When SciPy is built using the optimized ATLAS LAPACK and BLAS libraries, it has very fast linear algebra capabilities. If you dig deep enough, all of the raw lapack and blas libraries are available for your use for even more speed. In this section, some easier-to-use interfaces to these routines are described.
All of these linear algebra routines expect an object that can be converted into a 2-dimensional array. The output of these routines is also a two-dimensional array. There is a matrix class defined in Numpy, which you can initialize with an appropriate Numpy array in order to get objects for which multiplication is matrix-multiplication instead of the default, element-by-element multiplication.
The matrix class is initialized with the SciPy command mat which is just convenient short-hand for matrix. If you are going to be doing a lot of matrix-math, it is convenient to convert arrays into matrices using this command. One advantage of using the mat command is that you can enter two-dimensional matrices using MATLAB-like syntax with commas or spaces separating columns and semicolons separting rows as long as the matrix is placed in a string passed to mat .
The inverse of a matrix
is the matrix
such that
where
is the identity matrix consisting of ones down the
main diagonal. Usually
is denoted
. In SciPy, the matrix inverse of
the Numpy array, A, is obtained using linalg.inv (A) , or
using A.I if A is a Matrix. For example, let
![\[ \mathbf{A=}\left[\begin{array}{ccc} 1 & 3 & 5\\ 2 & 5 & 1\\ 2 & 3 & 8\end{array}\right]\]](../_images/math/f15da1511a57d79b59b079b3b1bd20a88c00cbeb.png)
then
![\[ \mathbf{A^{-1}=\frac{1}{25}\left[\begin{array}{ccc} -37 & 9 & 22\\ 14 & 2 & -9\\ 4 & -3 & 1\end{array}\right]=\left[\begin{array}{ccc} -1.48 & 0.36 & 0.88\\ 0.56 & 0.08 & -0.36\\ 0.16 & -0.12 & 0.04\end{array}\right].}\]](../_images/math/6448dc8dd04285fd3eac2290ee7a0d0d5776b5d9.png)
The following example demonstrates this computation in SciPy
>>> A = mat('[1 3 5; 2 5 1; 2 3 8]')
>>> A
matrix([[1, 3, 5],
[2, 5, 1],
[2, 3, 8]])
>>> A.I
matrix([[-1.48, 0.36, 0.88],
[ 0.56, 0.08, -0.36],
[ 0.16, -0.12, 0.04]])
>>> from scipy import linalg
>>> linalg.inv(A)
array([[-1.48, 0.36, 0.88],
[ 0.56, 0.08, -0.36],
[ 0.16, -0.12, 0.04]])
Solving linear systems of equations is straightforward using the scipy command linalg.solve. This command expects an input matrix and a right-hand-side vector. The solution vector is then computed. An option for entering a symmetrix matrix is offered which can speed up the processing when applicable. As an example, suppose it is desired to solve the following simultaneous equations:

We could find the solution vector using a matrix inverse:
![\[ \left[\begin{array}{c} x\\ y\\ z\end{array}\right]=\left[\begin{array}{ccc} 1 & 3 & 5\\ 2 & 5 & 1\\ 2 & 3 & 8\end{array}\right]^{-1}\left[\begin{array}{c} 10\\ 8\\ 3\end{array}\right]=\frac{1}{25}\left[\begin{array}{c} -232\\ 129\\ 19\end{array}\right]=\left[\begin{array}{c} -9.28\\ 5.16\\ 0.76\end{array}\right].\]](../_images/math/10eff05280e41f23e86fae08e79ab0f35ef8e82e.png)
However, it is better to use the linalg.solve command which can be faster and more numerically stable. In this case it however gives the same answer as shown in the following example:
>>> A = mat('[1 3 5; 2 5 1; 2 3 8]')
>>> b = mat('[10;8;3]')
>>> A.I*b
matrix([[-9.28],
[ 5.16],
[ 0.76]])
>>> linalg.solve(A,b)
array([[-9.28],
[ 5.16],
[ 0.76]])
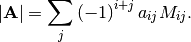
The determinant of a square matrix
is often denoted
and is a quantity often used in linear
algebra. Suppose
are the elements of the matrix
and let
be the determinant of the matrix left by removing the
row and
column from
. Then for any row 
![\[ \left|\mathbf{A}\right|=\sum_{j}\left(-1\right)^{i+j}a_{ij}M_{ij}.\]](../_images/math/755bef529c1f89f0d1a25bad420ed878c30d985a.png)
This is a recursive way to define the determinant where the base case
is defined by accepting that the determinant of a
matrix is the only matrix element. In SciPy the determinant can be
calculated with linalg.det . For example, the determinant of
![\[ \mathbf{A=}\left[\begin{array}{ccc} 1 & 3 & 5\\ 2 & 5 & 1\\ 2 & 3 & 8\end{array}\right]\]](../_images/math/f15da1511a57d79b59b079b3b1bd20a88c00cbeb.png)
is

In SciPy this is computed as shown in this example:
>>> A = mat('[1 3 5; 2 5 1; 2 3 8]')
>>> linalg.det(A)
-25.000000000000004
Matrix and vector norms can also be computed with SciPy. A wide range of norm definitions are available using different parameters to the order argument of linalg.norm . This function takes a rank-1 (vectors) or a rank-2 (matrices) array and an optional order argument (default is 2). Based on these inputs a vector or matrix norm of the requested order is computed.
