale parameter
. This is a special case of the non-central chi distribution with one-
degree of freedom and non-centrality parameter
Note that
. The standard form of the folded normal is

![\[ M\left(t\right)=\exp\left[\frac{t}{2}\left(t-2c\right)\right]\left(1+e^{2ct}\right)\]](../../_images/math/8ee83bc7fd1db8af87ccd470030692fd584bd72a.png)

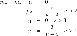
Defined for
. The distribution of
if
is chi-squared with
degrees of freedom and
is chi-squared with
degrees of freedom.
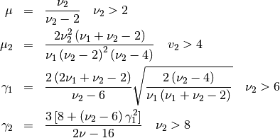
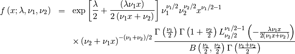
![\begin{eqnarray*} f\left(x;\nu_{1},\nu_{2}\right) & = & \frac{\nu_{2}^{\nu_{2}/2}\nu_{1}^{\nu_{1}/2}x^{\nu_{1}/2-1}}{\left(\nu_{2}+\nu_{1}x\right)^{\left(\nu_{1}+\nu_{2}\right)/2}B\left(\frac{\nu_{1}}{2},\frac{\nu_{2}}{2}\right)}\\ F\left(x;v_{1},v_{2}\right) & = & I\left(\frac{\nu_{1}}{2},\frac{\nu_{2}}{2},\frac{\nu_{2}x}{\nu_{2}+\nu_{1}x}\right)\\ G\left(q;\nu_{1},\nu_{2}\right) & = & \left[\frac{\nu_{2}}{I^{-1}\left(\nu_{1}/2,\nu_{2}/2,q\right)}-\frac{\nu_{1}}{\nu_{2}}\right]^{-1}.\end{eqnarray*}](../../_images/math/5aa1757983b2eff0dea69423eec1470095fb7651.png)
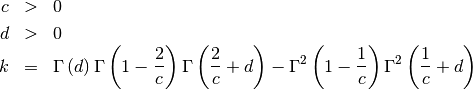
![\begin{eqnarray*} \mu & = & \frac{\nu_{2}}{\nu_{2}-2}\quad\nu_{2}>2\\ \mu_{2} & = & \frac{2\nu_{2}^{2}\left(\nu_{1}+\nu_{2}-2\right)}{\nu_{1}\left(\nu_{2}-2\right)^{2}\left(\nu_{2}-4\right)}\quad v_{2}>4\\ \gamma_{1} & = & \frac{2\left(2\nu_{1}+\nu_{2}-2\right)}{\nu_{2}-6}\sqrt{\frac{2\left(\nu_{2}-4\right)}{\nu_{1}\left(\nu_{1}+\nu_{2}-2\right)}}\quad\nu_{2}>6\\ \gamma_{2} & = & \frac{3\left[8+\left(\nu_{2}-6\right)\gamma_{1}^{2}\right]}{2\nu-16}\quad\nu_{2}>8\end{eqnarray*}](../../_images/math/1d320914edaa1b7857884f9a6ccabee016cdf0b1.png)
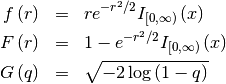
A type of extreme-value distribution with a lower bound. Defined for
and 
![\begin{eqnarray*} f\left(x;c\right) & = & cx^{c-1}\exp\left(-x^{c}\right)\\ F\left(x;c\right) & = & 1-\exp\left(-x^{c}\right)\\ G\left(q;c\right) & = & \left[-\log\left(1-q\right)\right]^{1/c}\end{eqnarray*}](../../_images/math/16ea329998867c69d645252e4533fca865b6bcc8.png)
![\[ \mu_{n}^{\prime}=\Gamma\left(1+\frac{n}{c}\right)\]](../../_images/math/25420989a5601c4b6554fb4c223c2dc689285a06.png)

![\[ h\left[X\right]=-\frac{\gamma}{c}-\log\left(c\right)+\gamma+1\]](../../_images/math/3dd6d5a77f8774cb34aeaa784f96a518c09e8242.png)
where
is Euler’s constant and equal to
![\[ \gamma\approx0.57721566490153286061.\]](../../_images/math/2e74dd264d9fdf0831e8139456472c208b40bb6c.png)
Defined for
and
.

