numpy.random.mtrand.RandomState.triangular

RandomState.triangular(left, mode, right, size=None)

Draw samples from the triangular distribution.

The triangular distribution is a continuous probability distribution with lower limit left, peak at mode, and upper limit right. Unlike the other distributions, these parameters directly define the shape of the pdf.

Parameters:

left : scalar

Lower limit.

mode : scalar

The value where the peak of the distribution occurs. The value should fulfill the condition left <= mode <= right.

right : scalar

Upper limit, should be larger than left.

size : int or tuple of ints, optional

Output shape. Default is None, in which case a single value is returned.

Returns:

samples : ndarray or scalar

The returned samples all lie in the interval [left, right].

Notes

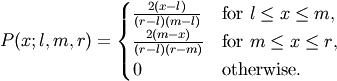
The probability density function for the Triangular distribution is

P(x;l, m, r) = \begin{cases}
\frac{2(x-l)}{(r-l)(m-l)}& \text{for $l \leq x \leq m$},\\
\frac{2(m-x)}{(r-l)(r-m)}& \text{for $m \leq x \leq r$},\\
0& \text{otherwise}.
\end{cases}

The triangular distribution is often used in ill-defined problems where the underlying distribution is not known, but some knowledge of the limits and mode exists. Often it is used in simulations.

References

..[1] Wikipedia, “Triangular distribution”
http://en.wikipedia.org/wiki/Triangular_distribution

Examples

Draw values from the distribution and plot the histogram:

>>> import matplotlib.pyplot as plt
>>> h = plt.hist(np.random.triangular(-3, 0, 8, 100000), bins=200,
...              normed=True)
>>> plt.show()

(Source code)

Output

../../_images/numpy-random-mtrand-RandomState-triangular-1.png

(png, pdf)

Previous topic

numpy.random.mtrand.RandomState.tomaxint

Next topic

numpy.random.mtrand.RandomState.uniform

This Page