Draw samples from a Logistic distribution.
Samples are drawn from a Logistic distribution with specified parameters, loc (location or mean, also median), and scale (>0).
| Parameters : | loc : float scale : float > 0. size : {tuple, int}
|
|---|---|
| Returns : | samples : {ndarray, scalar}
|
See also
Notes
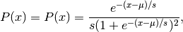
The probability density for the Logistic distribution is

where
= location and
= scale.
The Logistic distribution is used in Extreme Value problems where it can act as a mixture of Gumbel distributions, in Epidemiology, and by the World Chess Federation (FIDE) where it is used in the Elo ranking system, assuming the performance of each player is a logistically distributed random variable.
References
| [R77] | Reiss, R.-D. and Thomas M. (2001), Statistical Analysis of Extreme Values, from Insurance, Finance, Hydrology and Other Fields, Birkhauser Verlag, Basel, pp 132-133. |
| [R78] | Weisstein, Eric W. “Logistic Distribution.” From MathWorld–A Wolfram Web Resource. http://mathworld.wolfram.com/LogisticDistribution.html |
| [R79] | Wikipedia, “Logistic-distribution”, http://en.wikipedia.org/wiki/Logistic-distribution |
Examples
Draw samples from the distribution:
>>> loc, scale = 10, 1
>>> s = np.random.logistic(loc, scale, 10000)
>>> count, bins, ignored = plt.hist(s, bins=50)
# plot against distribution
>>> def logist(x, loc, scale):
... return exp((loc-x)/scale)/(scale*(1+exp((loc-x)/scale))**2)
>>> plt.plot(bins, logist(bins, loc, scale)*count.max()/\
... logist(bins, loc, scale).max())
>>> plt.show()