For vector x , the order parameter can be any real number including inf or -inf. The computed norm is
![\[ \left\Vert \mathbf{x}\right\Vert =\left\{ \begin{array}{cc} \max\left|x_{i}\right| & \textrm{ord}=\textrm{inf}\\ \min\left|x_{i}\right| & \textrm{ord}=-\textrm{inf}\\ \left(\sum_{i}\left|x_{i}\right|^{\textrm{ord}}\right)^{1/\textrm{ord}} & \left|\textrm{ord}\right|<\infty.\end{array}\right.\]](../_images/math/40ce959838b62e756d60da7048ce7b030a6c542b.png)
For matrix
the only valid values for norm are
inf, and ‘fro’ (or ‘f’) Thus,
![\[ \left\Vert \mathbf{A}\right\Vert =\left\{ \begin{array}{cc} \max_{i}\sum_{j}\left|a_{ij}\right| & \textrm{ord}=\textrm{inf}\\ \min_{i}\sum_{j}\left|a_{ij}\right| & \textrm{ord}=-\textrm{inf}\\ \max_{j}\sum_{i}\left|a_{ij}\right| & \textrm{ord}=1\\ \min_{j}\sum_{i}\left|a_{ij}\right| & \textrm{ord}=-1\\ \max\sigma_{i} & \textrm{ord}=2\\ \min\sigma_{i} & \textrm{ord}=-2\\ \sqrt{\textrm{trace}\left(\mathbf{A}^{H}\mathbf{A}\right)} & \textrm{ord}=\textrm{'fro'}\end{array}\right.\]](../_images/math/554dc8584731014e0bec0140b3fc7b75c00cde7d.png)
where
are the singular values of
.
Linear least-squares problems occur in many branches of applied
mathematics. In this problem a set of linear scaling coefficients is
sought that allow a model to fit data. In particular it is assumed
that data
is related to data
through a set of coefficients
and model functions
via the model
![\[ y_{i}=\sum_{j}c_{j}f_{j}\left(\mathbf{x}_{i}\right)+\epsilon_{i}\]](../_images/math/824f8f0c8822fb56f2ebf3820efa3027764c70c3.png)
where
represents uncertainty in the data. The
strategy of least squares is to pick the coefficients
to
minimize
![\[ J\left(\mathbf{c}\right)=\sum_{i}\left|y_{i}-\sum_{j}c_{j}f_{j}\left(x_{i}\right)\right|^{2}.\]](../_images/math/bba7bf382c1b39fb8f7a660d4adc97990b4c83bc.png)
Theoretically, a global minimum will occur when
![\[ \frac{\partial J}{\partial c_{n}^{*}}=0=\sum_{i}\left(y_{i}-\sum_{j}c_{j}f_{j}\left(x_{i}\right)\right)\left(-f_{n}^{*}\left(x_{i}\right)\right)\]](../_images/math/d5e780ba1a0b43644c120d7cdfedf0cd81752b6e.png)
or

where
![\[ \left\{ \mathbf{A}\right\} _{ij}=f_{j}\left(x_{i}\right).\]](../_images/math/f02400ee00eacc33a25c6f7006209fdfef72102b.png)
When
is invertible, then
![\[ \mathbf{c}=\left(\mathbf{A}^{H}\mathbf{A}\right)^{-1}\mathbf{A}^{H}\mathbf{y}=\mathbf{A}^{\dagger}\mathbf{y}\]](../_images/math/6dc8365db33468ac649416f9b1ee52fb4d3581fa.png)
where
is called the pseudo-inverse of
Notice that using this definition of
the model can be written
![\[ \mathbf{y}=\mathbf{Ac}+\boldsymbol{\epsilon}.\]](../_images/math/478f15b1c4b3b59f1a1c04a319df7e48d89575dc.png)
The command linalg.lstsq will solve the linear least squares
problem for
given
and
. In addition linalg.pinv or
linalg.pinv2 (uses a different method based on singular value
decomposition) will find
given

The following example and figure demonstrate the use of linalg.lstsq and linalg.pinv for solving a data-fitting problem. The data shown below were generated using the model:
![\[ y_{i}=c_{1}e^{-x_{i}}+c_{2}x_{i}\]](../_images/math/24ee8d9cd2b039c4556918015d1917b34aa09850.png)
where
for
,
,
and
Noise is added to
and the
coefficients
and
are estimated using
linear least squares.