The mean is the negative of the right-skewed Frechet distribution given above, and the other statistical parameters can be computed from
![\[ \mu_{n}^{\prime}=\left(-1\right)^{n}\Gamma\left(1+\frac{n}{c}\right).\]](../../_images/math/4987a14bf1afe5f7d1f2744afdacf2d9b38725c0.png)
![\[ h\left[X\right]=-\frac{\gamma}{c}-\log\left(c\right)+\gamma+1\]](../../_images/math/3dd6d5a77f8774cb34aeaa784f96a518c09e8242.png)
where
is Euler’s constant and equal to
![\[ \gamma\approx0.57721566490153286061.\]](../../_images/math/2e74dd264d9fdf0831e8139456472c208b40bb6c.png)
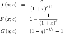
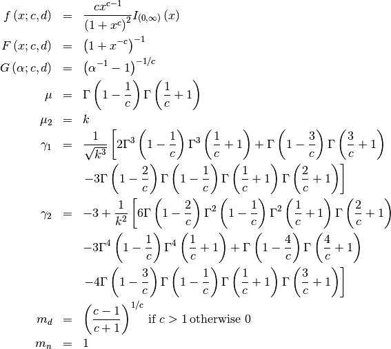
Has been used in the analysis of extreme values. Has one shape
parameter
And 
![\begin{eqnarray*} f\left(x;c\right) & = & \frac{c\exp\left(-x\right)}{\left[1+\exp\left(-x\right)\right]^{c+1}}\\ F\left(x;c\right) & = & \frac{1}{\left[1+\exp\left(-x\right)\right]^{c}}\\ G\left(q;c\right) & = & -\log\left(q^{-1/c}-1\right)\end{eqnarray*}](../../_images/math/0dbccb8d0941231f187ebfbd6afaf23def782b4a.png)
![\[ M\left(t\right)=\frac{c}{1-t}\,_{2}F_{1}\left(1+c,\,1-t\,;\,2-t\,;-1\right)\]](../../_images/math/4dea8ec91875e02a6f512d0c4ca8c83694b426c4.png)

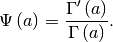
Note that the polygamma function is

where
is a generalization of the Riemann zeta function called the Hurwitz
zeta function Note that 
Extreme value distributions with shape parameter
.
For
defined on 
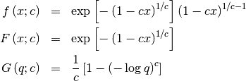
![\begin{eqnarray*} f\left(x;c\right) & = & \exp\left[-\left(1-cx\right)^{1/c}\right]\left(1-cx\right)^{1/c-1}\\ F\left(x;c\right) & = & \exp\left[-\left(1-cx\right)^{1/c}\right]\\ G\left(q;c\right) & = & \frac{1}{c}\left[1-\left(-\log q\right)^{c}\right]\end{eqnarray*}](../../_images/math/252378299611e1f97e3b3c1ecb070451c5913e3c.png)
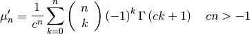
![\[ \mu_{n}^{\prime}=\frac{1}{c^{n}}\sum_{k=0}^{n}\left(\begin{array}{c} n\\ k\end{array}\right)\left(-1\right)^{k}\Gamma\left(ck+1\right)\quad cn>-1\]](../../_images/math/78ccf13a7d3bcedf7e887b473fd080d79773c22f.png)
So,

For
defined on
For
defined over all space
![\begin{eqnarray*} f\left(x;0\right) & = & \exp\left[-e^{-x}\right]e^{-x}\\ F\left(x;0\right) & = & \exp\left[-e^{-x}\right]\\ G\left(q;0\right) & = & -\log\left(-\log q\right)\end{eqnarray*}](../../_images/math/6bfe973580fddd0f29536986733acba131d82365.png)
This is just the (left-skewed) Gumbel distribution for c=0.

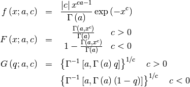
A general probability form that reduces to many common distributions:
and 
![\begin{eqnarray*} f\left(x;a,c\right) & = & \frac{\left|c\right|x^{ca-1}}{\Gamma\left(a\right)}\exp\left(-x^{c}\right)\\ F\left(x;a,c\right) & = & \begin{array}{cc} \frac{\Gamma\left(a,x^{c}\right)}{\Gamma\left(a\right)} & c>0\\ 1-\frac{\Gamma\left(a,x^{c}\right)}{\Gamma\left(a\right)} & c<0\end{array}\\ G\left(q;a,c\right) & = & \left\{ \Gamma^{-1}\left[a,\Gamma\left(a\right)q\right]\right\} ^{1/c}\quad c>0\\ & & \left\{ \Gamma^{-1}\left[a,\Gamma\left(a\right)\left(1-q\right)\right]\right\} ^{1/c}\quad c<0\end{eqnarray*}](../../_images/math/0312f7dff6300ac2ec5379ce61d5344c8b25d4b9.png)
![\[ \mu_{n}^{\prime}=\frac{\Gamma\left(a+\frac{n}{c}\right)}{\Gamma\left(a\right)}\]](../../_images/math/c85d9abb9f3e961a11ca6e0a61bccdcf186bfd46.png)

