numpy.random.beta

numpy.random.beta(a, b, size=None)

The Beta distribution over [0, 1].

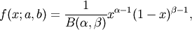
The Beta distribution is a special case of the Dirichlet distribution, and is related to the Gamma distribution. It has the probability distribution function

f(x; a,b) = \frac{1}{B(\alpha, \beta)} x^{\alpha - 1}
(1 - x)^{\beta - 1},

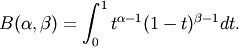
where the normalisation, B, is the beta function,

B(\alpha, \beta) = \int_0^1 t^{\alpha - 1}
(1 - t)^{\beta - 1} dt.

It is often seen in Bayesian inference and order statistics.

Parameters:

a : float

Alpha, non-negative.

b : float

Beta, non-negative.

size : tuple of ints, optional

The number of samples to draw. The ouput is packed according to the size given.

Returns:

out : ndarray

Array of the given shape, containing values drawn from a Beta distribution.

Previous topic

numpy.random.permutation

Next topic

numpy.random.binomial

This Page