Return the Hamming window.
The Hamming window is a taper formed by using a weighted cosine.
| Parameters : | M : int
|
|---|---|
| Returns : | out : ndarray
|
Notes
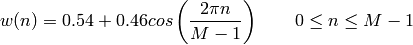
The Hamming window is defined as

The Hamming was named for R. W. Hamming, an associate of J. W. Tukey and is described in Blackman and Tukey. It was recommended for smoothing the truncated autocovariance function in the time domain. Most references to the Hamming window come from the signal processing literature, where it is used as one of many windowing functions for smoothing values. It is also known as an apodization (which means “removing the foot”, i.e. smoothing discontinuities at the beginning and end of the sampled signal) or tapering function.
References
| [R20] | Blackman, R.B. and Tukey, J.W., (1958) The measurement of power spectra, Dover Publications, New York. |
| [R21] | E.R. Kanasewich, “Time Sequence Analysis in Geophysics”, The University of Alberta Press, 1975, pp. 109-110. |
| [R22] | Wikipedia, “Window function”, http://en.wikipedia.org/wiki/Window_function |
| [R23] | W.H. Press, B.P. Flannery, S.A. Teukolsky, and W.T. Vetterling, “Numerical Recipes”, Cambridge University Press, 1986, page 425. |
Examples
>>> np.hamming(12)
array([ 0.08 , 0.15302337, 0.34890909, 0.60546483, 0.84123594,
0.98136677, 0.98136677, 0.84123594, 0.60546483, 0.34890909,
0.15302337, 0.08 ])
Plot the window and the frequency response:
>>> from numpy.fft import fft, fftshift
>>> import matplotlib.pyplot as plt
>>> window = np.hamming(51)
>>> plt.plot(window)
[<matplotlib.lines.Line2D object at 0x...>]
>>> plt.title("Hamming window")
<matplotlib.text.Text object at 0x...>
>>> plt.ylabel("Amplitude")
<matplotlib.text.Text object at 0x...>
>>> plt.xlabel("Sample")
<matplotlib.text.Text object at 0x...>
>>> plt.show()
(Source code, png, pdf)
>>> plt.figure()
<matplotlib.figure.Figure object at 0x...>
>>> A = fft(window, 2048) / 25.5
>>> mag = np.abs(fftshift(A))
>>> freq = np.linspace(-0.5, 0.5, len(A))
>>> response = 20 * np.log10(mag)
>>> response = np.clip(response, -100, 100)
>>> plt.plot(freq, response)
[<matplotlib.lines.Line2D object at 0x...>]
>>> plt.title("Frequency response of Hamming window")
<matplotlib.text.Text object at 0x...>
>>> plt.ylabel("Magnitude [dB]")
<matplotlib.text.Text object at 0x...>
>>> plt.xlabel("Normalized frequency [cycles per sample]")
<matplotlib.text.Text object at 0x...>
>>> plt.axis('tight')
(-0.5, 0.5, -100.0, ...)
>>> plt.show()