>>> from numpy import *
>>> from scipy import linalg
>>> import matplotlib.pyplot as plt
>>> c1,c2= 5.0,2.0
>>> i = r_[1:11]
>>> xi = 0.1*i
>>> yi = c1*exp(-xi)+c2*xi
>>> zi = yi + 0.05*max(yi)*random.randn(len(yi))
>>> A = c_[exp(-xi)[:,newaxis],xi[:,newaxis]]
>>> c,resid,rank,sigma = linalg.lstsq(A,zi)
>>> xi2 = r_[0.1:1.0:100j]
>>> yi2 = c[0]*exp(-xi2) + c[1]*xi2
>>> plt.plot(xi,zi,'x',xi2,yi2)
>>> plt.axis([0,1.1,3.0,5.5])
>>> plt.xlabel('$x_i$')
>>> plt.title('Data fitting with linalg.lstsq')
>>> plt.show()
The generalized inverse is calculated using the command
linalg.pinv or linalg.pinv2. These two commands differ
in how they compute the generalized inverse. The first uses the
linalg.lstsq algorithm while the second uses singular value
decomposition. Let
be an
matrix,
then if
the generalized inverse is
![\[ \mathbf{A}^{\dagger}=\left(\mathbf{A}^{H}\mathbf{A}\right)^{-1}\mathbf{A}^{H}\]](../_images/math/a437038b602ab343b912b2fc73927ca2fc9627f7.png)
while if
matrix the generalized inverse is
![\[ \mathbf{A}^{\#}=\mathbf{A}^{H}\left(\mathbf{A}\mathbf{A}^{H}\right)^{-1}.\]](../_images/math/f74570d1ea02bded571be7269361aa6de5d7ebad.png)
In both cases for
, then
![\[ \mathbf{A}^{\dagger}=\mathbf{A}^{\#}=\mathbf{A}^{-1}\]](../_images/math/a7ccfa366bb288ff51298fd823f6c9bf7e60825b.png)
as long as
is invertible.
In many applications it is useful to decompose a matrix using other representations. There are several decompositions supported by SciPy.
The eigenvalue-eigenvector problem is one of the most commonly
employed linear algebra operations. In one popular form, the
eigenvalue-eigenvector problem is to find for some square matrix
scalars
and corresponding vectors
such that
![\[ \mathbf{Av}=\lambda\mathbf{v}.\]](../_images/math/1d8e08b5e0feee938bb177c3f90800f6e2f4a7d4.png)
For an
matrix, there are
(not necessarily
distinct) eigenvalues — roots of the (characteristic) polynomial
![\[ \left|\mathbf{A}-\lambda\mathbf{I}\right|=0.\]](../_images/math/b2662cca5feccf9301f713f3e7c79a985b641cba.png)
The eigenvectors,
, are also sometimes called right
eigenvectors to distinguish them from another set of left eigenvectors
that satisfy
![\[ \mathbf{v}_{L}^{H}\mathbf{A}=\lambda\mathbf{v}_{L}^{H}\]](../_images/math/af5d720a35d3b6a2c1ded629d90239b1e25eb9eb.png)
or
![\[ \mathbf{A}^{H}\mathbf{v}_{L}=\lambda^{*}\mathbf{v}_{L}.\]](../_images/math/8774c026418e4bcc15c0fd54ffc01a6303fb3de7.png)
With it’s default optional arguments, the command linalg.eig
returns
and
However, it can also
return
and just
by itself (
linalg.eigvals returns just
as well).
