Draw samples from a Poisson distribution.
The Poisson distribution is the limit of the Binomial distribution for large N.
| Parameters : | lam : float
size : int or tuple of ints, optional
|
|---|
Notes
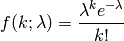
The Poisson distribution

For events with an expected separation
the Poisson
distribution
describes the probability of
events occurring within the observed interval
.
References
| [R237] | Weisstein, Eric W. “Poisson Distribution.” From MathWorld–A Wolfram Web Resource. http://mathworld.wolfram.com/PoissonDistribution.html |
| [R238] | Wikipedia, “Poisson distribution”, http://en.wikipedia.org/wiki/Poisson_distribution |
Examples
Draw samples from the distribution:
>>> import numpy as np
>>> s = np.random.poisson(5, 10000)
Display histogram of the sample:
>>> import matplotlib.pyplot as plt
>>> count, bins, ignored = plt.hist(s, 14, normed=True)
>>> plt.show()
(Source code, png, pdf)