Draw samples from the triangular distribution.
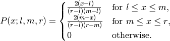
The triangular distribution is a continuous probability distribution with lower limit left, peak at mode, and upper limit right. Unlike the other distributions, these parameters directly define the shape of the pdf.
| Parameters : | left : scalar
mode : scalar
right : scalar
size : int or tuple of ints, optional
|
|---|---|
| Returns : | samples : ndarray or scalar
|
Notes
The probability density function for the Triangular distribution is

The triangular distribution is often used in ill-defined problems where the underlying distribution is not known, but some knowledge of the limits and mode exists. Often it is used in simulations.
References
Examples
Draw values from the distribution and plot the histogram:
>>> import matplotlib.pyplot as plt
>>> h = plt.hist(np.random.triangular(-3, 0, 8, 100000), bins=200,
... normed=True)
>>> plt.show()
(Source code, png, pdf)