In addtion, linalg.eig can also solve the more general eigenvalue problem

for square matrices
and
The
standard eigenvalue problem is an example of the general eigenvalue
problem for
When a generalized
eigenvalue problem can be solved, then it provides a decomposition of
as
![\[ \mathbf{A}=\mathbf{BV}\boldsymbol{\Lambda}\mathbf{V}^{-1}\]](../_images/math/87276d434b87f1d7912ebdd7c3fc7eafacad3ab6.png)
where
is the collection of eigenvectors into
columns and
is a diagonal matrix of
eigenvalues.
By definition, eigenvectors are only defined up to a constant scale
factor. In SciPy, the scaling factor for the eigenvectors is chosen so
that 
As an example, consider finding the eigenvalues and eigenvectors of the matrix
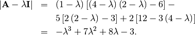
![\[ \mathbf{A}=\left[\begin{array}{ccc} 1 & 5 & 2\\ 2 & 4 & 1\\ 3 & 6 & 2\end{array}\right].\]](../_images/math/58c752af8057ccb75f3eb73fcf74e012cb8fbbe9.png)
The characteristic polynomial is
![\begin{eqnarray*} \left|\mathbf{A}-\lambda\mathbf{I}\right| & = & \left(1-\lambda\right)\left[\left(4-\lambda\right)\left(2-\lambda\right)-6\right]-\\ & & 5\left[2\left(2-\lambda\right)-3\right]+2\left[12-3\left(4-\lambda\right)\right]\\ & = & -\lambda^{3}+7\lambda^{2}+8\lambda-3.\end{eqnarray*}](../_images/math/67dfe1c28738109b8806fb5d40834ea83eba5352.png)
The roots of this polynomial are the eigenvalues of
:

The eigenvectors corresponding to each eigenvalue can be found using the original equation. The eigenvectors associated with these eigenvalues can then be found.
>>> from scipy import linalg
>>> A = mat('[1 5 2; 2 4 1; 3 6 2]')
>>> la,v = linalg.eig(A)
>>> l1,l2,l3 = la
>>> print l1, l2, l3
(7.95791620491+0j) (-1.25766470568+0j) (0.299748500767+0j)
>>> print v[:,0]
[-0.5297175 -0.44941741 -0.71932146]
>>> print v[:,1]
[-0.90730751 0.28662547 0.30763439]
>>> print v[:,2]
[ 0.28380519 -0.39012063 0.87593408]
>>> print sum(abs(v**2),axis=0)
[ 1. 1. 1.]
>>> v1 = mat(v[:,0]).T
>>> print max(ravel(abs(A*v1-l1*v1)))
8.881784197e-16
Singular Value Decompostion (SVD) can be thought of as an extension of
the eigenvalue problem to matrices that are not square. Let
be an
matrix with
and
arbitrary. The matrices
and
are square hermitian matrices [1] of
size
and
respectively. It is known
that the eigenvalues of square hermitian matrices are real and
non-negative. In addtion, there are at most
identical non-zero eigenvalues of
and
Define these positive eigenvalues as
The
square-root of these are called singular values of
The eigenvectors of
are collected by
columns into an
unitary [2] matrix
while the eigenvectors of
are collected by columns in the
unitary matrix
, the singular values are collected
in an
zero matrix
with main diagonal entries set to
the singular values. Then
![\[ \mathbf{A=U}\boldsymbol{\Sigma}\mathbf{V}^{H}\]](../_images/math/982143dc39add5009746663baf582d6dc728eafa.png)
is the singular-value decomposition of
Every
matrix has a singular value decomposition. Sometimes, the singular
values are called the spectrum of
The command
linalg.svd will return
,
, and
as an array of the
singular values. To obtain the matrix
use
linalg.diagsvd. The following example illustrates the use of
linalg.svd .