Special cases are Weibull
, half-normal
and ordinary gamma distributions
If
then it is the inverted gamma distribution.
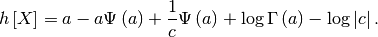
![\[ h\left[X\right]=a-a\Psi\left(a\right)+\frac{1}{c}\Psi\left(a\right)+\log\Gamma\left(a\right)-\log\left|c\right|.\]](../../_images/math/fb0f3db230b67e27ada813b93eb99bc8d621de4b.png)
For
and
. In JKB the two shape parameters
are reduced to the single shape-parameter
. As
is just a scale parameter when
. If
the distribution reduces to the exponential distribution scaled by
Thus, the standard form is given as
![\begin{eqnarray*} f\left(x;c\right) & = & ce^{x}\exp\left[-c\left(e^{x}-1\right)\right]\\ F\left(x;c\right) & = & 1-\exp\left[-c\left(e^{x}-1\right)\right]\\ G\left(q;c\right) & = & \log\left[1-\frac{1}{c}\log\left(1-q\right)\right]\end{eqnarray*}](../../_images/math/ed8e92f274ad030b6b37422c18a7e7784854b5ea.png)
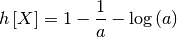
![\[ h\left[X\right]=1-\log\left(c\right)-e^{c}\textrm{Ei}\left(1,c\right),\]](../../_images/math/9beb7e96b7fc70da847c49759855d9d580c526e0.png)
where
![\[ \textrm{Ei}\left(n,x\right)=\int_{1}^{\infty}t^{-n}\exp\left(-xt\right)dt\]](../../_images/math/4ad292ec4df7cff4881e3524f34602257c5c4bfa.png)
One of a clase of extreme value distributions (right-skewed).

![\[ M\left(t\right)=\Gamma\left(1-t\right)\]](../../_images/math/a8fad186f1940b7b154e9e443e08f1494aaed53e.png)

![\[ h\left[X\right]\approx1.0608407169541684911\]](../../_images/math/4f8e4bb2d80752609a11fb54bada76e8f0f5031c.png)

![\[ M\left(t\right)=\Gamma\left(1+t\right)\]](../../_images/math/b46aefab6bb818628e793a0ff75e7cdc890aa4a3.png)
Note, that
is negative the mean for the right-skewed distribution. Similar for
median and mode. All other moments are the same.
![\[ h\left[X\right]\approx1.0608407169541684911.\]](../../_images/math/371385aacc94618875a304e41034da9c5b7bb1d5.png)
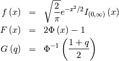
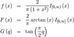
If
is Hyperbolic Secant distributed then
is Half-Cauchy distributed. Also, if
is (standard) Cauchy distributed, then
is Half-Cauchy distributed. Special case of the Folded Cauchy
distribution with
The standard form is
![\begin{eqnarray*} f\left(x\right) & = & \frac{2}{\pi\left(1+x^{2}\right)}I_{[0,\infty)}\left(x\right)\\ F\left(x\right) & = & \frac{2}{\pi}\arctan\left(x\right)I_{\left[0,\infty\right]}\left(x\right)\\ G\left(q\right) & = & \tan\left(\frac{\pi}{2}q\right)\end{eqnarray*}](../../_images/math/19f0dd4515c8439696c28ed614dcf2d9b94e12ab.png)
![\[ M\left(t\right)=\cos t+\frac{2}{\pi}\left[\textrm{Si}\left(t\right)\cos t-\textrm{Ci}\left(\textrm{-}t\right)\sin t\right]\]](../../_images/math/e81721e35d7d0c51ac006074cd0502da01aeb9d0.png)

No moments, as the integrals diverge.
![\begin{eqnarray*} h\left[X\right] & = & \log\left(2\pi\right)\\ & \approx & 1.8378770664093454836.\end{eqnarray*}](../../_images/math/93b5f371e94a7f6926bdf3740db13dc7f205eead.png)
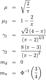
This is a special case of the chi distribution with
and
and
This is also a special case of the folded normal with shape parameter
and
If
is (standard) normally distributed then,
is half-normal. The standard form is

![\[ M\left(t\right)=\sqrt{2\pi}e^{t^{2}/2}\Phi\left(t\right)\]](../../_images/math/e0599107c308d0dbe61c46668c8bb9e66494c4ed.png)

![\begin{eqnarray*} h\left[X\right] & = & \log\left(\sqrt{\frac{\pi e}{2}}\right)\\ & \approx & 0.72579135264472743239.\end{eqnarray*}](../../_images/math/c7df8dba39140a78f0b7fd73c24e267c2354aea2.png)
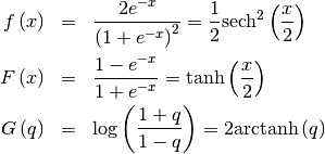
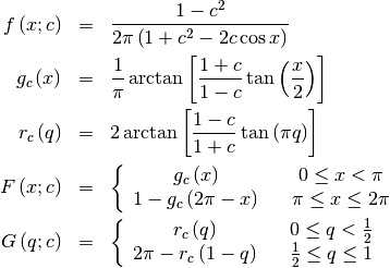
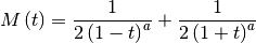
In the limit as
for the generalized half-logistic we have the half-logistic defined
over
Also, the distribution of
where
has logistic distribtution.

