numpy.random.gamma

numpy.random.gamma(shape, scale=1.0, size=None)

Draw samples from a Gamma distribution.

Samples are drawn from a Gamma distribution with specified parameters, shape (sometimes designated “k”) and scale (sometimes designated “theta”), where both parameters are > 0.

Parameters:

shape : scalar > 0

The shape of the gamma distribution.

scale : scalar > 0, optional

The scale of the gamma distribution. Default is equal to 1.

size : shape_tuple, optional

Output shape. If the given shape is, e.g., (m, n, k), then m * n * k samples are drawn.

Returns:

out : ndarray, float

Returns one sample unless size parameter is specified.

See also

scipy.stats.distributions.gamma
probability density function, distribution or cumulative density function, etc.

Notes

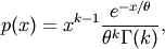
The probability density for the Gamma distribution is

p(x) = x^{k-1}\frac{e^{-x/\theta}}{\theta^k\Gamma(k)},

where k is the shape and \theta the scale, and \Gamma is the Gamma function.

The Gamma distribution is often used to model the times to failure of electronic components, and arises naturally in processes for which the waiting times between Poisson distributed events are relevant.

References

[65]Weisstein, Eric W. “Gamma Distribution.” From MathWorld–A Wolfram Web Resource. http://mathworld.wolfram.com/GammaDistribution.html
[66]Wikipedia, “Gamma-distribution”, http://en.wikipedia.org/wiki/Gamma-distribution

Examples

Draw samples from the distribution:

>>> shape, scale = 2., 2. # mean and dispersion
>>> s = np.random.gamma(shape, scale, 1000)

Display the histogram of the samples, along with the probability density function:

>>> import matplotlib.pyplot as plt
>>> import scipy.special as sps
>>> count, bins, ignored = plt.hist(s, 50, normed=True)
>>> y = bins**(shape-1)*((exp(-bins/scale))/\
    (sps.gamma(shape)*scale**shape))
>>> plt.plot(bins, y, linewidth=2, color='r')
>>> plt.show()

Previous topic

numpy.random.f

Next topic

numpy.random.geometric

This Page

Quick search