Return an antiderivative (indefinite integral) of a polynomial.
The returned order m antiderivative P of polynomial p satisfies
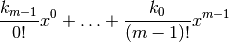
and is defined up to m - 1
integration constants k. The constants determine the low-order
polynomial part

of P so that
.
| Parameters : | p : {array_like, poly1d}
m : int, optional
k : {None, list of m scalars, scalar}, optional
|
|---|
See also
Examples
The defining property of the antiderivative:
>>> p = np.poly1d([1,1,1])
>>> P = np.polyint(p)
>>> P
poly1d([ 0.33333333, 0.5 , 1. , 0. ])
>>> np.polyder(P) == p
True
The integration constants default to zero, but can be specified:
>>> P = np.polyint(p, 3)
>>> P(0)
0.0
>>> np.polyder(P)(0)
0.0
>>> np.polyder(P, 2)(0)
0.0
>>> P = np.polyint(p, 3, k=[6,5,3])
>>> P
poly1d([ 0.01666667, 0.04166667, 0.16666667, 3. , 5. , 3. ])
Note that 3 = 6 / 2!, and that the constants are given in the order of integrations. Constant of the highest-order polynomial term comes first:
>>> np.polyder(P, 2)(0)
6.0
>>> np.polyder(P, 1)(0)
5.0
>>> P(0)
3.0