![\[ M\left(t\right)=1-t\psi_{0}\left(\frac{1}{2}-\frac{t}{2}\right)+t\psi_{0}\left(1-\frac{t}{2}\right)\]](../../_images/math/8e8d65d09692d0412d7f0c267512ff3d31fb68e1.png)
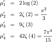
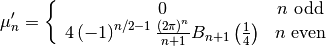
![\[ \mu_{n}^{\prime}=2\left(1-2^{1-n}\right)n!\zeta\left(n\right)\quad n\neq1\]](../../_images/math/a86b52c985386132cfbc7b4eea0adcdc24dba08c.png)

![\begin{eqnarray*} h\left[X\right] & = & 2-\log\left(2\right)\\ & \approx & 1.3068528194400546906.\end{eqnarray*}](../../_images/math/491229de309be1729a7209647a5017f9fe37d0da.png)
Related to the logistic distribution and used in lifetime analysis.
Standard form is (defined over all
)

![\[ M\left(t\right)=\sec\left(\frac{\pi}{2}t\right)\]](../../_images/math/d4aa3611f328fe01c93ca4e833114f19a9ab72f3.png)
![\begin{eqnarray*} \mu_{n}^{\prime} & = & \frac{1+\left(-1\right)^{n}}{2\pi2^{2n}}n!\left[\zeta\left(n+1,\frac{1}{4}\right)-\zeta\left(n+1,\frac{3}{4}\right)\right]\\ & = & \left\{ \begin{array}{cc} 0 & n\textrm{ odd}\\ C_{n/2}\frac{\pi^{n}}{2^{n}} & n\textrm{ even}\end{array}\right.\end{eqnarray*}](../../_images/math/fc112153541adf9d6cfb050e014d49aae45dbbbb.png)
where
is an integer given by
![\begin{eqnarray*} C_{m} & = & \frac{\left(2m\right)!\left[\zeta\left(2m+1,\frac{1}{4}\right)-\zeta\left(2m+1,\frac{3}{4}\right)\right]}{\pi^{2m+1}2^{2m}}\\ & = & 4\left(-1\right)^{m-1}\frac{16^{m}}{2m+1}B_{2m+1}\left(\frac{1}{4}\right)\end{eqnarray*}](../../_images/math/f1a8c23b0dca53c5a9697794d4bf6de9e1fa3454.png)
where
is the Bernoulli polynomial of order
evaluated at
Thus
![\[ \mu_{n}^{\prime}=\left\{ \begin{array}{cc} 0 & n\textrm{ odd}\\ 4\left(-1\right)^{n/2-1}\frac{\left(2\pi\right)^{n}}{n+1}B_{n+1}\left(\frac{1}{4}\right) & n\textrm{ even}\end{array}\right.\]](../../_images/math/6e97db438104f81781c6fca11624a784d2b11b62.png)

![\[ h\left[X\right]=\log\left(2\pi\right).\]](../../_images/math/f2c62e7bde6e1fd02f9e9d3da578e89e9773d3bb.png)
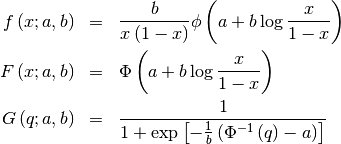
The standard form involves the shape parameter
(in most definitions,
is used). (In terms of the regress documentation
) and
and
is not a parameter in that distribution. A standard form is 


This is related to the canonical form or JKB “two-parameter “inverse Gaussian when written in it’s full form with scale parameter
and location parameter
by taking
and
then
is equal to
where
is the parameter used by JKB. We prefer this form because of it’s
consistent use of the scale parameter. Notice that in JKB the skew
and the kurtosis (
) are both functions only of
as shown here, while the variance and mean of the standard form here
are transformed appropriately.


