Draw samples from a Standard Gamma distribution.
Samples are drawn from a Gamma distribution with specified parameters, shape (sometimes designated “k”) and scale=1.
| Parameters : | shape : float
size : int or tuple of ints
|
|---|---|
| Returns : | samples : ndarray or scalar
|
See also
Notes
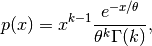
The probability density for the Gamma distribution is

where
is the shape and
the scale,
and
is the Gamma function.
The Gamma distribution is often used to model the times to failure of electronic components, and arises naturally in processes for which the waiting times between Poisson distributed events are relevant.
References
| [R171] | Weisstein, Eric W. “Gamma Distribution.” From MathWorld–A Wolfram Web Resource. http://mathworld.wolfram.com/GammaDistribution.html |
| [R172] | Wikipedia, “Gamma-distribution”, http://en.wikipedia.org/wiki/Gamma-distribution |
Examples
Draw samples from the distribution:
>>> shape, scale = 2., 1. # mean and width
>>> s = np.random.standard_gamma(shape, 1000000)
Display the histogram of the samples, along with the probability density function:
>>> import matplotlib.pyplot as plt
>>> import scipy.special as sps
>>> count, bins, ignored = plt.hist(s, 50, normed=True)
>>> y = bins**(shape-1) * ((np.exp(-bins/scale))/ \
... (sps.gamma(shape) * scale**shape))
>>> plt.plot(bins, y, linewidth=2, color='r')
>>> plt.show()
(Source code, png, pdf)