>>> A = mat('[1 3 2; 1 2 3]')
>>> M,N = A.shape
>>> U,s,Vh = linalg.svd(A)
>>> Sig = mat(linalg.diagsvd(s,M,N))
>>> U, Vh = mat(U), mat(Vh)
>>> print U
[[-0.70710678 -0.70710678]
[-0.70710678 0.70710678]]
>>> print Sig
[[ 5.19615242 0. 0. ]
[ 0. 1. 0. ]]
>>> print Vh
[[ -2.72165527e-01 -6.80413817e-01 -6.80413817e-01]
[ -6.18652536e-16 -7.07106781e-01 7.07106781e-01]
[ -9.62250449e-01 1.92450090e-01 1.92450090e-01]]
>>> print A
[[1 3 2]
[1 2 3]]
>>> print U*Sig*Vh
[[ 1. 3. 2.]
[ 1. 2. 3.]]
| [1] | A hermitian matrix satisfies ![]() |
| [2] | A unitary matrix satisfies so that ![]() |
The LU decompostion finds a representation for the
matrix
as
![\[ \mathbf{A}=\mathbf{PLU}\]](../_images/math/6418ca9f0987baa21818b0df8685344a761b56b1.png)
where
is an
permutation matrix (a
permutation of the rows of the identity matrix),
is
in
lower triangular or trapezoidal matrix (
) with unit-diagonal, and
is an upper triangular or trapezoidal matrix. The
SciPy command for this decomposition is linalg.lu .
Such a decomposition is often useful for solving many simultaneous equations where the left-hand-side does not change but the right hand side does. For example, suppose we are going to solve
![\[ \mathbf{A}\mathbf{x}_{i}=\mathbf{b}_{i}\]](../_images/math/b78d42ead48f836bd05e94dc414deb7186182dfb.png)
for many different
. The LU decomposition allows this to be written as
![\[ \mathbf{PLUx}_{i}=\mathbf{b}_{i}.\]](../_images/math/19939ea9f3ce9b41602abdd5c749a5aaaacf6905.png)
Because
is lower-triangular, the equation can be
solved for
and finally
very rapidly using forward- and
back-substitution. An initial time spent factoring
allows for very rapid solution of similar systems of equations in the
future. If the intent for performing LU decomposition is for solving
linear systems then the command linalg.lu_factor should be used
followed by repeated applications of the command
linalg.lu_solve to solve the system for each new
right-hand-side.
Cholesky decomposition is a special case of LU decomposition
applicable to Hermitian positive definite matrices. When
and
for all
,
then decompositions of
can be found so that

where
is lower-triangular and
is
upper triangular. Notice that
The
command linagl.cholesky computes the cholesky
factorization. For using cholesky factorization to solve systems of
equations there are also linalg.cho_factor and
linalg.cho_solve routines that work similarly to their LU
decomposition counterparts.
The QR decomposition (sometimes called a polar decomposition) works
for any
array and finds an
unitary
matrix
and an
upper-trapezoidal
matrix
such that
![\[ \mathbf{A=QR}.\]](../_images/math/0110430c3f72562038677ae460f41df5b6edd41f.png)
Notice that if the SVD of
is known then the QR decomposition can be found
![\[ \mathbf{A}=\mathbf{U}\boldsymbol{\Sigma}\mathbf{V}^{H}=\mathbf{QR}\]](../_images/math/a0e7336badff32ddb382f78f36a93bbae63e3784.png)
implies that
and
Note, however,
that in SciPy independent algorithms are used to find QR and SVD
decompositions. The command for QR decomposition is linalg.qr .
For a square
matrix,
, the Schur
decomposition finds (not-necessarily unique) matrices
and
such that
![\[ \mathbf{A}=\mathbf{ZT}\mathbf{Z}^{H}\]](../_images/math/63a0676ccac3bd1598fb204e8b85d91d6bc55e50.png)
where
is a unitary matrix and
is
either upper-triangular or quasi-upper triangular depending on whether
or not a real schur form or complex schur form is requested. For a
real schur form both
and
are
real-valued when
is real-valued. When
is a real-valued matrix the real schur form is only
quasi-upper triangular because
blocks extrude from
the main diagonal corresponding to any complex- valued
eigenvalues. The command linalg.schur finds the Schur
decomposition while the command linalg.rsf2csf converts
and
from a real Schur form to a
complex Schur form. The Schur form is especially useful in calculating
functions of matrices.