The ML estimator of the location parameter is
![\[ \hat{L}=\textrm{median}\left(X_{i}\right)\]](../../_images/math/b90e01e6dee8e0847d44c92239359fc0a06ebe94.png)
where
is a sequence of
mutually independent Laplace RV’s and the median is some number
between the
and the
order statistic ( e.g. take the average of these two) when
is even. Also,
![\[ \hat{S}=\frac{1}{N}\sum_{j=1}^{N}\left|X_{j}-\hat{L}\right|.\]](../../_images/math/58c498b07df776ea9aa51cbdc98bc20b00ffe29a.png)
Replace
with
if it is known. If
is known then this estimator is distributed as
.
![\begin{eqnarray*} h\left[X\right] & = & \log\left(2e\right)\\ & \approx & 1.6931471805599453094.\end{eqnarray*}](../../_images/math/3b9054a673f5e40c30b2d7a517baab96a44a2235.png)
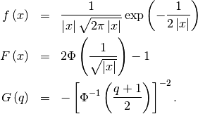
Special case of Lévy-stable distribution with
and
the support is
. In standard form
![\begin{eqnarray*} f\left(x\right) & = & \frac{1}{\left|x\right|\sqrt{2\pi\left|x\right|}}\exp\left(-\frac{1}{2\left|x\right|}\right)\\ F\left(x\right) & = & 2\Phi\left(\frac{1}{\sqrt{\left|x\right|}}\right)-1\\ G\left(q\right) & = & -\left[\Phi^{-1}\left(\frac{q+1}{2}\right)\right]^{-2}.\end{eqnarray*}](../../_images/math/b127493a251ea2ebf6c0b009f88bc57bfb1f08dd.png)
No moments.
A special case of Lévy-stable distributions with
and
. In standard form it is defined for
as
![\begin{eqnarray*} f\left(x\right) & = & \frac{1}{x\sqrt{2\pi x}}\exp\left(-\frac{1}{2x}\right)\\ F\left(x\right) & = & 2\left[1-\Phi\left(\frac{1}{\sqrt{x}}\right)\right]\\ G\left(q\right) & = & \left[\Phi^{-1}\left(1-\frac{q}{2}\right)\right]^{-2}.\end{eqnarray*}](../../_images/math/d9097f063e5a5fbd0b329c6dd2649e26a9c10c8a.png)
It has no finite moments.
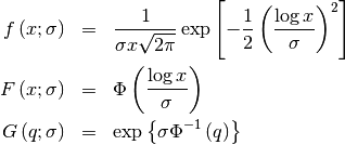
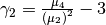
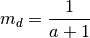
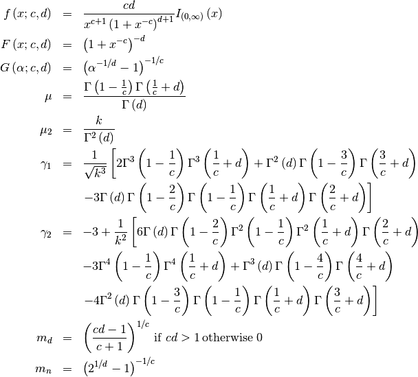
Has one shape parameter
>0. (Notice that the “Regress “
where
is the scale parameter and
is the mean of the underlying normal distribution). The standard form
is 
![\begin{eqnarray*} f\left(x;\sigma\right) & = & \frac{1}{\sigma x\sqrt{2\pi}}\exp\left[-\frac{1}{2}\left(\frac{\log x}{\sigma}\right)^{2}\right]\\ F\left(x;\sigma\right) & = & \Phi\left(\frac{\log x}{\sigma}\right)\\ G\left(q;\sigma\right) & = & \exp\left\{ \sigma\Phi^{-1}\left(q\right)\right\} \end{eqnarray*}](../../_images/math/5a600331b51896858c67071c356343c33a2ef4ab.png)
![\begin{eqnarray*} \mu & = & \exp\left(\sigma^{2}/2\right)\\ \mu_{2} & = & \exp\left(\sigma^{2}\right)\left[\exp\left(\sigma^{2}\right)-1\right]\\ \gamma_{1} & = & \sqrt{p-1}\left(2+p\right)\\ \gamma_{2} & = & p^{4}+2p^{3}+3p^{2}-6\quad\quad p=e^{\sigma^{2}}\end{eqnarray*}](../../_images/math/943a869c7cddfa0714d8f5647fc63a42b9bdabd6.png)
Notice that using JKB notation we have
and we have given the so-called antilognormal form of the
distribution. This is more consistent with the location, scale
parameter description of general probability distributions.
![\[ h\left[X\right]=\frac{1}{2}\left[1+\log\left(2\pi\right)+2\log\left(\sigma\right)\right].\]](../../_images/math/7d8ad43926b29a40871f6f0fd428f083ec47473a.png)
Also, note that if
is a log-normally distributed random-variable with
and
and shape parameter
Then,
is normally distributed with variance
and mean 
The distribution of
where
are independent standard normal variables and
are constants.
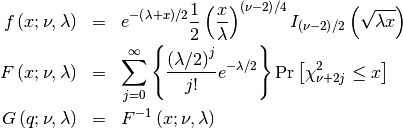
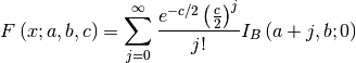
(In communications it is called the Marcum-Q function). Can be thought
of as a Generalized Rayleigh-Rice distribution. For 
![\begin{eqnarray*} f\left(x;\nu,\lambda\right) & = & e^{-\left(\lambda+x\right)/2}\frac{1}{2}\left(\frac{x}{\lambda}\right)^{\left(\nu-2\right)/4}I_{\left(\nu-2\right)/2}\left(\sqrt{\lambda x}\right)\\ F\left(x;\nu,\lambda\right) & = & \sum_{j=0}^{\infty}\left\{ \frac{\left(\lambda/2\right)^{j}}{j!}e^{-\lambda/2}\right\} \textrm{Pr}\left[\chi_{\nu+2j}^{2}\leq x\right]\\ G\left(q;\nu,\lambda\right) & = & F^{-1}\left(x;\nu,\lambda\right)\end{eqnarray*}](../../_images/math/0e5134d7ee37a25a67aa89c44dd52edfd4dd9d6b.png)