The following example illustrates the schur decomposition:
>>> from scipy import linalg
>>> A = mat('[1 3 2; 1 4 5; 2 3 6]')
>>> T,Z = linalg.schur(A)
>>> T1,Z1 = linalg.schur(A,'complex')
>>> T2,Z2 = linalg.rsf2csf(T,Z)
>>> print T
[[ 9.90012467 1.78947961 -0.65498528]
[ 0. 0.54993766 -1.57754789]
[ 0. 0.51260928 0.54993766]]
>>> print T2
[[ 9.90012467 +0.00000000e+00j -0.32436598 +1.55463542e+00j
-0.88619748 +5.69027615e-01j]
[ 0.00000000 +0.00000000e+00j 0.54993766 +8.99258408e-01j
1.06493862 +1.37016050e-17j]
[ 0.00000000 +0.00000000e+00j 0.00000000 +0.00000000e+00j
0.54993766 -8.99258408e-01j]]
>>> print abs(T1-T2) # different
[[ 1.24357637e-14 2.09205364e+00 6.56028192e-01]
[ 0.00000000e+00 4.00296604e-16 1.83223097e+00]
[ 0.00000000e+00 0.00000000e+00 4.57756680e-16]]
>>> print abs(Z1-Z2) # different
[[ 0.06833781 1.10591375 0.23662249]
[ 0.11857169 0.5585604 0.29617525]
[ 0.12624999 0.75656818 0.22975038]]
>>> T,Z,T1,Z1,T2,Z2 = map(mat,(T,Z,T1,Z1,T2,Z2))
>>> print abs(A-Z*T*Z.H) # same
[[ 1.11022302e-16 4.44089210e-16 4.44089210e-16]
[ 4.44089210e-16 1.33226763e-15 8.88178420e-16]
[ 8.88178420e-16 4.44089210e-16 2.66453526e-15]]
>>> print abs(A-Z1*T1*Z1.H) # same
[[ 1.00043248e-15 2.22301403e-15 5.55749485e-15]
[ 2.88899660e-15 8.44927041e-15 9.77322008e-15]
[ 3.11291538e-15 1.15463228e-14 1.15464861e-14]]
>>> print abs(A-Z2*T2*Z2.H) # same
[[ 3.34058710e-16 8.88611201e-16 4.18773089e-18]
[ 1.48694940e-16 8.95109973e-16 8.92966151e-16]
[ 1.33228956e-15 1.33582317e-15 3.55373104e-15]]
Consider the function
with Taylor series expansion
![\[ f\left(x\right)=\sum_{k=0}^{\infty}\frac{f^{\left(k\right)}\left(0\right)}{k!}x^{k}.\]](../_images/math/adf875f7968f2eacd843a6781a311c30a294d242.png)
A matrix function can be defined using this Taylor series for the
square matrix
as
![\[ f\left(\mathbf{A}\right)=\sum_{k=0}^{\infty}\frac{f^{\left(k\right)}\left(0\right)}{k!}\mathbf{A}^{k}.\]](../_images/math/3bb288756a77e30defb3856c78f3f3275944b69d.png)
While, this serves as a useful representation of a matrix function, it is rarely the best way to calculate a matrix function.
The matrix exponential is one of the more common matrix functions. It can be defined for square matrices as
![\[ e^{\mathbf{A}}=\sum_{k=0}^{\infty}\frac{1}{k!}\mathbf{A}^{k}.\]](../_images/math/b90c25a79b0bf9a43a7bb678f6285cdf34c63d0f.png)
The command linalg.expm3 uses this Taylor series definition to compute the matrix exponential. Due to poor convergence properties it is not often used.
Another method to compute the matrix exponential is to find an
eigenvalue decomposition of
:
![\[ \mathbf{A}=\mathbf{V}\boldsymbol{\Lambda}\mathbf{V}^{-1}\]](../_images/math/7df93fd626a347846d758355a0a222db1375ee2f.png)
and note that
![\[ e^{\mathbf{A}}=\mathbf{V}e^{\boldsymbol{\Lambda}}\mathbf{V}^{-1}\]](../_images/math/913ee63a8b6d027192a8e0eda61fe6a9cb57c67e.png)
where the matrix exponential of the diagonal matrix
is just the exponential of its elements. This method is implemented in linalg.expm2 .
The preferred method for implementing the matrix exponential is to use
scaling and a Padé approximation for
. This algorithm is
implemented as linalg.expm .
The inverse of the matrix exponential is the matrix logarithm defined as the inverse of the matrix exponential.
![\[ \mathbf{A}\equiv\exp\left(\log\left(\mathbf{A}\right)\right).\]](../_images/math/32d11c8dcf8b96fa4f2466a53892f850bc713b15.png)
The matrix logarithm can be obtained with linalg.logm .