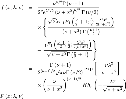
The distribution of the ratio
![\[ \frac{U+\lambda}{\chi_{\nu}/\sqrt{\nu}}\]](../../_images/math/212c72a27cbe49b1b96d178a009966a681df185a.png)
where
and
are independent and distributed as a standard normal and chi with
degrees of freedom. Note
and
.
![\begin{eqnarray*} f\left(x;\lambda,\nu\right) & = & \frac{\nu^{\nu/2}\Gamma\left(\nu+1\right)}{2^{\nu}e^{\lambda^{2}/2}\left(\nu+x^{2}\right)^{\nu/2}\Gamma\left(\nu/2\right)}\\ & & \times\left\{ \frac{\sqrt{2}\lambda x\,_{1}F_{1}\left(\frac{\nu}{2}+1;\frac{3}{2};\frac{\lambda^{2}x^{2}}{2\left(\nu+x^{2}\right)}\right)}{\left(\nu+x^{2}\right)\Gamma\left(\frac{\nu+1}{2}\right)}\right.\\ & & -\left.\frac{\,_{1}F_{1}\left(\frac{\nu+1}{2};\frac{1}{2};\frac{\lambda^{2}x^{2}}{2\left(\nu+x^{2}\right)}\right)}{\sqrt{\nu+x^{2}}\Gamma\left(\frac{\nu}{2}+1\right)}\right\} \\ & = & \frac{\Gamma\left(\nu+1\right)}{2^{\left(\nu-1\right)/2}\sqrt{\pi\nu}\Gamma\left(\nu/2\right)}\exp\left[-\frac{\nu\lambda^{2}}{\nu+x^{2}}\right]\\ & & \times\left(\frac{\nu}{\nu+x^{2}}\right)^{\left(\nu-1\right)/2}Hh_{\nu}\left(-\frac{\lambda x}{\sqrt{\nu+x^{2}}}\right)\\ F\left(x;\lambda,\nu\right) & =\end{eqnarray*}](../../_images/math/5b84101fdcf93f6ca9e97371dc44c76305cac979.png)
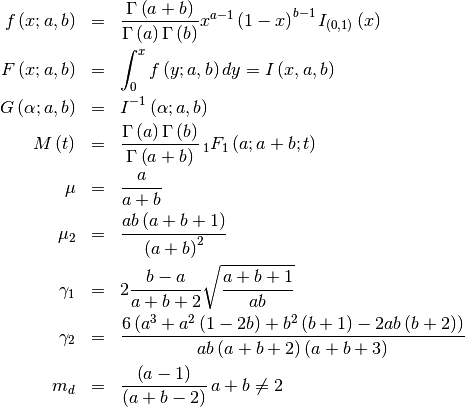
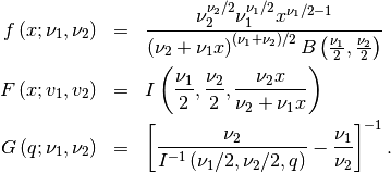
A generalized F distribution. Two shape parameters
and
, and
. The
in the DATAPLOT reference is a scale parameter.

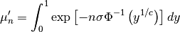
A generalization of the log-normal distribution
and
and 
![\begin{eqnarray*} f\left(x;\sigma,c\right) & = & \frac{c}{x\sigma}\phi\left(\frac{\log x}{\sigma}\right)\left(\Phi\left(-\frac{\log x}{\sigma}\right)\right)^{c-1}\\ F\left(x;\sigma,c\right) & = & 1-\left(\Phi\left(-\frac{\log x}{\sigma}\right)\right)^{c}\\ G\left(q;\sigma,c\right) & = & \exp\left[-\sigma\Phi^{-1}\left[\left(1-q\right)^{1/c}\right]\right]\end{eqnarray*}](../../_images/math/2c7a857eb26f937c3f07e0d16c5117b68375f504.png)
![\[ \mu_{n}^{\prime}=\int_{0}^{1}\exp\left[-n\sigma\Phi^{-1}\left(y^{1/c}\right)\right]dy\]](../../_images/math/d6ba38a199e92c0a17c2c0a8456951927748e32f.png)

This distribution reduces to the log-normal distribution when 
A generalization of the normal distribution,
for
![\begin{eqnarray*} f\left(x;c\right) & = & c\phi\left(x\right)\left(\Phi\left(-x\right)\right)^{c-1}\\ F\left(x;c\right) & = & 1-\left(\Phi\left(-x\right)\right)^{c}\\ G\left(q;c\right) & = & -\Phi^{-1}\left[\left(1-q\right)^{1/c}\right]\end{eqnarray*}](../../_images/math/7e841f3dc819b417c232414286bd788188b16075.png)
![\[ \mu_{n}^{\prime}=\left(-1\right)^{n}\int_{0}^{1}\left[\Phi^{-1}\left(y^{1/c}\right)\right]^{n}dy\]](../../_images/math/b4eba37843b755717e1a6c71d93f18df22b696a8.png)

For
this reduces to the normal distribution.
A general-purpose distribution with a variety of shapes controlled by
Range of standard distribution is ![x\in\left[-1,1\right]](../../_images/math/aac9c0ae9a862cfe45205524ee5ccc8000faa7ff.png)

![\[ \mu_{n}^{\prime}=\frac{\left(1+\left(-1\right)^{n}\right)}{2}B\left(\frac{n+1}{2},\frac{c}{2}\right)\]](../../_images/math/0bc6154258564e8eecc55a4c7d74e3f1a5473ef0.png)
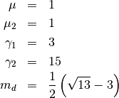
The R-distribution with parameter
is the distribution of the correlation coefficient of a random sample
of size
drawn from a bivariate normal distribution with
The mean of the standard distribution is always zero and as the sample
size grows, the distribution’s mass concentrates more closely about
this mean.
This is Chi distribution with
and
and
(no location parameter is generally used), the mode of the
distribution is 


![\[ h\left[X\right]=\frac{\gamma}{2}+\log\left(\frac{e}{\sqrt{2}}\right).\]](../../_images/math/728686d987c73cbb518cbf403a580a9358581ed4.png)
![\[ \mu_{n}^{\prime}=\sqrt{2^{n}}\Gamma\left(\frac{n}{2}+1\right)\]](../../_images/math/9f11b714c6b9392cdd5d0a9f553ec8ed1476caeb.png)
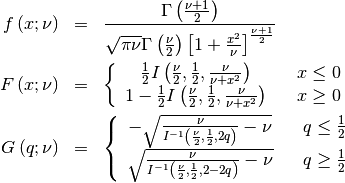
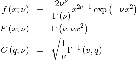
Shape parameter
is the incomplete beta integral and 
![\begin{eqnarray*} f\left(x;\nu\right) & = & \frac{\Gamma\left(\frac{\nu+1}{2}\right)}{\sqrt{\pi\nu}\Gamma\left(\frac{\nu}{2}\right)\left[1+\frac{x^{2}}{\nu}\right]^{\frac{\nu+1}{2}}}\\ F\left(x;\nu\right) & = & \left\{ \begin{array}{ccc} \frac{1}{2}I\left(\frac{\nu}{2},\frac{1}{2},\frac{\nu}{\nu+x^{2}}\right) & & x\leq0\\ 1-\frac{1}{2}I\left(\frac{\nu}{2},\frac{1}{2},\frac{\nu}{\nu+x^{2}}\right) & & x\geq0\end{array}\right.\\ G\left(q;\nu\right) & = & \left\{ \begin{array}{ccc} -\sqrt{\frac{\nu}{I^{-1}\left(\frac{\nu}{2},\frac{1}{2},2q\right)}-\nu} & & q\leq\frac{1}{2}\\ \sqrt{\frac{\nu}{I^{-1}\left(\frac{\nu}{2},\frac{1}{2},2-2q\right)}-\nu} & & q\geq\frac{1}{2}\end{array}\right.\end{eqnarray*}](../../_images/math/5cb4f75fdfa84acbc3ffb77c121ffd718f0a94bf.png)