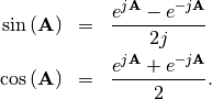
The trigonometric functions
,
, and
are implemented for matrices in linalg.sinm,
linalg.cosm, and linalg.tanm respectively. The matrix
sin and cosine can be defined using Euler’s identity as

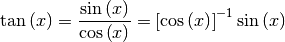
The tangent is
![\[ \tan\left(x\right)=\frac{\sin\left(x\right)}{\cos\left(x\right)}=\left[\cos\left(x\right)\right]^{-1}\sin\left(x\right)\]](../_images/math/430f207b46e2788e19b9cf23f857ab4ac492fe03.png)
and so the matrix tangent is defined as
![\[ \left[\cos\left(\mathbf{A}\right)\right]^{-1}\sin\left(\mathbf{A}\right).\]](../_images/math/3685ed6e1ac7e3a98ea0076b48815f39923f0fe8.png)
The hyperbolic trigonemetric functions
,
,
and
can also be defined for matrices using the familiar
definitions:
![\begin{eqnarray*} \sinh\left(\mathbf{A}\right) & = & \frac{e^{\mathbf{A}}-e^{-\mathbf{A}}}{2}\\ \cosh\left(\mathbf{A}\right) & = & \frac{e^{\mathbf{A}}+e^{-\mathbf{A}}}{2}\\ \tanh\left(\mathbf{A}\right) & = & \left[\cosh\left(\mathbf{A}\right)\right]^{-1}\sinh\left(\mathbf{A}\right).\end{eqnarray*}](../_images/math/9b414596e47b8daf591e465f76a8bca9bfc3ec26.png)
These matrix functions can be found using linalg.sinhm, linalg.coshm , and linalg.tanhm.
Finally, any arbitrary function that takes one complex number and returns a complex number can be called as a matrix function using the command linalg.funm. This command takes the matrix and an arbitrary Python function. It then implements an algorithm from Golub and Van Loan’s book “Matrix Computations “to compute function applied to the matrix using a Schur decomposition. Note that the function needs to accept complex numbers as input in order to work with this algorithm. For example the following code computes the zeroth-order Bessel function applied to a matrix.
>>> from scipy import special, random, linalg
>>> A = random.rand(3,3)
>>> B = linalg.funm(A,lambda x: special.jv(0,x))
>>> print A
[[ 0.72578091 0.34105276 0.79570345]
[ 0.65767207 0.73855618 0.541453 ]
[ 0.78397086 0.68043507 0.4837898 ]]
>>> print B
[[ 0.72599893 -0.20545711 -0.22721101]
[-0.27426769 0.77255139 -0.23422637]
[-0.27612103 -0.21754832 0.7556849 ]]
>>> print linalg.eigvals(A)
[ 1.91262611+0.j 0.21846476+0.j -0.18296399+0.j]
>>> print special.jv(0, linalg.eigvals(A))
[ 0.27448286+0.j 0.98810383+0.j 0.99164854+0.j]
>>> print linalg.eigvals(B)
[ 0.27448286+0.j 0.98810383+0.j 0.99164854+0.j]
Note how, by virtue of how matrix analytic functions are defined, the Bessel function has acted on the matrix eigenvalues.
SciPy and NumPy provide several functions for creating special matrices that are frequently used in engineering and science.
| Type | Function | Description |
|---|---|---|
| block diagonal | scipy.linalg.block_diag | Create a block diagonal matrix from the provided arrays. |
| circulant | scipy.linalg.circulant | Construct a circulant matrix. |
| companion | scipy.linalg.companion | Create a companion matrix. |
| Hadamard | scipy.linalg.hadamard | Construct a Hadamard matrix. |
| Hankel | scipy.linalg.hankel | Construct a Hankel matrix. |
| Hilbert | scipy.linalg.hilbert | Construct a Hilbert matrix. |
| Inverse Hilbert | scipy.linalg.invhilbert | Construct the inverse of a Hilbert matrix. |
| Leslie | scipy.linalg.leslie | Create a Leslie matrix. |
| Pascal | scipy.linalg.pascal | Create a Pascal matrix. |
| Toeplitz | scipy.linalg.toeplitz | Construct a Toeplitz matrix. |
| Van der Monde | numpy.vander | Generate a Van der Monde matrix. |
For examples of the use of these functions, see their respective docstrings.