As
this distribution approaches the standard normal distribution.
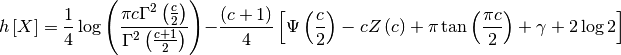
![\[ h\left[X\right]=\frac{1}{4}\log\left(\frac{\pi c\Gamma^{2}\left(\frac{c}{2}\right)}{\Gamma^{2}\left(\frac{c+1}{2}\right)}\right)-\frac{\left(c+1\right)}{4}\left[\Psi\left(\frac{c}{2}\right)-cZ\left(c\right)+\pi\tan\left(\frac{\pi c}{2}\right)+\gamma+2\log2\right]\]](../../_images/math/dc9b5dc580f79b2d0b7ed955fe4deb7f174771f1.png)
where
![\[ Z\left(c\right)=\,_{3}F_{2}\left(1,1,1+\frac{c}{2};\frac{3}{2},2;1\right)=\sum_{k=0}^{\infty}\frac{k!}{k+1}\frac{\Gamma\left(\frac{c}{2}+1+k\right)}{\Gamma\left(\frac{c}{2}+1\right)}\frac{\Gamma\left(\frac{3}{2}\right)}{\Gamma\left(\frac{3}{2}+k\right)}\]](../../_images/math/96ab192f32489a0086cae337b79fe40aea4af3af.png)
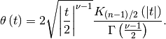
The student Z distriubtion is defined over all space with one shape
parameter 

Interesting moments are

The moment generating function is
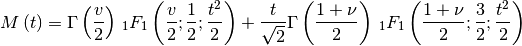
![\[ \theta\left(t\right)=2\sqrt{\left|\frac{t}{2}\right|^{\nu-1}}\frac{K_{\left(n-1\right)/2}\left(\left|t\right|\right)}{\Gamma\left(\frac{\nu-1}{2}\right)}.\]](../../_images/math/b7c629e217dc8960a7179977e1b9e6062a525742.png)
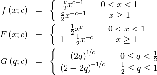
One shape parameter
giving the distance to the peak as a percentage of the total extent of
the non-zero portion. The location parameter is the start of the non-
zero portion, and the scale-parameter is the width of the non-zero
portion. In standard form we have ![x\in\left[0,1\right].](../../_images/math/5f91dd2cc45a717059f916dd5857a1679738460b.png)



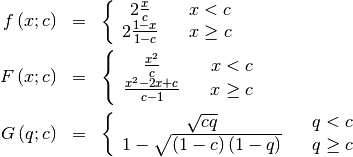
This is an exponential distribution defined only over a certain region
. In standard form this is

![\[ \mu_{n}^{\prime}=\Gamma\left(1+n\right)-\Gamma\left(1+n,B\right)\]](../../_images/math/6cf659869182e398d75eec895958a5309ae24d3b.png)
![\[ h\left[X\right]=\log\left(e^{B}-1\right)+\frac{1+e^{B}\left(B-1\right)}{1-e^{B}}.\]](../../_images/math/b263cb31fff58ff3987f5e8434c29ccb641faad6.png)
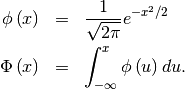
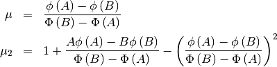
A normal distribution restricted to lie within a certain range given
by two parameters
and
. Notice that this
and
correspond to the bounds on
in standard form. For
we get
![\begin{eqnarray*} f\left(x;A,B\right) & = & \frac{\phi\left(x\right)}{\Phi\left(B\right)-\Phi\left(A\right)}\\ F\left(x;A,B\right) & = & \frac{\Phi\left(x\right)-\Phi\left(A\right)}{\Phi\left(B\right)-\Phi\left(A\right)}\\ G\left(q;A,B\right) & = & \Phi^{-1}\left[q\Phi\left(B\right)+\Phi\left(A\right)\left(1-q\right)\right]\end{eqnarray*}](../../_images/math/aae3641756dcc925f89ddbb5c2d1a6c20fab5830.png)
where


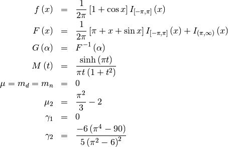
Defined for
with shape parameter
. Note, the PDF and CDF functions are periodic and are always defined
over
regardless of the location parameter. Thus, if an input beyond this
range is given, it is converted to the equivalent angle in this range.
For values of
the PDF and CDF formulas below are used. Otherwise, a normal
approximation with variance
is used.


This can be used for defining circular variance.